Có bao nhiêu carbohydrate đã cho thuộc nhóm polysaccharide?
5.1
Cho 4 carbohydrate sau: saccharose, maltose, tính bột và cellulose.
Nhận định các carbohydrate trên để trả lời các câu 1, 2, 3 và 4.
Có bao nhiêu carbohydrate đã cho thuộc nhóm polysaccharide?
A. 2 B. 3 C. 3 D. 5
Phương pháp giải:
Dựa vào phân loại carbohydrate.
Lời giải chi tiết:
Tinh bột và cellulose thuộc nhóm polysaccharide.
Đáp án A
5.2
Số carbohydrate đã cho có liên kết α – 1,4 – glycoside trong phân tử là
A. 1 B. 2 C. 3 D. 4
Phương pháp giải:
Dựa vào cấu tạo của carbohydrate.
Lời giải chi tiết:
Tinh bột và maltose có liên kết α – 1,4 – glycoside trong phân tử.
Đáp án B
5.3
Số carbohydrate đã cho có liên kết α – 1,4 – glycoside trong phân tử là
A. 1 B. 2 C. 3 D. 4
Phương pháp giải:
Dựa vào cấu tạo của carbohydrate.
Lời giải chi tiết:
Tinh bột và maltose có liên kết α – 1,4 – glycoside trong phân tử.
5.4
Số carbohydrate đã cho có thể có liên kết α – 1,6 – glycoside trong phân tử là
A. 1 B. 2 C. 3 D. 4
Phương pháp giải:
Dựa vào cấu tạo của carbohydrate.
Lời giải chi tiết:
Tinh bột có liên kết α – 1,6 – glycoside trong phân tử
Đáp án A
5.5
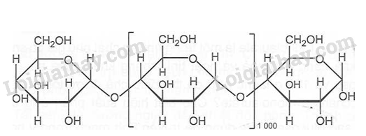
Carbohydrate nào có cấu trúc phân tử được biểu diễn dưới đây?

A. Saccharose. B. Cellulose,
C. Maltose. D. Amylose.
Phương pháp giải:
Dựa vào cấu tạo của carbohydrate.
Lời giải chi tiết:
Cấu trúc phân tử trên là amylose.
Đáp án D
5.6
Quan sát cấu trúc phân tử carbohydrate X được cho dưới đây:
![]() |
Phát biểu nào sau đây là đúng về carbohydrate X?
A. X có nhiều trong trái cây chín.
B. X chỉ có cấu trúc mạch không phân nhánh.
C. X có vị ngọt hơn glucose.
D. X là thành phần chính của các loại hạt như ngô, gạo, đậu, ...
Phương pháp giải:
Dựa vào cấu trúc của tinh bột và cellulose.
Lời giải chi tiết:
Cấu trúc trên có mạch không phân nhánh.
Đáp án B
5.7
Trong số 6 carbohydrate sau: glucose, fructose, saccharose, maltose, tinh bột và cellulose, số carbohydrate cho được phản ứng thuỷ phân là
A. 2. B. 3. C. 4. D. 5.
Phương pháp giải:
Dựa vào tính chất hóa học của carbohydrate.
Lời giải chi tiết:
Saccharose, maltose, tinh bột và cellulose có phản ứng thủy phân.
Đáp án C
5.8
Hầu hết những phản ứng sinh hoá xảy ra nhờ sự xúc tác của các enzyme. Biểu đồ dưới đây thể hiện tốc độ của một phản ứng sinh hoá do enzyme X làm xúc tác theo nhiệt độ:

Nhiệt độ tối ưu cho enzyme X hoạt động là
A. 0 °C. B. 50 °C. C. 60 °C. D. 70 °C.
Phương pháp giải:
Dựa vào sơ đồ hoạt động của enzyme.
Lời giải chi tiết:
Nhiệt độ tối ưu cho enzyme X hoạt động khoảng 60oC.
Đáp án C
5.9
Biểu đồ sau thể hiện độ hoạt động của các enzyme A, B, C xúc tác cho các phản ứng sinh hoá trong cơ thể theo pH của môi trường phản ứng:

Trong số các enzyme đã nêu trong biểu đồ, amylase là một enzyme tiêu hoá chủ yếu được tiết ra bởi tuyến tuy và tuyến nước bọt, có tác dụng thuỷ phân tinh bột thành maltose. Pepsin và trypsin cũng là các enzyme tiêu hoá, lần lượt có trong dịch vị và ruột non với vai trò phân giải protein. Trypsin hoạt động tốt nhất trong môi trường kiềm nhẹ.
Enzyme A và B lần lượt là
A. amylase và trypsin. B. pepsin và trypsin.
C. amylase và pepsin. D. pepsin và amylase.
Phương pháp giải:
Dựa vào sơ đồ hoạt động của enzyme.
Lời giải chi tiết:
Enzyme A là pepsin, enzyme B là amylase.
Đáp án D
5.10
Tinh bột biến tính (modified starch) là tinh bột được biến đổi bằng các phương pháp vật lí, hoá học hoặc enzyme, nhờ đó những tính chất đặc thù của tinh bột như độ nhớt, độ kết dính, nhiệt độ hồ hoá, khả năng thuỷ phân, ... được tăng cường hoặc điều chỉnh so với tinh bột tự nhiên. Tinh bột kháng (resistant starch) là loại tinh bột không bị thuỷ phân ở ruột non mà đi đến và lên men trong ruột già, tạo ra nhiều vi khuẩn tốt giúp cải thiện sức khoẻ đường ruột. Tinh bột kháng đóng vai trò như một chất xơ, có lợi cho sự tiêu hoá của cơ thể.
Tinh bột kháng xuất hiện tự nhiên trong một số loại thực phẩm như chuối xanh, yến mạch, ... Lượng tinh bột kháng thay đổi khác nhau theo nhiệt độ, vì vậy yến mạch, chuối xanh sẽ mất một phần tinh bột kháng khi nấu chín. Một số loại tinh bột kháng khác lại được tạo ra trong quá trình nấu và làm nguội như cơm nguội có hàm lượng tinh bột kháng cao hơn cơm nóng. Ngoài ra, tinh bột tự nhiên khi được bổ sung maltogenic amylase, một loại enzyme có chức năng thuỷ phân tinh bột thành maltose thì thu được tinh bột biến tính. Đây cũng là một loại tinh bột kháng(,) do maltogenic amylase kéo dài thời gian thuỷ phân tinh bột thành glucose giúp làm chậm quá trình tiêu hoá.
a) Cho biết vai trò của tinh bột kháng đối với sức khoẻ của cơ thể.
b) Em hãy đề nghị cách đơn giản nhất để tăng lượng tinh bột kháng trong khẩu phần ăn hằng ngày.
Phương pháp giải:
Dựa vào ứng dụng của tinh bột.
Lời giải chi tiết:
a) Tinh bột là thực phẩm chính trong bữa ăn hằng ngày ở nhiều nước trên thế giới. Sản phẩm của sự thuỷ phân tinh bột là glucose đi trực tiếp vào máu qua đường tiêu hoá. Tuy nhiên, có một lượng lớn năng lượng được tạo thành từ tinh bột nên việc lạm dụng tinh bột có thể dẫn đến một số bệnh như béo phì và đái tháo đường, ...
Tinh bột kháng do không bị thuỷ phân thành glucose ở ruột non mà lên men trong ruột già nên tạo ra ít năng lượng hơn so với tinh bột bình thường, giúp hạn chế tình trạng béo phì và ổn định lượng đường huyết, hạn chế bệnh đái tháo đường. Bên cạnh đó, tinh bột kháng con giúp ruột kết(,) khoẻ mạnh nhờ các vi khuẩn tốt trong ruột già có tác dụng biến tinh bột kháng thành các acid béo chuỗi ngắn. Đây là nguồn năng lứợng “ưa thích” của các tế bào ruột kết.
Tinh bột kháng còn có vai trò như là một thành phần của chất xơ. Sự đa dạng chất xơ trong chế độ ăn uống là rất cần thiết do chúng hoạt động theo những cách khác nhau. Các chất xơ thường hiệu quả hơn khi kết hợp với nhau để duy trì một đường ruột khoẻ mạnh. (Ruột kết còn gọi là đại trực tràng, phần dài nhất của ruột già và phần thấp nhất của hệ tiêu hoá)
b) Do tinh bột kháng có trong một số thực phẩm được nấu chín và để nguội, nhất là qua đêm như khoai tây, mì ống, cơm, ... nên cách đơn giản nhất để tăng lượng tinh bột kháng trong khẩu phần ăn hằng ngày là để nguội các thực phẩm chứa tinh bột như trên trong tủ lạnh qua đêm. Việc nấu và làm nguội lặp đi lặp lại sẽ làm tăng lượng tinh bột kháng trong các loại thực phẩm nói trên. Ngoài ra chuối xanh cũng là một nguồn tinh bột kháng đơn giản, dễ tìm
5.11
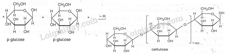
Trong giờ học, Thành và Nhân lần lượt biểu diễn cấu trúc phân tử

Theo em, cách biểu diễn cẩu trúc phân tử cellulose của bạn nào đúng? Giải thích.
Phương pháp giải:
Dựa vào cấu trúc phân tử cellulose.
Lời giải chi tiết:
Để hình thành phân tử cellulose, nhóm -OH ở vị trí nguyên tử carbon số 1 của đơn vị β - glucose này phản ứng với nhóm -OH ở vị trí nguyên tử carbon số 4 của đơn vị β - glucose kia hình thành nên các liên kết β-1,4-glycoside trong phân tử cellulose như sau:

Cách biểu diễn cấu trúc phân tử cellulose của bạn Nhân thể hiện được liên kết p-1,4-glycoside nên đây là cách biểu diễn đúng. Bạn Thànhì)iểu diễn sai do thể hiện liên kết a-1,4-glycoside không phù hợp với cấu trúc phân tử cellulose.
5.12
Ngô và mía là hai nguyên liệu chính được sử dụng trong sản xuất ethanol. Tuy nhiên chúng là những loại cây lương thực quan trọng, trong khi cellulose cũng có thể sản xuất ethanol, nhưng cellulose là nguồn nguyên liệu dồi dào, dễ tìm. Tuy giá thành sản xuất ethanol từ cellulose còn cao, xuất phát từ loại nấm được nuôi cấy để tạo cellulase là enzyme xúc tác cho phản ứng thuỷ phân cellulose thành glucose còn tốn kém nhiều về năng lượng,'nhưng hướng đi này đang hứa hẹn nhiều viễn cảnh mới ở tương lai(*).
a) Viết phương trình hoá học của các phản ứng điều chế ethanol từ cellulose.
b) Hiện tại, 1 tấn nguyên liệu cellulose khô tạo ra khoảng 240 lít ethanol. Tính hiệu suất của quá trình điều chế. Cho khối lượng riêng của ethanol là 0,79 g/mL.
c) Với những tiến bộ công nghệ đạt được, người ta tin rằng 1 tấn cellulose sắp tới có thể tạo được khoảng 400 lít ethanol. Cho biết hiệu suất của quá trình điều chế ethanol từ cellulose đạt được khi đó.
Phương pháp giải:
Dựa vào tính chất hóa học của cellulose.
Lời giải chi tiết:
a) Phương trình hoá học của các phản ứng:
(C6H10O5)n + nH2O → nC6H12O6

b) Theo phương trình, cứ 162 g cellulose thu được 92 g ethanol.
Vậy khối lượng ethanol thu được từ 1 tấn cellulose là:
\({m_{ethan{\rm{o}}l}} = \frac{{1000.92}}{{162}} \approx 568kg\) '
Do đó hiệu suất của quá trình điều chế là:
\(H = \frac{{240.0.79}}{{568}}.100 \approx 33,39\% \)
c) Do được 240 lít ethanol thì hiệu suất quá trình đạt 33,38%.
Nên được 400 lít ethanol thì hiệu suất quá trình đạt
\(H = \frac{{400.33,39}}{{240}}.100 \approx 55,65\% \)
5.13
Men được thêm vào bột khi làm bánh mì để chuyển hoá một phần tinh bột thành glucose rồi thành ethanol và khí carbon dioxide giúp bánh mì nở ra và xốp. Giải thích vì sao trong thực tế hàm lượng ethanol trong bánh mì rất thấp?
Phương pháp giải:
Dựa vào tính chất hóa học của tinh bột.
Lời giải chi tiết:
Trong quá trình thực hiện bánh mì, khí carbon dioxide làm cho bột bánh mì nở ra và “dậy lên”. Sau một thời gian, bột được nhào nặn để phá vỡ các bong bóng carbon dioxide này. Khi bánh mì được nướng, hơi nóng sẽ làm nở carbon dioxide giúp cho bánh mì nở ra nhiều hơn. Cuối cùng, nhiệt sẽ loại bỏ carbon dioxide cũng như ethanol và phần lớn nước được sử dụng để trộn bột, kết quả thu được bánh mì mềm, nhẹ và xốp.
5.14
Mối là bằng chứng về mối quan hệ cộng sinh giữa động vật và vi sinh vật. Giải thích phát biểu trên.
Phương pháp giải:
Dựa vào ứng dụng của cellulose và tinh bột.
Lời giải chi tiết:
Cộng sinh là mối quan hệ lâu dài, mật thiết giữa các sinh vật thuộc hai loài khác biệt. Sự cộng sinh giữa mối và vi sinh vật, cụ thể là Trichonympha sống trong ruột mối rất có lợi cho cả hai bên. Trichonympha tiết ra enzyme là cellulase giúp vật chủ là mối tiêu hoá cellulose, đổi lại Trichonympha nhận được môi trường bảo vệ cũng như nguồn cung cấp thức ăn liên tục.
5.15
Vì sao con người không thể sử dụng cellulose như một loại thực phẩm chính?
Phương pháp giải:
Dựa vào cấu trúc của phân tử cellulose.
Lời giải chi tiết:
Động vật nhai lại có thể tiêu hoá cellulose vì chúng có vi khuẩn Ruminococcus trong dạ cỏ tạo ra cellulase là enzyme có thể thuỷ phân cellulose thành glucose. Con người không thể sử dụng cellulose như một loại thực phẩm chính vì không có cellulase xúc tác cho phản ứng thuỷ phân cellulose thành glucose.
5.16
Vì sao cellulose không thể được tiêu hoá trong ruột của con người, tuy nhiên đây lại là thành phần quan trọng của một chế độ ăn uống lành mạnh?
Phương pháp giải:
Dựa vào ứng dụng của cellulose.
Lời giải chi tiết:
Tuy cellulose là một loại chất xơ không thể tiêu hoá được trong ruột của con người nhưng lại là thành phần quan trọng của một chế độ ăn uống lành mạnh, do chất xơ hỗ trợ sự hoạt động trơn tru của đường ruột, giúp phòng tránh các bệnh về đường ruột như khó tiêu, trĩ, táo bón, ... Ngòài ra, chất xơ còn giúp giảm nguy cơ ung thư ruột kết do giảm thời gian phân tồn tại trong ruột kết.
5.17
Giải thích vì sao tinh bột cho được phản ứng màu với iodine nhưng cellulose không cho phản ứng này?
Phương pháp giải:
Dựa vào tính chất hóa học của tinh bột.
Lời giải chi tiết:
Cấu trúc xoắn của phân tử amyỉose giúp cho các phân tử iodine có thể trượt vào trong vòng xoắn. Trong khi đó, cellulose có cấu trúc mạch thẳng, không phân nhánh nên phân tử cellulose không thể chứa các phân tử iodine như tinh bột. Vì vậy tinh bột cho được phản ứng màu với iodine còn cellulose không cho phản ứng này.
5.18
Quan sát cấu trúc một phân tử tinh bột dưới đây, ta thấy mỗi phân tử tinh bột có chứa một nhóm -OH hemiacetal có thể mở vòng tạo nhóm aldehyde. Tuy nhiên thực tế tinh bột không phản ứng với thuốc thử Toilens. Giải thích.
Phương pháp giải:
Dựa vào tính chất hóa học của tinh bột.
Lời giải chi tiết:
Tuy mỗi phân tử tinh bột có 1 nhóm -OH hemiacetal có thể mở vòng tạo nhóm aldehyde, chẳng hạn như hình dưới đây:
Nhưng thực tế, tinh bột không phản ứng với thuốc thử Tollens. Điều này có thể giải thích là do trong hàng ngàn đơn vị saccharidê tạo nên phân tử tinh bột, chỉ có 1 nhóm -OH hemiacetal ở đầu cuối, không đủ để kích hoạt phản ứng với thuốc thử Tollens.
5.19
Starch nitrate là một loại bột vô định hình màu vàng nhạt, được tạo thành khi nitrate hoá tinh bột tương tự như nitrate hoá cellulose. Starch nitrate từng được sử dụng trong sản xuất lựu đạn và chất nổ trong khai thác quặng. Cũng giống như cellulose, tuỳ thuộc vào số nhóm -OH trong mắt xích của phân tử tinh bột đã tham gia phản ứng nitrate hoá, phản ứng có thể tạo 3 sản phẩm khác nhau.
a) Viết phương trình hoá học của các phản ứng.
b) Một mẫu starch nitrate có %N (theo khối lượng) là 14,14%. Cho biết công thức của mẫu starch nitrate này.
Phương pháp giải:
Dựa vào tính chất hóa học của cellulose.
Lời giải chi tiết:
a) Tuỳ thuộc vào số nhóm -OH trong mắt xích phân tử tinh bột đã bị nitrate hoá, phản ứng có thể tạo ra các sản phẩm khác nhau là [C6H7O2(OH)2(ONO2)]n, [C6H7O2(OH)(ONO2)2]n và [C6H7O2(ONO2)3]n.
Phương trình hoá học của các phản ứng:
[C6H7O2(OH)3]n + nHONO2 → [C6H7O2(OH)2(ONO2)]n + nH2O
[C6H7O2(OH)3]n + 2nHONO2 → [C6H7O2(OH)(ONO2)2]n + 2nH2O
[C6H7O2(OH)3]n + 3nHONO2 → [C6H7O2(ONO2 )3]n + 3nH2O
b) Giả sử mẫu starch nitrate trên có công thức [C6H7O2(OH)x(ONO2)3-x]n
Ta có: \(\% N = \frac{{14.(3 - x).100}}{{(297 - 45{\rm{x}})}} = 14,14 \to x = 0\)
Vậy công thức của mẫu starch nitrate đã cho là [C6H7O2(ONO2)3]n
5.20
Vì sao chỉ tiêu thụ tinh bột nhưng cơ thể vẫn có thể mắc bệnh béo phì?
Phương pháp giải:
Dựa vào sự chuyển hóa tinh bột trong cơ thể người.
Lời giải chi tiết:
Tinh bột hay carbohydrate nói chung trong chế độ ăn uống cung cấp glucose để cơ thể sử dụng tạo năng lượng. Lượng glucose dư thừa vượt quá mức cơ thể cần để tạo năng lượng sẽ được chuyển hoá thành glycogen, một dạng tinh bột động vật. Khi lượng glycogen vượt quá giới hạn cho phép, cơ thể sẽ thích nghi bằng cách chuyển hoá lượng glucose dư thừa thành chất béo và được lưu trữ trong các tế bào mỡ của cơ thể. Khi lượng mỡ thừa và tích tụ đạt đến một mức nhất định, chúng sẽ gây béo phì. Vì thế, khi lượng tinh bột tiêu thụ quá nhiều có thể dẫn đến tình trạng béo phì
