Công thức Logarit là những kiến thức toán học cơ bản trong chương trình THPT yêu cầu các học sinh phải nắm chắc. Kiến thức này không chỉ xuất hiện trong các bài kiểm tra mà nó còn thuộc các đề thi của các kỳ thi quan trọng.
Để giúp các em học sinh hệ thống lại các công thức đạo hàm Logarit chuẩn nhất, The Dewey Schools gửi đến nội dung chi tiết trong bài viết dưới đây nhé.
Giới thiệu kiến thức cơ bản về Logarit
1. Logarit là gì?
Logarit là nội dụng kiến thức Toán học quan trọng, vậy Logarit là gì? Logarits là một phép toán nghịch đảo của lũy thừa viết tắt là Log. Theo đó Logarit của 1 số là số mũ của cơ số (giá trị cố định) nâng lên cấp lũy thừa để tạo thành số khác, hay là 1 phép nhân có số lần lặp đi lặp lại.
Sử dụng Logarit để tính toán phép nhân 2 số dương bất kỳ trong đó 1 số khác 1. Lũy thừa cho phép các số dương có thể nâng lên lũy thừa với số mũ bất kỳ để nhận về kết quả là 1 số dương.
Công thức:
Ví dụ: Tính lũy thừa 3 của 2 là 2³=8
=> Logarit cơ số 2 của 8 là 3
Xem thêm: [2023 Update] Tổng hợp công thức lượng giác lớp 10, 11
2. Tính chất Logarit
Tính chất Logarit là 1 trong những kiến thức về hàm số Logarit mà học sinh cần nắm vững để áp dụng trong quá trình giải bài tập. Tính chất Logarit áp dụng trong trường hợp cơ số và đối số là dương, trong đó cơ số a # 0, 1.
Bảng tính chất của Logarit

Xem thêm: Cập nhật kiến thức tổng hợp về số hữu tỉ mới nhất 2023
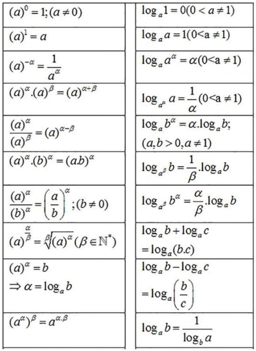
Bảng công thức Logarit đầy đủ
Bảng công thức Logarit đầy đủ gồm nhiều phần cụ thể:
1. Công thức Logarit


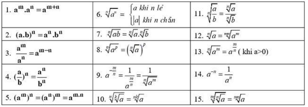
2. Công thức lũy thừa Logarit


3. Công thức Logarit và các phép toán

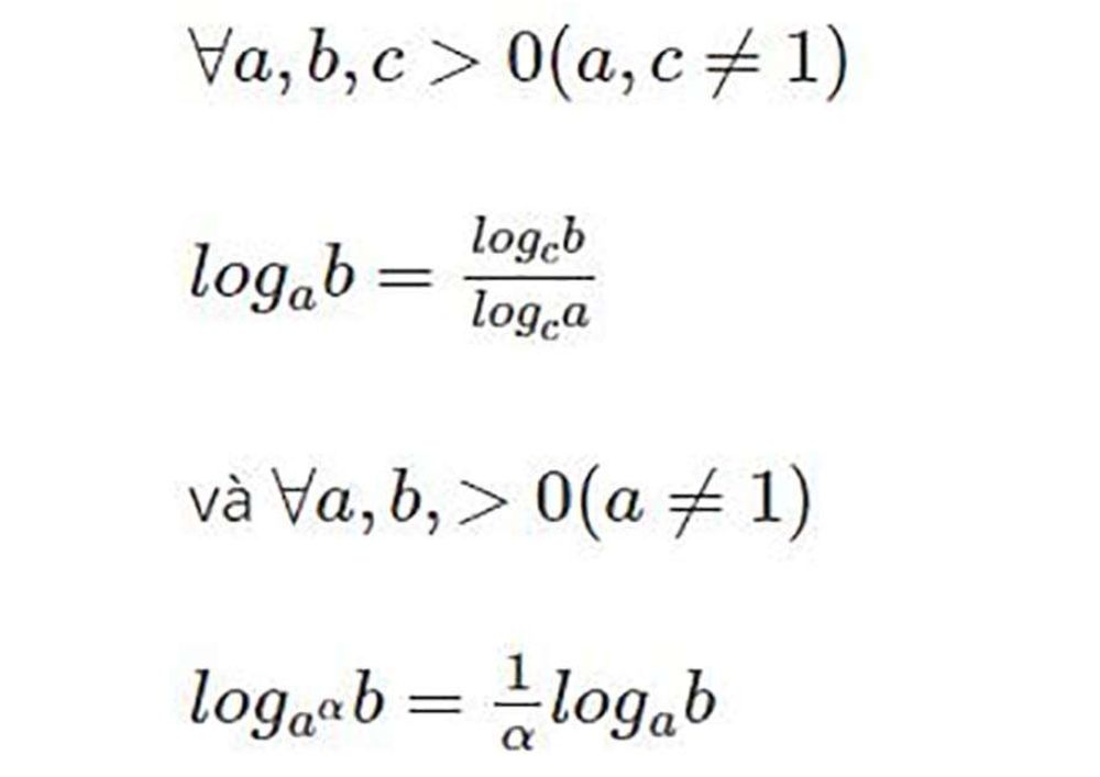
4. Công thức phép đổi cơ số

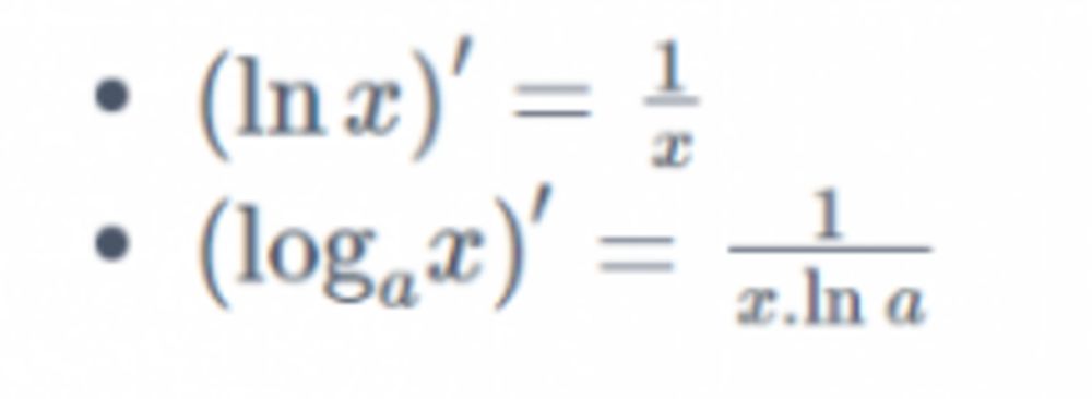
5. Công thức đạo hàm Logarit
Công thức đạo hàm Logarit hàm cơ bản

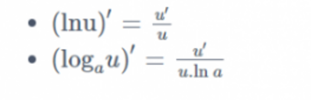
Công thức đào hàm Logarit hàm hợp

Quy tắc công thức đạo hàm Logarit 12
Quy tắc công thức đạo hàm Logarit 12 cần nhớ:
1. Quy tắc Logarit lũy thừa
Quy tắc công thức Logarit lũy thừa: log_ab^α = αlog_ab
Trong đó: a, b, c là số dương, a # 1
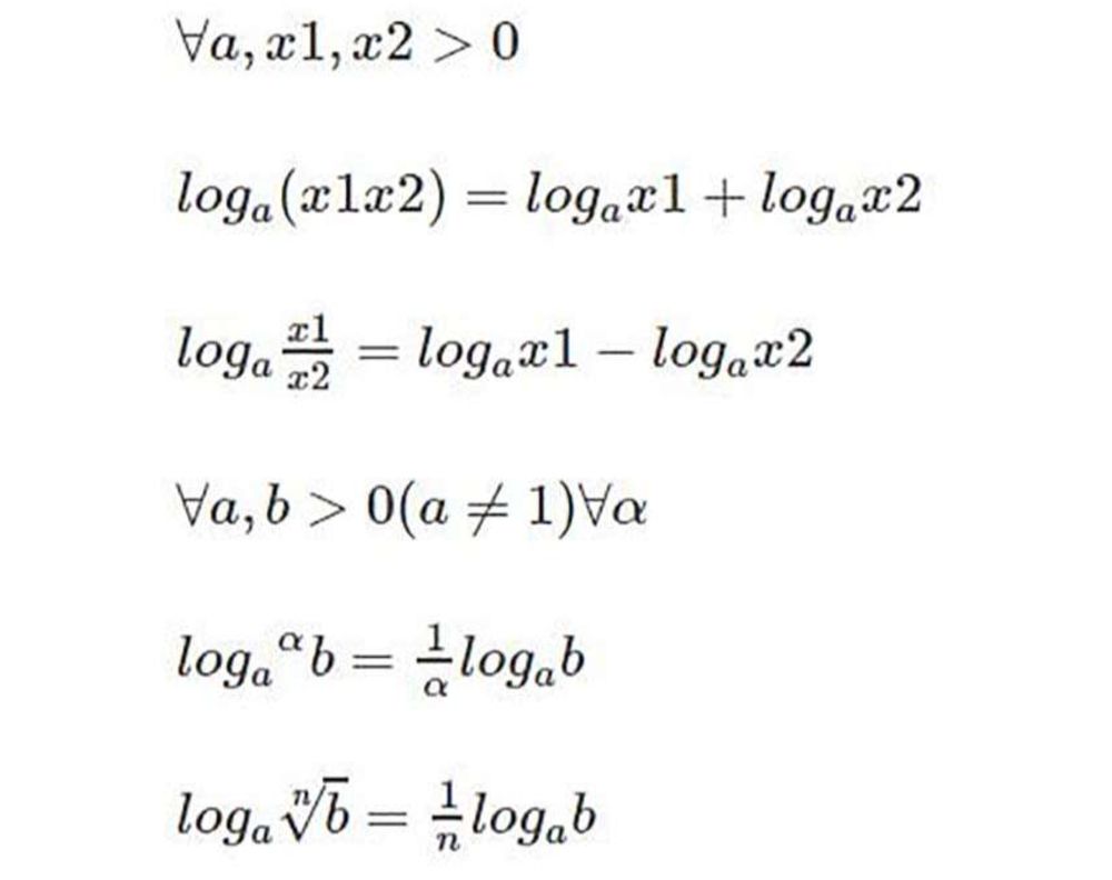
2. Quy tắc Logarit của 1 tích
Quy tắc công thức Logarit của 1 tích: log_α (ab) = log_αb + log_αc
Trong đó: a, b, c là số dương, a # 1
- Để sử dụng bảng Logarit cần đưa cơ số về Logarit thập phân cơ số a = 10, sau đó tra bảng và thực hiện tính toán.
- Logarit tự nhiên với cơ số là hằng số e (~2,781)
- Logarit nhị phân cơ số 2 sử dụng trong khoa học máy tính
- Dùng thang Logarit nếu muốn thu nhỏ phạm vi các đại lượng
Xem thêm: Tổng hợp các kiến thức Đạo hàm đầy đủ từ A – Z
Xem thêm: [2023 Update] Tổng hợp công thức lượng giác lớp 10, 11
3. Quy tắc sử dụng bảng Logarit
Chúng ta nên sử dụng bảng Logarit để việc tính toán nhanh chóng. Bảng Logarit sử dụng thuận lợi khi muốn tính nhanh hay nhân số lớn (thậm chí nhanh hơn so với dùng máy tính).
Cách tìm Logarit
1. Cách tìm Logarit nhanh
Chúng ta cần chú ý một số bước sau để tìm nhanh Logarit:
- Tìm đúng giá trị ô: Giá trị ô đúng tại các giao điểm của hàng ngang và hàng dọc.
- Chọn đúng bảng: Tìm bảng Logarit thập phân là bảng cho Logarit cơ số 10.
- Tìm tiền tố trước 1 số thập phân: Trong bảng Logarit cho thấy rõ tiền tố trước số thập phân và matissa thuộc phần sau dấu phảy,
- Tìm phần nguyên: Trong bảng Logarit cơ số 10 phần nguyên dễ tìm nhất. Hãy đếm các chữ số còn lại của số thập phân và trừ đi 1 chữ số để tìm ra phần nguyên.
- Tìm số chính xác: Sử dụng cột nhỏ hơn ở phía bên ngoài bảng là cách tìm số chính xác nhất. Chúng ta có thể áp dụng cách này trong trường hợp số có 4 hoặc nhiều hơn.
2. Cách tìm Logarit nâng cao
Để giải phương trình đạo hàm Logarit nâng cao, các em học sinh không nên bỏ qua các bước sau:
- Hiểu rõ Logarit là gì? Ví dụ 8³ là 512 => Logarit cơ số 8 của 512 là 3
- Xác định rõ đặc tính cảu số mà chúng ta muốn tính Logarit
- Bảng Logarit chỉ sử với cơ số nhất định, do đó khi muốn tìm Logarit của cơ số nào cần sử dụng đúng bảng đó. Bảng Logarit phổ biến nhất (bảng Logarit phổ thông) là Logarit cơ số 10.
- Chúng ta cần cẩn thận trong việc sử dụng bảng Logarit, để tính Logarit trong bảng nên tra hàng dọc ngoài cùng bên trái, sau đó chiếu sang ngang để tìm điểm giao giữa hàng dọc và hàng ngang.
- Tra bảng Logarit cần chú ý khi muốn tìm giá trị trính xác hơn hay tính toán phép tính lớn nên sử sụng bảng phụ nhỏ của bảng Logarit. Hãy tìm đến cột trong bảng được đánh dấu bằng chữ số tiếp theo của số chúng ta đang tìm kiếm.
- Khi tra được giao điểm của hàng dọc và hàng ngang để tìm ra số cần tìm, chúng ta nên thêm đặc tính với mantissa để có kết quả tính Logarit.
- Học sinh có thể thêm các số được tìm thấy trong 2 bước trên với nhau.
Một số lưu ý khi học bảng công thức Log
Khi học bảng công thức Log học sinh cần lưu ý:
- Phân biệt hàm mũ và Logarit: Phương trình Logarit có chữ log, phương trình hàm mũ thì biến số nâng lên thành lũy thừa và số mũ đặt sau 1 số.
- Ghi nhớ thành phần của công thức Logarit đầy đủ: Các thành phần của công thức Logarit gồm viết tắt log, cơ số, đối số.
- Phân biệt sự khác nhau giữa các Logarit thập phân, Logarit tự nhiên, Logarit đơn vị, Logarit cơ số… và các phép mũ hóa Logarit hóa cùng một cơ số.
Logarit thập phân (Logarit cơ số 10 kí hiệu lgb hoặc logb: Logarit thập phân mang đầy đủ tính chất của Logarit với cơ số > 1.
Logarit tự nhiên (Logarit cơ số e) có e ≈ 2,718281828459045), viết tắt là lnb
Để việc học công thức đạo hàm Logarit 12 nhanh và dễ nhớ, chúng ta cần:
- Nắm vững kiến thức cơ bản về Logarit, các công thức Logarit
- Luyện tập các bài tập về Logarit trong sách giáo khoa và sách nâng cao để hiểu rõ và nắm chắc kiến thức liên quan.
- Thường xuyên trao đổi với bạn bè và tham khảo ý kiến từ thầy cô giáo để hiểu sâu và nâng cao kiến thứ về đạo hàm Logarit.
- Tham khảo thêm thông tin trên các hội nhóm, diễn đàn, webite… uy tín để mở rộng kiến thức đã học.

Một số lưu ý khi học bảng công thức Log
Cách giải một số dạng bài tập Logarit
Dạng 1: Bài tập so sánh các biểu thức chứa Logarit tự nhiên:
Để giải bài tập so sánh các biểu thức chứa Logarit thực hiện theo các bước:
- Bước 1: Sử dụng tính chất Logarit và Logarit tự nhiên đơn giản các biểu thức
- Bước 2: So sánh các biểu thức đã đơn giản, sử dụng một số tính chất so sánh Logarit để giải bài tập
Dạng 2: Qua các Logarit đã cho biểu diễn 1 Logarit hoặc rút gọn biểu thức chứa Logarit
Giải bài tập dạng 2 theo các bước như sau:
- Bước 1: Sử dụng các tính chất Logarit để tác các biểu thức cần biểu diễn làm xuất hiện các Logarit theo yêu cầu đề bài
- Bước 2: Thay các dữ liệu đề bài cho vào biểu thức và rút gọn theo thứ tự thực hiện phép tính như sau
Nếu biểu thức có ngoặc: thực hiện trong ngoặc trước => lũy thừa (căn bậc n) => nhân chia, cộng trừ
Nếu biểu thức không có ngược: lũy thừa (căn bậc n) => nhân chia, cộng trừ
Dạng 3: Rút gọn biểu thức Logarit
Giải bài tập rút gọn biểu thức Logarit theo 2 bước sau:
- Bước 1: Chuyển đổi công thức log về cùng 1 cơ số
- Bước 2: Rút gọn Logarit cùng cơ số theo nguyên tắc
Nếu biểu thức có ngoặc: thực hiện trong ngoặc trước => lũy thừa (căn bậc n) => nhân chia, cộng trừ
Nếu biểu thức không có ngược: lũy thừa (căn bậc n) => nhân chia, cộng trừ
Trên đây là nội dung chi tiết về các công thức Logarit đã được The Dewey Schools tổng hợp đầu đủ. Chúng tôi hy vọng những thông tin này sẽ có ích cho quá trình học tập, ghi nhớ, làm bài tập và giải các bài thi của các em học sinh. Mọi vấn đề thắc mắc xin vui lòng để lại bình luận hoặc liên hệ với chúng tôi để được giải đáp trong thời gian ngắn nhất.