Sử dụng phần mềm GeoGebra thực hiện các yêu cầu sau:
Tổng hợp đề thi học kì 1 lớp 9 tất cả các môn - Kết nối tri thức
Toán - Văn - Anh - KHTN - Lịch sử và Địa lí
Sử dụng phần mềm GeoGebra thực hiện các yêu cầu sau:
TH1
Video hướng dẫn giải
Trả lời câu hỏi Thực hành 1 trang 114 SGK Toán 9 Kết nối tri thức
Giải các phương trình sau:
a) \({x^2} - 4x + 10 = 0\);
b) \(x + \frac{9}{{x - 1}} = 7\);
c) \({x^2} - 2\left( {\sqrt 3 - 1} \right)x - 2\sqrt 3 = 0\);
d) \(\frac{{x + 1}}{{x - 1}} - \frac{{x - 1}}{{x + 1}} = \frac{4}{{{x^2} - 1}}\).
Phương pháp giải:
+ Để giải phương trình nói chung, ta dùng lệnh Solve (<phương trình>) hoặc Solutions (<phương trình>) trên ô lệnh của cửa sổ CAS kết quả sẽ hiển thị ngay bên dưới.
+ Nghiệm của phương trình được biểu diễn dưới dạng tập hợp. Chú ý, kí hiệu {} thể hiện phương trình vô nghiệm.
Lời giải chi tiết:
a)

Vậy phương trình \({x^2} - 4x + 10 = 0\) vô nghiệm.
b)

Vậy phương trình \(x + \frac{9}{{x - 1}} = 7\) có nghiệm \(x = 4\).
c)

Vậy phương trình \({x^2} - 2\left( {\sqrt 3 - 1} \right)x - 2\sqrt 3 = 0\) có nghiệm \(x = \sqrt 3 - 3;x = \sqrt 3 + 1\).
d)

Vậy phương trình \(\frac{{x + 1}}{{x - 1}} - \frac{{x - 1}}{{x + 1}} = \frac{4}{{{x^2} - 1}}\) vô nghiệm.
TH2
Video hướng dẫn giải
Trả lời câu hỏi Thực hành 2 trang 114 SGK Toán 9 Kết nối tri thức
Giải các hệ phương trình sau:
a) \(\left\{ \begin{array}{l}3x - 2y = 4\\2x + y = 5\end{array} \right.\);
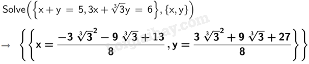
b) \(\left\{ \begin{array}{l}x + y = 5\\3x + \sqrt[3]{3}y = 6\end{array} \right.\);
c) \(\left\{ \begin{array}{l}3x + 2y = 0\\2x - 3y = 0\end{array} \right.\);
d) \(\left\{ \begin{array}{l}x\sqrt 5 - \left( {1 + \sqrt 3 } \right)y = 1\\\left( {1 - \sqrt 3 } \right)x + y\sqrt 5 = 1\end{array} \right.\).
Phương pháp giải:
Cách 1: Sử dụng câu lệnh Solve ({<phương trình thứ nhất>, (<phương trình thứ hai>}, {<biến số thứ nhất>, (<biến số thứ hai>}) hoặc Solutions ({<phương trình thứ nhất>, (<phương trình thứ hai>}, {<biến số thứ nhất>, (<biến số thứ hai>}) trên ô lệnh của cửa sổ CAS kết quả sẽ hiển thị ngay bên dưới.
Cách 2: Sử dụng câu lệnh Intersect ({<phương trình thứ nhất>, (<phương trình thứ hai>}) trên ô lệnh của cửa sổ CAS để tìm tọa độ giao điểm của hai đường thẳng có phương trình tương ứng.
Lời giải chi tiết:
a)

Vậy hệ phương trình \(\left\{ \begin{array}{l}3x - 2y = 4\\2x + y = 5\end{array} \right.\) có nghiệm \(x = 2;y = 1\).
b)

Vậy hệ phương trình \(\left\{ \begin{array}{l}x + y = 5\\3x + \sqrt[3]{3}y = 6\end{array} \right.\) có nghiệm \(x = \frac{{ - 3{{\sqrt[3]{3}}^2} - 9\sqrt[3]{3} + 13}}{8};y = \frac{{3{{\sqrt[3]{3}}^2} + 9\sqrt[3]{3} + 27}}{8}\).
c)

Vậy hệ phương trình \(\left\{ \begin{array}{l}3x + 2y = 0\\2x - 3y = 0\end{array} \right.\) có nghiệm \(x = 0;y = 0\).
d)

Vậy hệ phương trình \(\left\{ \begin{array}{l}x\sqrt 5 - \left( {1 + \sqrt 3 } \right)y = 1\\\left( {1 - \sqrt 3 } \right)x + y\sqrt 5 = 1\end{array} \right.\) có nghiệm \(x = \frac{{\sqrt 5 }}{3} + \frac{{\sqrt 3 }}{3} + \frac{1}{3};y = \frac{{\sqrt 5 }}{3} + \frac{{\sqrt 3 }}{3} - \frac{1}{3}\).
TH3
Video hướng dẫn giải
Trả lời câu hỏi Thực hành 3 trang 114 SGK Toán 9 Kết nối tri thức
Cho đường thẳng \(\left( d \right):y = 2x + \sqrt 3 \) và parabol \(\left( P \right):y = {x^2}\).
a) Vẽ đường thẳng (d) và parabol (P) trên cùng một mặt phẳng tọa độ.
b) Tìm tọa độ giao điểm của (d) và (P).
Phương pháp giải:
- Khởi động GeoGebra và chọn đồng thời hai chế độ Graphic 2 và CAS để vẽ đồ thị của hàm số \(y = a{x^2}\left( {a \ne 0} \right)\) và hàm số bậc nhất \(y = ax + b\left( {a \ne 0} \right)\)
+ Nhập công thức hàm số \(y = a{x^2}\) và \(y = ax + b\) vào từng ô lệnh trong cửa sổ CAS.
+ Nháy chuột chọn nút
ở đầu mỗi ô lệnh để vẽ đồ thị hàm số trong cửa sổ Graphic 2.
- Sử dụng câu lệnh Intersect ({<phương trình thứ nhất>, (<phương trình thứ hai>}) trên ô lệnh của cửa sổ CAS để tìm tọa độ giao điểm của hai đường thẳng có phương trình tương ứng.
Lời giải chi tiết:
a) Nhập

Ta được đồ thị

b)
