Hàm tự định nghĩa trong Python có thể có bao nhiêu tham số?
Tổng hợp đề thi học kì 1 lớp 10 tất cả các môn - Kết nối tri thức
Toán - Văn - Anh - Lí - Hóa - Sinh - Sử - Địa...
27.1
Hàm tự định nghĩa trong Python có thể có bao nhiêu tham số?
A. 0.
B. 1
C. 2.
D. Không hạn chế.
Phương pháp giải:
Tham số của hàm được định nghĩa khi khai báo hàm và được dùng như biến trong định nghĩa hàm
Lời giải chi tiết:
Hàm tự định nghĩa trong Python, tham số có thể có:
D. Không hạn chế.
27.2
Khi gọi hàm, dữ liệu được truyền vào hàm được gọi là gì?
A. Tham số.
B. Hiệu số.
C. Đối số.
D. Hàm số.
Phương pháp giải:
Đối số là giá trị được truyền vào khi gọi hàm
Lời giải chi tiết:
Khi gọi hàm, dữ liệu được truyền vào hàm được gọi là:
C. Đối số.
27.3
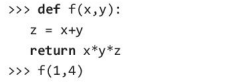
Hàm func(m, n) được định nghĩa như sau:

Kết quả sẽ in ra số nào?
Phương pháp giải:
Hàm trả lại giá trị 3 x 1 + 10 = 13
Lời giải chi tiết:
Kết quả sẽ in ra số 13.
27.4
Đoạn chương trình sau sẽ in ra số nào?

A. 10.
B. 18.
C. 20.
D. 30.
Phương pháp giải:
Quan sát đoạn chương trình
Kết quả in ra số 1 x 4 x 5 = 20
Lời giải chi tiết:
Đoạn chương trình sau sẽ in ra số:
C. 20
27.5
Chỉ số sức khỏe BMI của con người được định nghĩa theo công thức sau:
, trong đó m là khối lượng cơ thể tính bằng kg, h là chiều cao tính theo mét. Viết hàm số tính chỉ số BMI theo các tham số m, h.
Phương pháp giải:
Vận dụng kiến thức đã học để viết hàm
Lời giải chi tiết:
Hàm có thể viết như sau:
def bmi(m, h):
return m/(h*h)
27.6
Chúng ta đã biết đơn vị đo nhiệt độ hiện nay trên thế giới có ba loại:
- Nhiệt độ tính theo Celsius (nhiệt độ C).
- Nhiệt độ tính theo Kelvin (nhiệt độ K).
- Nhiệt độ tính theo Fahrenheit (nhiệt độ F).
Các công thức sau cho biết quan hệ toán học giữa các nhiệt độ trên.

Viết thủ tục convertCK() thực hiện các công việc sau:
-Yêu cầu nhập từ màn hình giá trị nhiệt độ TC tính theo C.
-Tính toán và đưa ra màn hình nhiệt độ TK tính theo K.
Phương pháp giải:
Vận dụng kiến thức đã học để viết hàm
Lời giải chi tiết:
Hàm được thiết lập có thể viết như sau:
def convertCK():
Tc = int(input("Nhập giá trị nhiệt độ tính theo Celsius:"))
Tk = Tc + 273.15
print("Nhiệt độ trên tính theo Kelvin là:",round(Tk))
27.7
Viết hàm số (hàm dấu) sign(x) trả lại 1 nếu x > 0, trả lại 0 nếu x = 0 và trả lại -1 nếu x < 0.
Phương pháp giải:
Vận dụng kiến thức đã học về câu lệnh rẽ nhánh để viết hàm
Lời giải chi tiết:
Hàm có thể viết như sau:
def sign(x):
if x > 0:
return 1
elif x == 0:
return 0
else:
return -1
Câu 8
Viết hàm prime(n) với n là số nguyên bất kì. Hàm sẽ trả lại giá trị False nếu n không là số nguyên tố và trả lại True nếu n là số nguyên tố. Lưu ý rằng các số âm, số 0 và 1 không được coi là số nguyên tố.
Phương pháp giải:
Dựa vào ví dụ 1 trong hoạt động 2 SGK
Lời giải chi tiết:
Hàm có thể như sau:
def prime(n):
C=0
k=1
while k < n:
if n%k == 0:
C = C+ 1
k = k + 1
if C == 1:
return True
else:
return False
27.9
Viết hàm UCLN(m, n) để tính ước chung lớn nhất của hai số nguyên không âm m và n.
Phương pháp giải:
Vận dụng kiến thức đã học để viết hàm
Lời giải chi tiết:
Hàm có thể viết như sau:
#Hàm tìm ước chung lớn nhất
def UCLN(m,n):
while m! = n:
if m > n:
m = m - n
else
n = n - m
return m
27.10
Hai số tự nhiên m, n được gọi là nguyên tố cùng nhau nếu UCLN(m, n) = 1.
Viết chương trình thực hiện công việc sau:
Nhập từ bàn phím số tự nhiên n và đếm số các số nguyên tố cùng nhau với n tính trong khoảng từ 1 đến n.
Phương pháp giải:
Vận dụng kiến thức đã học để viết chương trình
Lời giải chi tiết:
Chương trình có thể viết như sau:
n = int(input("Nhập số tự nhiên n: "))
c = 0
for i in range(1, n+1):
if UCLN(i,n) == 1:
c = c + 1
print(c)
27.11
Viết chương trình nhập số tự nhiên n từ bàn phím và in ra số nguyên tố nhỏ nhất không nhỏ hơn n. Ví dụ nếu nhập n = 10 thì chương trình sẽ in ra số 11.
Phương pháp giải:
Vận dụng kiến thức đã học để viết chương trình
Lời giải chi tiết:
Chương trình có thể viết như sau;
n = int(input("Nhập số tự nhiên n: "))
while not prime(n):
n = n + 1
print(n)
27.12
Chỉ số sức khỏe BMI có ý nghĩa như sau:
Nếu BMI < 18 thì phân loại là gầy.
Nếu BMI từ 18 đến 25 thì phân loại là bình thường.
Nếu BMI > 25 thì phân loại là béo phì.
- Viết chương trình thực hiện các công việc sau:
- Yêu cầu người dùng nhập các thông số: họ tên, cân nặng (đơn vị kg) và chiều cao (đơn vị m).
Sau đó thông báo "Bạn gầy" hoặc "Bạn bình thường" hoặc "Bạn bị béo phì".
Phương pháp giải:
Vận dụng kiến thức đã học để viết chương trình
Lời giải chi tiết:
Chương trình có thể viết như sau:
