Tài Liệu Học Tập
No Result
View All Result
  • Đề Thi
  • Lớp 12
    • Lịch Sử Lớp 12
    • Địa Lí Lớp 12
    • Ngữ Văn Lớp 12
    • GD KTPL Lớp 12
    • Toán Lớp 12
    • Tiếng Anh Lớp 12
    • Hóa Học Lớp 12
    • Sinh Học Lớp 12
    • Vật Lí Lớp 12
  • Lớp 11
    • Toán Lớp 11
    • Ngữ Văn Lớp 11
    • Tiếng Anh Lớp 11
    • Hóa Học Lớp 11
    • Sinh Học Lớp 11
    • Vật Lí Lớp 11
    • Lịch Sử Lớp 11
    • Địa Lí Lớp 11
    • GDCD Lớp 11
  • Lớp 10
    • Toán Lớp 10
    • Ngữ Văn Lớp 10
    • Tiếng Anh Lớp 10
    • Hóa Học Lớp 10
    • Sinh Học Lớp 10
    • Vật Lí Lớp 10
    • Lịch Sử Lớp 10
    • Địa Lí Lớp 10
    • GDKTPL Lớp 10
    • Công nghệ lớp 10
    • Tin Học Lớp 10
  • Lớp 9
    • Toán Lớp 9
    • Ngữ Văn Lớp 9
    • Tiếng Anh Lớp 9
    • Lịch sử và địa lý lớp 9
    • Khoa Học Tự Nhiên Lớp 9
    • GDCD Lớp 9
  • Lớp 8
    • Toán Lớp 8
    • Ngữ Văn Lớp 8
    • Tiếng Anh Lớp 8
    • Lịch sử và địa lý lớp 8
    • Khoa Học Tự Nhiên Lớp 8
    • GDCD 8
  • Lớp 7
    • Toán Lớp 7
    • Văn Lớp 7
    • Tiếng Anh Lớp 7
    • Lịch Sử Và Địa Lí Lớp 7
    • Khoa Học Tự Nhiên Lớp 7
  • Lớp 6
    • Toán Lớp 6
    • Văn Lớp 6
    • Tiếng Anh lớp 6
    • Lịch Sử và Địa Lí Lớp 6
    • Khoa Học Tự Nhiên lớp 6
  • Lớp 5
    • Toán lớp 5
    • Tiếng Việt Lớp 5
    • Tiếng Anh Lớp 5
    • Lịch Sử và Địa Lí Lớp 5
  • Lớp 4
    • Toán lớp 4
    • Tiếng Việt Lớp 4
    • Tiếng Anh Lớp 4
    • Lịch Sử và Địa Lí Lớp 4
  • Lớp 3
    • Toán lớp 3
    • Tiếng Anh Lớp 3
    • Tiếng Việt Lớp 3
  • Mẹo Hay
  • Tin tức
  • Liên Hệ
Tài Liệu Học Tập
No Result
View All Result
Home Tin tức

Phương Trình Đường Thẳng Trong Không Gian: Lý Thuyết Và Bài Tập

by Tranducdoan
17/12/2025
in Tin tức
0
Đánh giá bài viết

Mục Lục Bài Viết

  1. 1. Lý thuyết phương trình đường thẳng trong không gian
    1. 1.1. Phương trình tham số của đường thẳng trong không gian
    2. 1.3. Vị trí tương đối của 2 đường thẳng
    3. 1.4. Vị trí tương đối của đường thẳng với mặt phẳng
    4. 1.5. Góc giữa 2 đường thẳng
    5. 1.6. Góc giữa đường thẳng và mặt phẳng
    6. 1.7. Khoảng cách từ 1 điểm tới 1 đường thẳng
    7. 1.8. Khoảng cách giữa 2 đường thẳng chéo nhau
  2. 2. Các dạng bài tập về viết phương trình đường thẳng trong không gian và cách giải
    1. 2.1. Dạng 1: Viết phương trình đường thẳng bằng cách xác định vectơ chỉ phương
    2. 2.2. Dạng 2: Viết phương trình đường thẳng liên quan đến một đường thẳng khác
    3. 2.3. Dạng 3: Viết phương trình đường thẳng liên quan đến hai đường thẳng khác
    4. 2.4. Dạng 4: Viết phương trình đường thẳng liên quan đến khoảng cách

1. Lý thuyết phương trình đường thẳng trong không gian

1.1. Phương trình tham số của đường thẳng trong không gian

Đường thẳng d đi qua $M_{0}(x_{0}; y_{0}; z_{0})$ và vectơ chỉ phương $overrightarrow{u}=(a; b; c)$

Phương trình tham số d:

$x = x_{0} + at$

$y = y_{0} + bt$

$z = z_{0} + ct$

$(t epsilon R)$

1.2. Phương trình chính tắc của đường thẳng trong không gian

Đường thẳng d đi qua $M_{0}(x_{0};y_{0};z_{0})$ và vectơ chỉ phương $overrightarrow{u} = (a; b; c)$

Phương trình chính tắc của d: $frac{x – x_{0}}{a} = frac{y – y_{0}}{b} = frac{z – z_{0}}{c} (abc neq 0)$

1.3. Vị trí tương đối của 2 đường thẳng

Trong không gian cho 2 đường thẳng 1 đi qua $M_{1}$ và có một vecto chỉ phương $overrightarrow{u}$. Khi đó vị trí tương đối $Delta_{1}$ và $Delta_{2}$ được xác định như sau:

Các dạng phương trình đường thẳng trong không gian khi biết vị trí tương đối của 2 đường thẳng

1.4. Vị trí tương đối của đường thẳng với mặt phẳng

Đường thẳng d đi qua $M_{0}(x_{0};y_{0};z_{0})$ và có vectơ chỉ phương $overrightarrow{u} = (a; b; c)$ và mặt phẳng (P): $Ax + By + Cz + D = 0$ có vecto pháp tuyến $overrightarrow{u} = (A; B; C)$. Khi đó:

1.5. Góc giữa 2 đường thẳng

Trong không gian cho 2 đường thẳng $Delta_{1}$ có một vecto chỉ phương $overrightarrow{u_{1}} = (a_{1}; b_{1}; c_{1})$ khi đó:

>> Xem thêm: Góc giữa 2 mặt phẳng: Định nghĩa, cách xác định và bài tập

1.6. Góc giữa đường thẳng và mặt phẳng

Trong không gian cho đường thẳng $Delta$ có vecto chỉ phương $overrightarrow{u_{1}} = (a; b; c)$ mặt phẳng (P) có vecto chỉ phương $overrightarrow{n} = (A; B; C)$. Khi đó:

>> Xem thêm: Cách xác định góc giữa đường thẳng và mặt phẳng trong không gian

1.7. Khoảng cách từ 1 điểm tới 1 đường thẳng

Cho điểm M cùng đường thẳng $Delta$ đi qua N có vectơ $overrightarrow{u}$. Khi đó khoảng cách từ điểm M đến $Delta$ xác định bởi công thức.

1.8. Khoảng cách giữa 2 đường thẳng chéo nhau

Cách 1:

Trong không gian cho đường thẳng $Delta_{1}$ đi qua $M_{1}$ có vecto chỉ phương $overrightarrow{u_{1}} . Delta_{2}$ đi qua $M_{2}$ có vecto chỉ phương $overrightarrow{u_{2}}$. Khi đó:

Cách 2:

Gọi AB là đoạn thẳng vuông góc $Delta_{1}, Delta_{2}$ với $A epsilon Delta_{1}, B epsilon Delta_{2}$

$Rightarrow overrightarrow{AB} , . , overrightarrow{u_{1}} = 0$ hoặc $Rightarrow overrightarrow{AB} , . , overrightarrow{u_{2}} = 0$

$Rightarrow d(Delta_{1}, Delta_{2})=AB$

2. Các dạng bài tập về viết phương trình đường thẳng trong không gian và cách giải

2.1. Dạng 1: Viết phương trình đường thẳng bằng cách xác định vectơ chỉ phương

Ví dụ 1: Với tọa độ Oxyz trong không gian cho đường thẳng

d: $frac{x + 1}{2}=frac{y – 1}{1}=frac{z – 2}{3}$ và mặt phẳng P: $x-y-z-1=0$. Viết phương trình đường thẳng $Delta$ vuông góc với d, song song với (P) và đi qua A(1; 1; -2).

Giải:

Để tìm được vectơ chỉ phương của $Delta$ ta phải tìm 2 vectơ chỉ phương không cùng phương của nó sau đó tìm tích có hướng của 2 vecto.

Như vậy ta có: $overrightarrow{u_{Delta}}=[overrightarrow{u_{d}}; overrightarrow{_{p}}]=(2; 5; -3)$

Trong đó: $overrightarrow{u_{d}} = (2; 1; 3); overrightarrow{_{p}}=(1; -1; -1)$

$Delta$ đi qua A(1; 1; -2) và có vectơ chỉ phương $overrightarrow{u_{Delta}} = (2; 5; -3)$

$Rightarrow$ Ta có phương trình: $Delta : frac{x – 1}{2} = frac{y – 1}{5} = frac{z + 2}{-3}$

Ví dụ 2: Cho tọa độ Oxyz trong không gian cho đường thẳng

$Delta: frac{x – 1}{2} = frac{y + 1}{1} = frac{z}{-1}$ và mặt phẳng P: $x-y-z-1=0$. Viết phương trình đường thẳng d vuông góc và cắt với $Delta$, qua M(2; 1; 0).

Giải:

2.2. Dạng 2: Viết phương trình đường thẳng liên quan đến một đường thẳng khác

Ví dụ 1: Cho tọa độ Oxyz trong không gian cho đường thẳng

$d: frac{x + 1}{3}=frac{y – 2}{-2}=frac{z – 2}{2}$ và $P: x + 3y + 2z + 2=0$. Viết phương trình của $Delta$ song song với (P), cắt đường thẳng (d) và đi qua M(2; 2; 4).

Giải:

Giải bài tập viết phương trình đường trong không gian liên quan đến một đường thẳng khác

Ví dụ 2: Cho hệ tọa độ Oxyz trong không gian có đường thẳng $d: frac{x – 1}{2}=frac{y + 1}{1}=frac{z}{-1}$. Viết phương trình đường thẳng $Delta$ đi qua A(2; 3; -1) và cắt d tại B sao cho khoảng cách từ B đến $alpha: x + y + z = 0$ bằng $2sqrt{3}$.

Giải:

Do $B epsilon d Rightarrow$ Tọa độ B(1 + t; 2 + 2t; -t)

Do khoảng cách từ B tới $alpha: x + y + z = 0$ bằng $2sqrt{3}$ nên:

  • Với t = 2 thì B(3; 6; -2)

$Delta$ đi qua B(3; 6; -2) và nhận $overrightarrow{AB} (1; 3; -1)$ làm vecto chỉ phương:

$Rightarrow$ Phương trình $Delta: frac{x – 3}{1}=frac{y – 6}{3}=frac{z – 2}{-1}$

  • Với t = -4 thì B(-3; -6; 4)

$Delta$ đi qua B(-3; -6; 4) và nhận $overrightarrow{AB}(-5; -9; 5)$ làm vecto chỉ phương:

$Rightarrow$ Phương trình $Delta: frac{x + 3}{-5}=frac{y + 6}{9}=frac{z – 4}{5}$

2.3. Dạng 3: Viết phương trình đường thẳng liên quan đến hai đường thẳng khác

Ví dụ 1: Cho hệ tọa độ Oxyz trong không gian, viết phương trình của đường thẳng d đi qua điểm M(-4; -5; 3) và cắt cả 2 đường thẳng $d_{1}: 2x + 3x + 11 = 0$ hoặc $y – 2z + 7 = 0$ và $d_{2}: frac{x – 2}{2}=frac{y + 1}{3}=frac{z – 1}{-5}$

Giải:

Viết phương trình đường thẳng:

Ví dụ 2: Cho hệ tọa độ Oxyz trong không gian với 3 đường thẳng có phương trình:

Viết phương trình đường thẳng $Delta$ biết $Delta$ cắt $d_{1}; d_{2}; d_{3}$ lần lượt tại A, B, C để AB = BC.

Giải:

Xét 3 điểm A, B, C lần lượt nằm trên $d_{1}; d_{2}; d_{3}$

Giả sử: A(t; 4 – t; -1 + 2t); B(u; 3 – 3u, -3u) và C(-1 + 5v, 1 + 2v, -1 + v)

Ta có A, B, C thẳng hàng và BC = AB ⇔ B chính là trung điểm của BC

Tọa độ 3 điểm A(1; 3; 1); B(0; 2; 0); C(-1; 1; -1)

$Delta$ đi qua B(0; 2; 0) và có $overrightarrow{CB}(1; 1; 1)$

Tham khảo ngay bộ tài liệu tổng hợp trọn bộ kiến thức và phương pháp giải mọi dạng bài tập trong đề thi THPT Quốc gia môn Toán

vecto chi phuong trong khong gian

2.4. Dạng 4: Viết phương trình đường thẳng liên quan đến khoảng cách

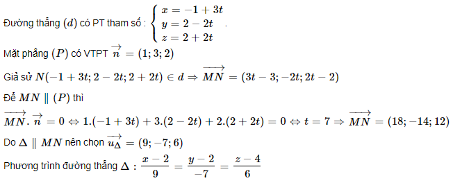
Ví dụ 1: Cho tọa độ Oxyz trong không gian, đường thẳng $d: x = 2 + 4t; y = 3 = 2t$ và $z = -3 + t$. Mặt phẳng $(P): -x + y + 2z + 5 = 0$. Viết phương trình nằm trong mặt phẳng (P) song song và cách d một khoảng bằng $sqrt{14}$.

Giải:

Ví dụ 2:

Giải:

Giải bài tập viết phương trình đường thẳng trong không gian liên quan đến khoảng cách

Giải bài tập viết phương trình đường thẳng trong không gian liên quan đến khoảng cách

Đăng ký ngay để được các thầy cô tư vấn và xây dựng lộ trình ôn thi sớm hiệu quả và phù hợp nhất với bản thân

vecto chi phuong trong khong gian 1

Trên đây là toàn bộ kiến thức lý thuyết và bài tập về phương trình đường thẳng trong không gian. Hy vọng rằng qua bài viết này các em có thể tự tin khi làm bài tập phần này. Để học nhiều hơn kiến thức về toán học lớp 12, truy cập trang web Vuihoc.vn ngay nhé!

Tham khảo thêm:

⭐Bộ Sách Thần Tốc Luyện Đề Toán – Lý – Hóa THPT Có Giải Chi Tiết

Previous Post

Top 100 Bài văn tả bố lớp 5 (hay nhất)

Next Post

50+ Cảm nhận bài thơ Bếp lửa (hay, ngắn gọn)

Tranducdoan

Tranducdoan

Trần Đức Đoàn sinh năm 1999, anh chàng đẹp trai đến từ Thái Bình. Hiện đang theo học và làm việc tại trường cao đẳng FPT Polytechnic

Next Post

50+ Cảm nhận bài thơ Bếp lửa (hay, ngắn gọn)

thời tiết miền bắc đọc sách online cm88 Socolive trực tiếp https://p789bet.biz/ cm88 com sumclub socolive Bom88 tic88 f168 https://mb66.black/ https://ok9.watch/ xoilactv tructiepbongda Xoilac Xoilac365 cakhia tv Trực tiếp bóng đá 90phut Mu88 https://gurkit.io/ phim mới go99 kubet hello88 789win febet
Tài Liệu Học Tập

Copyright © 2022 Tài Liệu Học Tập.

Chuyên Mục

  • Đề Thi
  • Lớp 12
  • Lớp 11
  • Lớp 10
  • Lớp 9
  • Lớp 8
  • Lớp 7
  • Lớp 6
  • Lớp 5
  • Lớp 4
  • Lớp 3
  • Mẹo Hay
  • Tin tức
  • Liên Hệ

Tham Gia Group Tài Liệu Học Tập

No Result
View All Result
  • Đề Thi
  • Lớp 12
    • Lịch Sử Lớp 12
    • Địa Lí Lớp 12
    • Ngữ Văn Lớp 12
    • GD KTPL Lớp 12
    • Toán Lớp 12
    • Tiếng Anh Lớp 12
    • Hóa Học Lớp 12
    • Sinh Học Lớp 12
    • Vật Lí Lớp 12
  • Lớp 11
    • Toán Lớp 11
    • Ngữ Văn Lớp 11
    • Tiếng Anh Lớp 11
    • Hóa Học Lớp 11
    • Sinh Học Lớp 11
    • Vật Lí Lớp 11
    • Lịch Sử Lớp 11
    • Địa Lí Lớp 11
    • GDCD Lớp 11
  • Lớp 10
    • Toán Lớp 10
    • Ngữ Văn Lớp 10
    • Tiếng Anh Lớp 10
    • Hóa Học Lớp 10
    • Sinh Học Lớp 10
    • Vật Lí Lớp 10
    • Lịch Sử Lớp 10
    • Địa Lí Lớp 10
    • GDKTPL Lớp 10
    • Công nghệ lớp 10
    • Tin Học Lớp 10
  • Lớp 9
    • Toán Lớp 9
    • Ngữ Văn Lớp 9
    • Tiếng Anh Lớp 9
    • Lịch sử và địa lý lớp 9
    • Khoa Học Tự Nhiên Lớp 9
    • GDCD Lớp 9
  • Lớp 8
    • Toán Lớp 8
    • Ngữ Văn Lớp 8
    • Tiếng Anh Lớp 8
    • Lịch sử và địa lý lớp 8
    • Khoa Học Tự Nhiên Lớp 8
    • GDCD 8
  • Lớp 7
    • Toán Lớp 7
    • Văn Lớp 7
    • Tiếng Anh Lớp 7
    • Lịch Sử Và Địa Lí Lớp 7
    • Khoa Học Tự Nhiên Lớp 7
  • Lớp 6
    • Toán Lớp 6
    • Văn Lớp 6
    • Tiếng Anh lớp 6
    • Lịch Sử và Địa Lí Lớp 6
    • Khoa Học Tự Nhiên lớp 6
  • Lớp 5
    • Toán lớp 5
    • Tiếng Việt Lớp 5
    • Tiếng Anh Lớp 5
    • Lịch Sử và Địa Lí Lớp 5
  • Lớp 4
    • Toán lớp 4
    • Tiếng Việt Lớp 4
    • Tiếng Anh Lớp 4
    • Lịch Sử và Địa Lí Lớp 4
  • Lớp 3
    • Toán lớp 3
    • Tiếng Anh Lớp 3
    • Tiếng Việt Lớp 3
  • Mẹo Hay
  • Tin tức
  • Liên Hệ

Copyright © 2022 Tài Liệu Học Tập.