Tính độ phức tạp của các hàm thời gian sau:
Tổng hợp đề thi học kì 1 lớp 11 tất cả các môn - Kết nối tri thức
Toán - Văn - Anh - Lí - Hóa - Sinh
25.1
Tính độ phức tạp của các hàm thời gian sau:
a) T(n) = n + 2log n.
c) T(n) = 2100
b) T(n) = n2 + 3nlogn + 2n.
d) T(n) = 2n+1.
Lời giải chi tiết:
a) T(n) = n + 2log n ≤ 3n với n ≥ 1. Vậy T(n) = O(n).
b) T(n) = n2 + 3nlogn +2n ≤ 6n với n ≥ 1. Vậy T(n) = O(n).
c) T(n) = O(1), độ phức tạp hằng số.
d) T(n) = 2n+1 = 2.2" = O(2").
25.2
Cho biết thuật toán sau thực hiện công việc gì và hãy xác định độ phức tạp thời gian của thuật toán.
1 def findMax(A):
2 maxVal = A[0]

Lời giải chi tiết:
Hàm trên thực hiện việc tìm phần tử lớn nhất của mảng A.
Gọi n là kích thước của mảng, T(n) là thời gian thực hiện của thuật toán. Thời gian chạy của thuật toán được phân tích như sau:
– Câu lệnh tại dòng 2 cần 1 đơn vị thời gian.
– Vòng lặp for tại dòng 3 biến i chạy từ 1 đến n − 1, nên vòng lặp có n – 1 bước lặp.
– Với mỗi bước lặp chương trình thực hiện 1 lệnh so sánh tại dòng 4 và 1 lệnh gán tại dòng 5 (nếu điều kiện thoả mãn).
– Lệnh trả về tại dòng 6 cần 1 đơn vị thời gian.
Tổng hợp lại chương trình trên có thời gian chạy là
T(n) = 2 + 2(n-1) = 2n = O(n).
25.3
Cho biết hàm sau thực hiện công việc gì và hãy xác định độ phức tạp thời gian của chương trình.

Lời giải chi tiết:
Hàm trên thực hiện in ra xâu đảo ngược của xâu đầu vào.
Gọi n là kích thước của xâu đầu vào (số kí tự của xâu), T(n) là thời gian thực hiện
của chương trình. Thời gian chạy của chương trình được phân tích như sau:
– Câu lệnh tại dòng 2 và 3 cần 2 đơn vị thời gian.
– Vòng lặp while thực hiện n lần lặp.
– Với mỗi bước lặp chương trình thực hiện hai lệnh gán tại dòng 5 và 6.
– Lệnh trả về tại dòng 7 cần 1 đơn vị thời gian.
Tổng hợp lại chương trình trên có thời gian chạy là T(n) = 2 + 2n+1 = 2n + 3 = O(n).
25.4
Em hãy xác định thời gian chạy T(n) của thuật toán sắp xếp chèn sau, với n là độ dài của dãy A.

Lời giải chi tiết:
Gọi n là kích thước của mảng, T(n) là thời gian thực hiện của thuật toán. Thời gian chạy của thuật toán được phân tích như sau:
– Câu lệnh tại dòng 2 cần 1 đơn vị thời gian.
– Vòng lặp for tại dòng 3 biến i chạy từ 1 đến n − 1, nên vòng lặp có n – 1 bước lặp.
– Với mỗi bước lặp chương trình thực hiện:
• Hai lệnh gán tại dòng 4 và 5.
• Vòng lặp while tại dòng 6. Vòng lặp này sẽ chạy tối đa là i lần. Mỗi lần lặp chương trình sẽ thực hiện hai lệnh gán tại dòng 7 và 8, cần 2 đơn vị thời gian. • Lệnh gán tại dòng 9 cần 1 đơn vị thời gian.
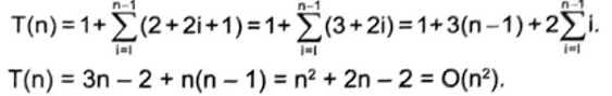
Tổng hợp lại chương trình trên có thời gian chạy tối đa là:

25.5
Xác định độ phức tạp thời gian của hàm sau:

Lời giải chi tiết:
Gọi T(n) là thời gian thực hiện của chương trình. Thời gian chạy của chương trình được phân tích như sau:
– Lệnh gán tại dòng 2 cần 1 đơn vị thời gian.
– Vòng for tại dòng 3, biến i chạy từ 1 đến n, nên vòng lặp có n bước lặp.
– Với mỗi bước lặp trên, chương trình thực hiện
• Vòng lặp tại dòng 4, biến j chạy từ 1 đến i, nên vòng lặp thực hiện i bước lặp. • Với mỗi bước lặp:
a Chương trình thực hiện vòng lặp tại dòng 5, biến k chạy từ j đến j + vòng lặp có i + 1 bước lặp.
a Với mỗi bước lặp chương trình thực hiện 1 lệnh gán tại dòng 6 cần 1 đơn vị thời gian.
– Lệnh trả về tại dòng 7 cần 1 đơn vị thời gian.
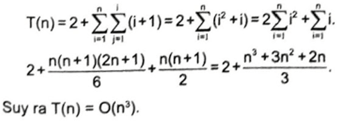
Tổng hợp lại, hàm trên có thời gian chạy là:

25.6
Nếu f(n) = O(g(n)) thì có suy ra được g(n) = O(f(n)) hay không?
Lời giải chi tiết:
Không. Ví dụ f(n) = n, g(n) = n2 thì rõ ràng f(n) = O(g(n)) nhưng ngược lại không đúng.
25.7
Giả sử f(n) = an* + a,.n*?
Lời giải chi tiết:
Theo Quy tắc 1, ta có O(f(n)) = O(max(a,.nk, ak-1-nk-1, ...,
Vậy suy ra f(n) = O(nk).
',..., n,.a, a) = O(nk).