Bất phương trình là một trong những dạng toán khó của chương trình đại số lớp 10 bởi tính đa dạng của nó. Nếu vẫn còn mơ hồ về kiến thức này, các em hãy tham khảo ngay những dạng bài tập và cách giải bài tập bất phương trình lớp 10 qua bài viết dưới đây từ Team Marathon Education.
Xem thêm: Học Toán lớp 10 Online Hiệu Quả Cùng Marathon Education
Bất phương trình là gì?
Bất phương trình một ẩn là một mệnh đề (biểu thức) chứa biến x so sánh hai hàm số f(x) và g(x) trên trường số thực dưới một trong các dạng
Giao của hai tập xác định của các hàm số f(x) và g(x) được gọi là tập xác định của bất phương trình.
Cách giải bất phương trình bậc nhất
Bất phương trình ẩn x là mệnh đề chứa biến x có dạng f(x) > g(x), f(x) ≥ g(x).
Để có thể giải được dạng bài tập này, các em cần nắm vững một số nội dung quan trọng dưới đây.
Cách giải và biện luận bất phương trình ax + b < 0
Bảng xét dấu của nhị thức bậc nhất
Điều kiện của a và b sẽ ảnh hưởng đến kết quả của nghiệm cuối cùng thu được.
Cách giải bất phương trình tích
Trong đó, cả P(x) và Q(x) đều là những nhị thức bậc nhất.
Phương pháp giải: Lập bảng xét dấu của của P(x).Q(x), từ đó suy ra tập nghiệm.
Cách giải bất phương trình có ẩn ở mẫu
Trong đó, P(x) và Q(x) là những nhị thức bậc nhất.
Phương pháp giải: Các em lập bảng xét dấu của của P(x)/Q(x), sau đó suy ra được tập nghiệm. Để đảm bảo tính chính xác của phép chia, các em không nên quy đồng và khử mẫu.
Cách giải bất phương trình chứa tham số
Giải bất phương trình chứa tham số (m+a)x + b > 0 là xem xét rằng với các giá trị nào của tham số thì bất phương trình vô nghiệm, có nghiệm và tìm ra các nghiệm đó.
Phương pháp giải: Tùy theo yêu cầu đề, lập bảng xét dấu, biện luận tìm tham số m phù hợp và tìm nghiệm (nếu có).
Cách giải bất phương trình bậc 2
Bảng xét dấu
Nhận xét:
Biện luận tập nghiệm
Bất phương trình bậc 2 có dạng a.x2 + b.x + c > 0 với a # 0
Đặt Δ = b2 − 4ac. Ta có các trường hợp sau:
Cách giải bất phương trình chứa dấu giá trị tuyệt đối
Áp dụng định nghĩa và tính chất của giá trị tuyệt đối để khử dấu giá trị tuyệt đối:
- Dạng 1:
- Dạng 2:
>>> Xem thêm: 3 Cách Giải Bất Phương Trình Chứa Dấu Giá Trị Tuyệt Đối Đơn Giản
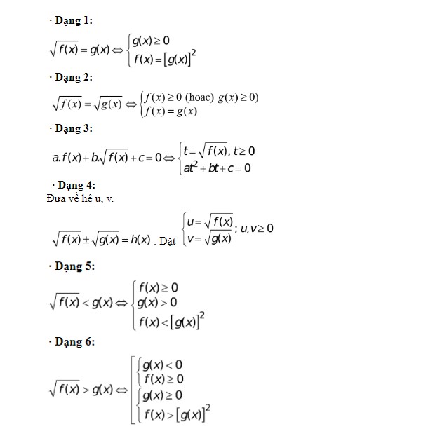
Cách giải bất phương trình chứa căn thức
Để có thể khử căn và giải được dạng bài tập này, các em cần kết hợp phép nâng lũy thừa hoặc đặt ẩn phụ.

>>> Xem thêm: Phương Pháp Giải Bất Phương Trình Chứa Căn Chi Tiết
Bài tập giải bất phương trình lớp 10
Bài tập 1: Giải bất phương trình -6x + 12 < 0
Hướng dẫn giải:
-6x + 12 < 0 ⇔ -6x < 12 ⇔ x > 2
Vậy tập nghiệm của bất phương trình là S={x | x > 2}
Bài tập 2: Giải bất phương trình sau
Hướng dẫn giải:
Bài tập 3: Chứng minh bất phương trình sau vô nghiệm
Bài tập 4: Giải bất phương trình
Bài tập 5: Giải hệ bất phương trình
Bài tập 6: Giải hệ bất phương trình sau
Bài tập 7: Giải bất phương trình sau
Tham khảo ngay các khoá học online của Marathon Education
Team Marathon Education đã giúp các em hiểu rõ hơn về phương pháp giải bất phương trình. Nhanh tay đăng ký khóa học tại Marathon Education để học online thêm kiến thức các em nhé!