• Latest
  • Trending
  • All

Tổng hợp các bảng công thức đạo hàm mới nhất lớp 11, 12 [Bản đầy đủ 2024]

21/12/2025

Hành chính Đại Việt thời Lê sơ

21/12/2025

CHÀO MỪNG BẠN ĐẾN VỚI CỔNG THÔNG TIN ĐIỆN TỬ TRƯỜNG THPT PHÙ CỪ

21/12/2025

Viêm trợt hang vị dạ dày biến chứng thành ung thư được không?

21/12/2025

Top 10+ cách làm bùa may mắn khi đánh bài – Rất hên!

21/12/2025

Kilian Good Girl Gone Bad EDP

21/12/2025

Bộ đề thi 100 câu hỏi và đáp án "Tìm hiểu cuộc đời, thân thế, sự nghiệp của Chủ tịch Hồ Chí Minh" nhân dịp Kỷ niệm 135 năm ngày sinh Bác (19/5/1890 – 19/5/2025)  – Myaloha

21/12/2025
Tài Liệu Học Tập
No Result
View All Result
  • Đề Thi
  • Lớp 12
    • Lịch Sử Lớp 12
    • Địa Lí Lớp 12
    • Ngữ Văn Lớp 12
    • GD KTPL Lớp 12
    • Toán Lớp 12
    • Tiếng Anh Lớp 12
    • Hóa Học Lớp 12
    • Sinh Học Lớp 12
    • Vật Lí Lớp 12
  • Lớp 11
    • Toán Lớp 11
    • Ngữ Văn Lớp 11
    • Tiếng Anh Lớp 11
    • Hóa Học Lớp 11
    • Sinh Học Lớp 11
    • Vật Lí Lớp 11
    • Lịch Sử Lớp 11
    • Địa Lí Lớp 11
    • GDCD Lớp 11
  • Lớp 10
    • Toán Lớp 10
    • Ngữ Văn Lớp 10
    • Tiếng Anh Lớp 10
    • Hóa Học Lớp 10
    • Sinh Học Lớp 10
    • Vật Lí Lớp 10
    • Lịch Sử Lớp 10
    • Địa Lí Lớp 10
    • GDKTPL Lớp 10
    • Công nghệ lớp 10
    • Tin Học Lớp 10
  • Lớp 9
    • Toán Lớp 9
    • Ngữ Văn Lớp 9
    • Tiếng Anh Lớp 9
    • Lịch sử và địa lý lớp 9
    • Khoa Học Tự Nhiên Lớp 9
    • GDCD Lớp 9
  • Lớp 8
    • Toán Lớp 8
    • Ngữ Văn Lớp 8
    • Tiếng Anh Lớp 8
    • Lịch sử và địa lý lớp 8
    • Khoa Học Tự Nhiên Lớp 8
    • GDCD 8
  • Lớp 7
    • Toán Lớp 7
    • Văn Lớp 7
    • Tiếng Anh Lớp 7
    • Lịch Sử Và Địa Lí Lớp 7
    • Khoa Học Tự Nhiên Lớp 7
  • Lớp 6
    • Toán Lớp 6
    • Văn Lớp 6
    • Tiếng Anh lớp 6
    • Lịch Sử và Địa Lí Lớp 6
    • Khoa Học Tự Nhiên lớp 6
  • Lớp 5
    • Toán lớp 5
    • Tiếng Việt Lớp 5
    • Tiếng Anh Lớp 5
    • Lịch Sử và Địa Lí Lớp 5
  • Lớp 4
    • Toán lớp 4
    • Tiếng Việt Lớp 4
    • Tiếng Anh Lớp 4
    • Lịch Sử và Địa Lí Lớp 4
  • Lớp 3
    • Toán lớp 3
    • Tiếng Anh Lớp 3
    • Tiếng Việt Lớp 3
  • Mẹo Hay
  • Tin tức
  • Liên Hệ
Tài Liệu Học Tập
No Result
View All Result
Home chính tả

Tổng hợp các bảng công thức đạo hàm mới nhất lớp 11, 12 [Bản đầy đủ 2024]

by Tranducdoan
21/12/2025
in chính tả
0
Đánh giá bài viết

Đạo hàm là một trong những phần kiến thức Toán quan trọng của học sinh cấp 3. Kiến thức này không chỉ theo các em đến các cuộc thi tốt nghiệp, thi đại học mà còn có trong quá trình học đại học sau này. Để giúp các bạn ôn lại nội dung này một cách đơn giản và dễ hiểu, hãy cùng trường mầm non Sakura Montessori tham khảo tổng hợp các công thức mới nhất trong bài viết dưới đây.

đạo hàm
Tổng hợp các công thức đạo hàm mới nhất lớp 11, 12 [Bản đầy đủ 2023]

Mục Lục Bài Viết

  1. Định nghĩa & quy tắc cơ bản
    1. 1. Định nghĩa
    2. 2. Quy tắc cơ bản để áp dụng công thức đạo hàm lớp 11
  2. Công thức Đạo hàm tổng quan
  3. Công thức Đạo hàm sơ cấp
  4. Công thức Đạo hàm cấp cao
  5. Công thức Đạo hàm lượng giác
  6. Bảng công thức Đạo hàm mới nhất 2023
  7. Các dạng bài tập liên quan
    1. Dạng 1: Dạng bài tập đạo hàm áp dụng khái niệm, định nghĩa đạo hàm
    2. Dạng 2: Viết phương trình tiếp tuyến của hàm số căn cứ và tiếp điểm
    3. Dạng 3: Chứng minh đẳng thức dựa vào điều kiện liên quan đến đạo hàm có sẵn
    4. Dạng 4: Phương trình và bất phương trình
    5. Dạng 5: Cho hệ số góc, viết phương trình tiếp
    6. Dạng 6: Áp dụng công thức đạo hàm, nguyên hàm giải bài tập
    7. Dạng 7: Tính đạo hàm cấp cao (thông thường từ cấp 2 trở lên)
  8. Một số câu hỏi thường gặp
    1. 1. Cách ghi nhớ bảng công thức đạo hàm hiệu quả?
    2. 2. Cách giải bài tập đạo hàm nhanh nhất?
    3. 3. Công cụ tính đạo hàm online?

Định nghĩa & quy tắc cơ bản

Đạo hàm là kiến thức có trong bài thi tốt nghiệp THPT quốc gia, do đó bất cứ học sinh nào cũng cần phải nắm vững phần này. Tuy nhiên, nhiều người học cảm thấy mảng này khá khó. Để học tốt chúng ta cần nắm vững lý thuyết, sau đó ứng dụng giải các bài tập để tiến đến thành thạo.

1. Định nghĩa

Kiến thức đầu tiên học sinh cần biết là định nghĩa:

Theo toán học giải tích, đạo hàm là 1 hàm số, là đại lượng dùng để mô tả sự biến thiên tại 1 điểm của hàm số. Nói cách khác, đây chính là tỉ số giữa số gia và hàm số tại một điểm x0. Trong đó, chiều biến thiên và độ lớn của biến thiên thể hiện giá trị của đạo hàm.

Hàm số y = f(x) ký hiệu bằng y′(x0) hoặc f′(x0) được xác định trên khoảng (a;b) và x0 ∈ (a;b)

Đạo hàm của hàm số f(x) tại x0 là giới hạn hữu hạn của tỉ số giữa số gia của đối số và số gia của hàm số.

Định nghĩa đạo hàm

Số gia của đối số là Δx=x−x0

Số gia của hàm số là Δy=y−y0

Lưu ý: Đạo hàm có ý nghĩa lớn trong ứng dụng hình học, hình học không gian và vật lý. Trong vật lý y'(x0) là vận tốc tức thời, vận tốc tại thời điểm tính trong quá trình chuyển động của một chất. Hay nó chính là đồ thị biểu diễn hàm số biểu diễn hình học.

2. Quy tắc cơ bản để áp dụng công thức đạo hàm lớp 11

Quy tắc cơ bản để áp dụng công thức đạo hàm lớp 11 chính là công thức tính y’ đầy đủ giúp chúng ta tính toán, giải các bài tập một cách chính xác và nhanh chóng.

Quy tắc cơ bản để áp dụng công thức như sau:

Quy tắc cơ bản để áp dụng công thức đạo hàm lớp 11

>>Xem thêm: IELTS là gì? Cập nhật mới nhất 2023 kỳ thi IELTS – Sakura Montessori

Công thức Đạo hàm tổng quan

Công thức tổng quan bao gồm 3 dạng: Đạo hàm của f(u) với u là hàm số, (f(x))’ với x là biến số và đạo hàm của một số phân thức hữu tỉ.

đạo hàm
Công thức đạo hàm tổng quan

>>Xem thêm: Nguyên tử khối là gì? Cập nhật bảng nguyên tử khối mới nhất 2023

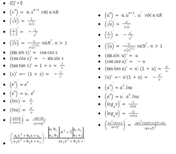
Công thức Đạo hàm sơ cấp

Công thức sơ cấp:

đạo hàm
Ảnh công thức Đạo hàm sơ cấp (sưu tầm Internet)

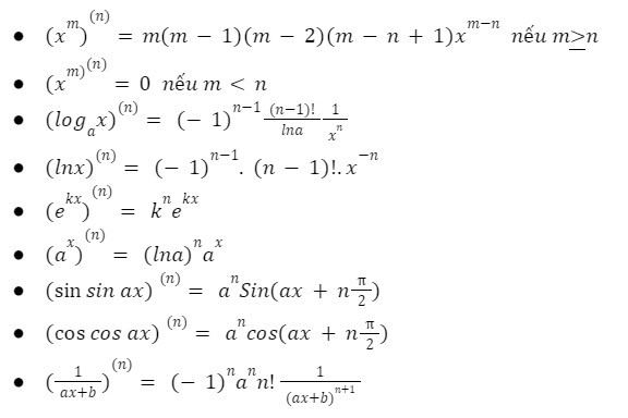
Công thức Đạo hàm cấp cao

Công thức cấp cao:

đạo
Ảnh công thức Đạo hàm cấp cao (sưu tầm Internet)

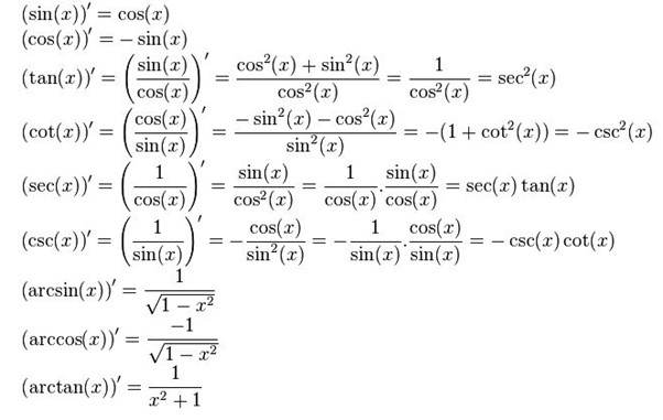
Công thức Đạo hàm lượng giác

Công thức y’ của các hàm lượng giác và hàm lượng giác ngược:

đạo hàm
Ảnh công thức Đạo hàm lượng giác (sưu tầm Internet)

Bảng công thức Đạo hàm mới nhất 2023

Bảng công thức mới nhất 2023:

đạo hàm
Bảng công thức Đạo hàm (sưu tầm Internet)

Các dạng bài tập liên quan

Để giúp các em học sinh nắm bắt và hiểu rõ các công thức đạo hàm và ứng dụng như thế nào, chúng tôi đưa ra tổng hợp các dạng bài tập liên quan có kèm theo ví dụ dưới đây. Tích cực luyện tập bài tập sẽ giúp các em ghi nhớ kiến thức và giải bài tập thành thạo.

Dạng 1: Dạng bài tập đạo hàm áp dụng khái niệm, định nghĩa đạo hàm

Áp dụng khái niệm và định nghĩa giải các bài tập liên quan là dạng bài toán cơ bản và đơn giản. Cụ thể:

đạo hàm

Dạng 2: Viết phương trình tiếp tuyến của hàm số căn cứ và tiếp điểm

Đây là dạng bài tập cơ bản khá phổ biến, đề bài cho sẵn tiếp điểm M(x0, y0), phương trình tiếp tuyến của hàm số của đồ thị đường cong (C): y=f(x), có dạng y=y’(x0)(x-x0) + y0. Đây là dạng bài tập có lời giải đơn giản, học sinh chỉ cần thay thế các dữ liệu cho sẵn và tính toán để được đáp án chính xác.

Ví dụ:

Cho một hàm số y= x3 + 3mx2 + ( m+1)x + 1 (1), trong đó m là một tham số thực. Hãy tìm các giá trị của m để tiếp tuyến của đồ thị của hàm số tại điểm có hoành độ x = -1 và đi qua điểm A(1;2).

Đáp án:

TXD: Đ = R

y’ = f'(x)= 3×2 + 6mx + m + 1

Với x0 = -1 => y0= 2m -1, f'( -1) = -5m + 4

Phương trình tiếp tuyến tại M(-1; 2m – 1) : y= ( -5m + 4 ) ( x+1) + 2m -1 (d)

Ta có A ( 1;2) ∈ (d) <=> ( -5m + 4).2 + 2m – 1 = 2 => m = 5/8

Dạng 3: Chứng minh đẳng thức dựa vào điều kiện liên quan đến đạo hàm có sẵn

Dạng bài tập này yêu cầu học sinh tính toán, chứng minh các đẳng thức dựa vào các điều kiện có sẵn liên quan đến đạo hàm. Cụ thể:

đạo hàm

Dạng 4: Phương trình và bất phương trình

Để tìm được kết quả chính xác của dạng toán này, học sinh cần kết hợp nhiều công thức đạo hàm và nguyên hàm và giải phương trình hay ất phương trình đã cho.

đạo hàm

Dạng 5: Cho hệ số góc, viết phương trình tiếp

Dạng bài tập này cho biết Δ có hệ số góc là k, yêu cầu viết phương trình tiếp tuyến Δ của (C) : y = f( x )

Gọi M(x0 ; y0) là tiếp điểm. Tính y’ => y'(x0)

Phương trình tiếp tuyến Δ có hệ số góc k => y’ = (x0 ) = k (i)

x0 => y0 = f(x0) => Δ : y = k (x – x0 )+ y0

Lưu ý: Hệ số góc k = y'(x0 ) của tiếp tuyến Δ thường cho kiểu gián tiếp như sau:

Ví dụ:

Cho hàm số y=x3 +3 × 2 – 9x + 5 ( C). Tìm tiếp tuyến có hệ số góc nhỏ nhất trong tất cả các tiếp tuyến của đồ thị (C ).

Đáp án:

Ta có y’ = f'( x ) = 3×2 + 6x – 9

Gọi x0 là hoành độ tiếp điểm của tiếp tuyến, vậy f'( x0) = 3 x02 + 6 x0 – 9

Ta có 3 x02 + 6×0- 9 =3 ( x02+ 2×0 +1) – 12 = 3 (x0+1)2- 12 > – 12

Vậy min f( x0)= – 12 tại x0= -1 => y0=16

=> Phương trình tiếp tuyến cần tìm: y= -12( x+1)+16 <=> y= -12x + 4

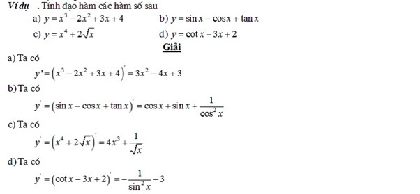
Dạng 6: Áp dụng công thức đạo hàm, nguyên hàm giải bài tập

Muốn giải được bài tập dạng 6, học sinh cần nắm vững công thức y’ lớp 11 đã được học. Trong quá trình thực hiện, các em cần lưu ý rút gọn hàm số sau đó mới tiến hành tìm y’ của hàm số đó.

đạo hàm

Dạng 7: Tính đạo hàm cấp cao (thông thường từ cấp 2 trở lên)

Muốn tính y’ cấp cao, học sinh cần nắm vững và áp dụng công thức tính từ cấp 2 hoặc công thức y(n) = (y(n-1))’. Lưu ý: Để tính y’ cấp n, các em cần thực hiện tính y’ từ cấp 1, 2, 3… để tìm ra công thức tính y’ cấp n.

Một số câu hỏi thường gặp

1. Cách ghi nhớ bảng công thức đạo hàm hiệu quả?

Nhiều học sinh gặp khó khăn trong việc ghi nhớ bảng công thức. Trên thực tế đây là công thức khó nhớ, mang tính đặc thù của chuyên ngành toán học nên việc học thuộc không đơn giản. Mời các em tham khảo cách ghi nhớ các công thức tính dễ nhớ, ghi nhớ lâu ngay dưới đây:

  • Học tập nghiêm túc: Không chỉ trong toán học mà với bất cứ môn học nào chúng ta cần duy trì thái độ học tập nghiêm túc, tập trung. Bên cạnh đó sự kiên trì tìm hiểu, hiểu rõ kiến thức mới nhanh tiến bộ và học tập có kết quả tốt.
  • Tích cực trao đổi thông tin với bạn bè và giáo viên: Mọi thắc mắc có liên quan đến bài học hãy mạnh dạn trao đổi với bạn bè, thầy cô để tìm ra lời giải đáp đúng đắn. Tích cực trao đổi với mọi người là cách để chúng ta tìm thấy những cách hay giải đáp các bài toán mà 1 mình có thể không giải quyết được. Bên cạnh đó, hãy chủ động tìm kiếm thông tin, học hỏi, giao lưu trên các câu lạc bộ toán học, hội nhóm, diễn đàn.
  • Tích cực luyện các dạng bài tập : Nếu chỉ học lý thuyết mà không thực hành, rất khó để chúng ta hiểu sâu sắc về kiến thức và ghi nhớ. Vì vậy các em học sinh hãy tích cực rèn luyện nhiều dạng bài tập đạo hàm trong sách giáo khoa và sách nâng cao để ghi nhớ và tự tin với các đề thi.

2. Cách giải bài tập đạo hàm nhanh nhất?

Muốn giải bài tập một cách nhanh chóng các em cần chú ý:

  • Nắm vững kiến thức lý thuyết về đạo hàm bao gồm các nội dung như định nghĩa, các công thức, quy tắc cơ bản để áp dụng…
  • Vận dụng các kiến thức lý thuyết để ứng dụng vào giải các dạng bài tập về đạo hàm
  • Thực hành làm đa dạng các bài tập từ cơ bản đến nâng cao để trở nên thành thạo
  • Tìm tòi, nghiên cứu mở rộng kiến thức để tìm ra các phương pháp giải bài tập mang tính sáng tạo

3. Công cụ tính đạo hàm online?

Để tìm kiếm các công cụ tính đạo hàm online các em học sinh có thể tìm kiếm trên các website uy tín. Sakura Montessori giới thiệu đến các em 5 website tính đạo hàm chính xác nhất và hoàn toàn miễn phí để tham khảo:

  • Website có hiển thị lời giải banhoituidap.com: Đây là website nhận được đánh giá hàng đầu có hiển thị lời giải chi tiết, đồ thị mô tả hàm số đạo hàm trong thời gian nhanh chóng. Trên website có hỗ trợ hiển thị đồ thị mô tả đạo hàm và hàm số.
  • Website mathpapa.com trực tuyến: mathapapa.com hỗ trợ người dùng tính đạo hàm online nhanh chóng và chính xác. Với tốc độ tính toán nhanh, hiển thị chi tiết bước giải, thao tác sử dụng đơn giản, website được nhiều học sinh yêu thích sử dụng.
  • Website trực tuyến wolfamalpha.com: Sử dụng website wolfamalpha.com học sinh có thể giải chính xác hầu hết các dạng bài tập tính đạo hàm. Website hỗ trợ hiển thị đồ thị, nhập dữ liệu nhanh và dễ dàng.
  • Website tính đạo hàm chính xác, miễn phí Mathway: Mathway là website cung cấp công cụ tính đạo hàm online được sử dụng phổ biến nhất hiện nay. Tại đây, cung cấp các công cụ giải toán chính xác và miễn phí.
  • Website symbolab.com tính nhanh chóng, quen thuộc: Đây là website quen thuộc với nhiều người dùng, giải đáp hầu hết các bài toán liên quan đến đạo hàm. Chúng ta có thể thấy được hiển thị các ước giải cụ thể, đồ thị và tải xuống file bài giải dạng PDF đầy đủ.

Công thức đạo hàm là nội dung kiến thức toán học được đánh giá là khó nhớ và khá khó để áp dụng. Tuy nhiên, đây lại là nội dung xuất hiện trong các kỳ thi quan trọng của học sinh trung học phổ thông. Điều cần thiết nhất là các em cần phải học tập nghiêm túc, hiểu và rèn luyện các dạng bài tập đa dạng để có thể tự tin với phần kiến thức này.

Nếu vẫn còn gặp khó khăn hãy tìm tới sự hỗ trợ của các thầy cô giáo, hoặc liên hệ với chúng tôi nhé. Chúc các em học tập tốt và đạt kết quả cao trong các kỳ thi sắp tới.

Previous Post

Xổ mũi hay sổ mũi là đúng chính tả?

Next Post

Các công thức mở bài Ngữ Văn 9 (34 mẫu) Cách viết mở bài

Tranducdoan

Tranducdoan

Trần Đức Đoàn sinh năm 1999, anh chàng đẹp trai đến từ Thái Bình. Hiện đang theo học và làm việc tại trường cao đẳng FPT Polytechnic

Related Posts

Viêm trợt hang vị dạ dày biến chứng thành ung thư được không?

by Tranducdoan
21/12/2025
0
0

Viêm trợt hang vị dạ dày là một tình trạng phổ biến, thường gặp ở người điều trị viêm hang...

Top 10+ cách làm bùa may mắn khi đánh bài – Rất hên!

by Tranducdoan
21/12/2025
0
0

Nhiều người tìn rằng cách làm bùa đánh bài may mắn giúp làm giàu nhanh chóng nhưng sự thật có...

Kilian Good Girl Gone Bad EDP

by Tranducdoan
21/12/2025
0
0

Ra mắt năm 2012, By Kilian Good Girl Gone Bad EDP dưới bàn tay tài hoa của Alberto Morillas là...

Cây dang hay cây giang đúng chính tả?

by Tranducdoan
21/12/2025
0
0

Cây dang hay cây giang có sự phát âm gần giống nhau giữa âm “gi” và âm “d” nên nhiều...

Load More
Next Post

Các công thức mở bài Ngữ Văn 9 (34 mẫu) Cách viết mở bài

  • Trending
  • Comments
  • Latest
File đề thi thử lịch sử thpt quốc gia 2024 2025 có đáp án

80 File đề thi thử lịch sử thpt quốc gia 2026 2025 có đáp án

16/12/2025
Viết bài văn kể lại câu chuyện về một nhân vật lịch sử mà em đã đọc đã nghe lớp 4 ngắn gọn

Kể lại câu chuyện về một nhân vật lịch sử lớp 4 ngắn gọn

27/03/2025
viet-bai-van-ke-ve-cau-chuyen-ma-em-yeu-thich-ngan-gon

Viết bài văn kể lại một câu chuyện ngắn gọn nhất 16 mẫu

16/11/2024
De Thi Cuoi Hoc Ki 1 Ngu Van 12 Nam 2021 2022 So Gddt Bac Giang Page 0001 Min

Đề thi học kì 1 lớp 12 môn văn năm học 2021-2022 tỉnh Bắc Giang

0
De Thi Cuoi Ki 1 Mon Van 9 Huyen Cu Chi 2022

Đề thi văn cuối kì 1 lớp 9 huyện Củ Chi năm học 2022 2023

0
Dự án tốt nghiệp FPT Polytechnic ngành Digital Marketing

Dự án tốt nghiệp FPT Polytechnic ngành Digital Marketing

0

Hành chính Đại Việt thời Lê sơ

21/12/2025

CHÀO MỪNG BẠN ĐẾN VỚI CỔNG THÔNG TIN ĐIỆN TỬ TRƯỜNG THPT PHÙ CỪ

21/12/2025

Viêm trợt hang vị dạ dày biến chứng thành ung thư được không?

21/12/2025
Xoilac TV trực tiếp bóng đá Socolive trực tiếp
Tài Liệu Học Tập

Copyright © 2022 Tài Liệu Học Tập.

Chuyên Mục

  • Đề Thi
  • Lớp 12
  • Lớp 11
  • Lớp 10
  • Lớp 9
  • Lớp 8
  • Lớp 7
  • Lớp 6
  • Lớp 5
  • Lớp 4
  • Lớp 3
  • Mẹo Hay
  • Tin tức
  • Liên Hệ

Tham Gia Group Tài Liệu Học Tập

No Result
View All Result
  • Đề Thi
  • Lớp 12
    • Lịch Sử Lớp 12
    • Địa Lí Lớp 12
    • Ngữ Văn Lớp 12
    • GD KTPL Lớp 12
    • Toán Lớp 12
    • Tiếng Anh Lớp 12
    • Hóa Học Lớp 12
    • Sinh Học Lớp 12
    • Vật Lí Lớp 12
  • Lớp 11
    • Toán Lớp 11
    • Ngữ Văn Lớp 11
    • Tiếng Anh Lớp 11
    • Hóa Học Lớp 11
    • Sinh Học Lớp 11
    • Vật Lí Lớp 11
    • Lịch Sử Lớp 11
    • Địa Lí Lớp 11
    • GDCD Lớp 11
  • Lớp 10
    • Toán Lớp 10
    • Ngữ Văn Lớp 10
    • Tiếng Anh Lớp 10
    • Hóa Học Lớp 10
    • Sinh Học Lớp 10
    • Vật Lí Lớp 10
    • Lịch Sử Lớp 10
    • Địa Lí Lớp 10
    • GDKTPL Lớp 10
    • Công nghệ lớp 10
    • Tin Học Lớp 10
  • Lớp 9
    • Toán Lớp 9
    • Ngữ Văn Lớp 9
    • Tiếng Anh Lớp 9
    • Lịch sử và địa lý lớp 9
    • Khoa Học Tự Nhiên Lớp 9
    • GDCD Lớp 9
  • Lớp 8
    • Toán Lớp 8
    • Ngữ Văn Lớp 8
    • Tiếng Anh Lớp 8
    • Lịch sử và địa lý lớp 8
    • Khoa Học Tự Nhiên Lớp 8
    • GDCD 8
  • Lớp 7
    • Toán Lớp 7
    • Văn Lớp 7
    • Tiếng Anh Lớp 7
    • Lịch Sử Và Địa Lí Lớp 7
    • Khoa Học Tự Nhiên Lớp 7
  • Lớp 6
    • Toán Lớp 6
    • Văn Lớp 6
    • Tiếng Anh lớp 6
    • Lịch Sử và Địa Lí Lớp 6
    • Khoa Học Tự Nhiên lớp 6
  • Lớp 5
    • Toán lớp 5
    • Tiếng Việt Lớp 5
    • Tiếng Anh Lớp 5
    • Lịch Sử và Địa Lí Lớp 5
  • Lớp 4
    • Toán lớp 4
    • Tiếng Việt Lớp 4
    • Tiếng Anh Lớp 4
    • Lịch Sử và Địa Lí Lớp 4
  • Lớp 3
    • Toán lớp 3
    • Tiếng Anh Lớp 3
    • Tiếng Việt Lớp 3
  • Mẹo Hay
  • Tin tức
  • Liên Hệ

Copyright © 2022 Tài Liệu Học Tập.