Tải về
I. PHẦN TRẮC NGHIỆM (35 câu - 7,0 điểm)
Tổng hợp đề thi học kì 1 lớp 10 tất cả các môn - Kết nối tri thức
Toán - Văn - Anh - Lí - Hóa - Sinh - Sử - Địa...
Đề bài
I. PHẦN TRẮC NGHIỆM (35 câu - 7,0 điểm).
Câu 1: Tập xác định của hàm số \(y = \frac{{x + 1}}{{x - 1}}\) là:
A. \(\mathbb{R}\backslash \left\{ { \pm 1} \right\}\).
B. \(\mathbb{R}\backslash \left\{ { - 1} \right\}\).
C. \(\mathbb{R}\backslash \left\{ 1 \right\}\).
D. \(\left( {1; + \infty } \right)\).
Câu 2: Cho hàm số \(f\left( x \right) = \left\{ \begin{array}{l}{x^2} + 3x + 1;khi{\rm{ }}x \le 1{\rm{ }}\\ - x + 2{\rm{ }};khi{\rm{ }}x > 1\end{array} \right.\). Tính \(f\left( { - 2} \right)\).
A. \( - 1\). B. \(4\). C. \( - 7\). D. \(0\).
Câu 3: Cho parabol \(\left( P \right)\) có phương trình \(y = 3{x^2} - 2x + 4\). Tìm trục đối xứng của parabol.
A. \(x = - \frac{2}{3}\). B. \(x = - \frac{1}{3}\). C. \(x = \frac{2}{3}\). D. \(x = \frac{1}{3}\).
Câu 4: Hàm số nào sau đây có đồ thị như hình bên?
A. \(y = - {x^2} + 2x - 3\). B. \(y = - {x^2} + 4x - 3\).
C. \(y = {x^2} - 4x + 3\). D. \(y = {x^2} - 2x - 3\).
Câu 5: Cho tam thức \(f\left( x \right) = a{x^2} + bx + c{\rm{ }}\left( {a \ne 0} \right),\) \(\Delta = {b^2} - 4ac\). Ta có \(f\left( x \right) \le 0\) với \(\forall x \in \mathbb{R}\)khi và chỉ khi:
A. \(\left\{ \begin{array}{l}a < 0\\\Delta \le 0\end{array} \right.\).
B. \(\left\{ \begin{array}{l}a \le 0\\\Delta < 0\end{array} \right.\).
C. \(\left\{ \begin{array}{l}a < 0\\\Delta \ge 0\end{array} \right.\).
D. \(\left\{ \begin{array}{l}a > 0\\\Delta \le 0\end{array} \right.\).
Câu 6: Tìm tất cả các giá trị của tham số m để phương trình \({x^2} + mx + 4 = 0\) có nghiệm
A. \( - 4 \le m \le 4\).
B. \(m \le - 4\;\;hay\;\;m \ge 4\).
C. \(m \le - 2\;\;hay\;\;m \ge 2\).
D. \( - 2 \le m \le 2\).
Câu 7: Số nghiệm nguyên dương của phương trình \(\sqrt {x - 1} = x - 3\) là
A. \(0\). B. \(1\). B. \(2\). D. \(3\).
Câu 8: Tổng tất cả các nghiệm của phương trình: \(\sqrt {{x^2} + 3x - 2} = \sqrt {1 + x} \) là
A. \(3\). B. \( - 3\). C. \( - 2\). D. \(1\).
Câu 9: Cho đường thẳng \(\left( d \right):3x + 2y - 10 = 0\). Véc tơ nào sau đây là véctơ chỉ phương của \(\left( d \right)\)?
A. \(\overrightarrow u = \left( {3\,;\,2} \right)\).
B. \(\overrightarrow u = \left( {3\,;\, - 2} \right)\).
C. \(\overrightarrow u = \left( {2\,;\, - 3} \right)\).
D. \(\overrightarrow u = \left( { - 2\,;\, - 3} \right)\).
Câu 10: Trong hệ trục \(Oxy\), đường thẳng \(d\) qua \(M\left( {1;1} \right)\) và song song với đường thẳng \(d':x + y - 1 = 0\) có phương trình là
A. \(x + y - 1 = 0\). B. \(x - y = 0\). C. \( - x + y - 1 = 0\). D. \(x + y - 2 = 0\).
Câu 11: Đường trung trực của đoạn \(AB\) với \(A\left( {1; - 4} \right)\) và \(B\left( {5;2} \right)\) có phương trình là:
A. \(2x + 3y - 3 = 0.\) B. \(3x + 2y + 1 = 0.\) C. \(3x - y + 4 = 0.\) D. \(x + y - 1 = 0.\)
Câu 12: Góc giữa hai đường thẳng \(a:\,\sqrt 3 x - y + 7 = 0\) và \(b:x - \sqrt 3 y - 1 = 0\)là:
A. \(30^\circ \). B. \(90^\circ \). C. \(60^\circ \). D. \(45^\circ \).
Câu 13: Khoảng cách từ giao điểm của hai đường thẳng \(x - 3y + 4 = 0\) và \(2x + 3y - 1 = 0\) đến đường thẳng \(\Delta :3x + y + 4 = 0\) bằng:
A. \(2\sqrt {10} \).
B. \(\frac{{3\sqrt {10} }}{5}\).
C. \(\frac{{\sqrt {10} }}{5}\).
D. \(2\).
Câu 14: Cho hai đường thẳng \(\;{d_1}:2x + 3y - 19 = 0\) và \(\;{d_2}:\left\{ {\begin{array}{*{20}{c}}{x = 22 + 2t}\\{y = 55 + 5t}\end{array}} \right.\). Tìm toạ độ giao điểm của hai đường thẳng đã cho.
A. \(\left( {2;5} \right).\)
B. \(\left( {10;25} \right).\)
C. \(\left( { - 1;7} \right).\)
D. \(\left( {5;2} \right).\)
Câu 15: Xác định tâm và bán kính của đường tròn \(\left( C \right):{\left( {x + 1} \right)^2} + {\left( {y - 2} \right)^2} = 9.\)
A. Tâm \(I\left( { - 1;2} \right),\) bán kính \(R = 3\).
B. Tâm \(I\left( { - 1;2} \right),\) bán kính \(R = 9\).
C. Tâm \(I\left( {1; - 2} \right),\) bán kính \(R = 3\).
D. Tâm \(I\left( {1; - 2} \right),\) bán kính \(R = 9\).
Câu 16: Trong mặt phẳng \(Oxy\), phương trình nào sau đây là phương trình của đường tròn?
A. \({x^2} + 2{y^2} - 4x - 8y + 1 = 0\).
B. \({x^2} + {y^2} - 4x + 6y - 12 = 0\).
C. \({x^2} + {y^2} - 2x - 8y + 20 = 0\).
D. \(4{x^2} + {y^2} - 10x - 6y - 2 = 0\).
Câu 17: Đường tròn \(\left( C \right)\) đi qua hai điểm \(A\left( {1;1} \right)\), \(B\left( {5;3} \right)\) và có tâm \(I\) thuộc trục hoành có phương trình là
A. \({\left( {x + 4} \right)^2} + {y^2} = 10\).
B. \({\left( {x - 4} \right)^2} + {y^2} = 10\).
C. \({\left( {x - 4} \right)^2} + {y^2} = \sqrt {10} \).
D. \({\left( {x + 4} \right)^2} + {y^2} = \sqrt {10} \).
Câu 18: Trong mặt phẳng tọa độ \(Oxy\), phương trình của đường tròn có tâm là gốc tọa độ \(O\) và tiếp xúc với đường thẳng \(\Delta \): \(x + y - 2 = 0\) là
A. \({x^2} + {y^2} = 2\).
B. \({x^2} + {y^2} = \sqrt 2 \).
C. \({\left( {x - 1} \right)^2} + {\left( {y - 1} \right)^2} = \sqrt 2 \).
D. \({\left( {x - 1} \right)^2} + {\left( {y - 1} \right)^2} = 2\).
Câu 19: Elip \(\left( E \right):\frac{{{x^2}}}{{25}} + \frac{{{y^2}}}{9} = 1\) có độ dài trục lớn bằng
A. \(5\). B. \(10\). C. \(25\). D. \(50\).
Câu 20: Tìm phương trình chính tắc của elip nếu nó đi qua điểm \(A\left( {2;\,\sqrt 3 } \right)\) và tỉ số của độ dài trục lớn với tiêu cự bằng \(\frac{2}{{\sqrt 3 }}\).
A. \(\frac{{{x^2}}}{{16}} + \frac{{{y^2}}}{4} = 1\).
B. \(\frac{{{x^2}}}{4} + \frac{{{y^2}}}{3} = 1\).
C. \(\frac{{{x^2}}}{3} + \frac{{{y^2}}}{4} = 1\).
D. \(\frac{{{x^2}}}{4} + \frac{{{y^2}}}{{16}} = 1\).
Câu 21: Một người có \(4\) cái quần khác nhau, \(6\) cái áo khác nhau, \(3\)chiếc cà vạt khác nhau. Để chọn một cái quần hoặc một cái áo hoặc một cái cà vạt thì số cách chọn khác nhau là:
A. \(13.\) B. \(72.\) C. \(12.\) D. \(30.\)
Câu 22: Các thành phố A, B, C, D được nối với nhau bởi các con đường như hình vẽ. Hỏi có bao nhiêu cách đi từ A đến D mà qua B và C chỉ một lần?
A. 9. B. 10. C. 18. D. 24.
Câu 23: Từ các chữ số \(1,{\rm{ }}5,{\rm{ }}6,{\rm{ }}7\) có thể lập được bao nhiêu chữ số tự nhiên có \(4\) chữ số?
A. \(324.\) B. \(256.\) C. \(248.\) D. \(124.\)
Câu 24: Từ các chữ số \(1\); \(2\); \(3\); \(4\) có thể lập được bao nhiêu số tự nhiên có \(4\) chữ số đôi một khác nhau?
A. \(12\). B. \(24\). C. \(42\). D. \({4^4}\).
Câu 25: Cần chọn \(3\) người đi công tác từ một tổ có \(30\) người, khi đó số cách chọn là
A. \(A_{30}^3\). B. \({3^{30}}\). C. \(10\). D. \(C_{30}^3\).
Câu 26: Số véctơ khác \(\overrightarrow 0 \) có điểm đầu, điểm cuối là hai trong \(6\) đỉnh của lục giác \(ABCDEF\) là
A. \({P_6}.\) B. \(C_6^2.\) C. \(A_6^2.\) D. \(36.\)
Câu 27: Trong một dạ hội cuối năm ở một cơ quan, ban tổ chức phát ra 100 vé xổ số đánh số từ 1 đến 100 cho 100 người. Xổ số có 4 giải: 1 giải nhất, 1 giải nhì, 1 giải ba, 1 giải tư. Kết quả là việc công bố ai trúng giải nhất, giải nhì, giải ba, giải tư. Hỏi có bao nhiêu kết quả có thể nếu biết rằng người giữ vé số 47 trúng một trong bốn giải?
A. \(3766437.\) B. \(3764637.\) C. \(3764367.\) D. \(3764376.\)
Câu 28: Cho tập \(A = \left\{ {0,1,{\rm{ }}2,{\rm{ }} \ldots ,{\rm{ }}9} \right\}.\) Số các số tự nhiên có 5 chữ số đôi một khác nhau lấy ra từ tập \(A\) là?
A. \(30420.\) B. \(27162.\) C. \(27216.\) D. \(30240.\)
Câu 29: Số số hạng trong khai triển \({\left( {x + 2} \right)^{50}}\) là
A. \(49\). B. \(50\). C. \(52\). D. \(51\).
Câu 30: Gieo một đồng tiền liên tiếp \(3\) lần thì \(n(\Omega )\) là bao nhiêu?
A. \(4\). B. \(6\). C. \(8\). D. \(16\).
Câu 31: Rút ra một lá bài từ bộ bài \(52\) lá. Xác suất để được lá bích là:
A. \(\frac{1}{{13}}\) B. \(\frac{1}{4}\) C. \(\frac{{12}}{{13}}\) D. \(\frac{3}{4}\)
Câu 32: Cho \(A\) và \(\overline A \) là hai biến cố đối nhau. Chọn câu đúng.
A. \(P\left( A \right) = 1 + P\left( {\overline A } \right)\)
B. \(P\left( A \right) = P\left( {\overline A } \right)\)
C. \(P\left( A \right) = 1 - P\left( {\overline A } \right)\)
D. \(P\left( A \right) + P\left( {\overline A } \right) = 0\)
Câu 33: Gieo hai con súc sắc. Xác suất để tổng số chấm trên hai mặt bằng \(11\) là:
A. \(\frac{1}{{18}}\)
B. \(\frac{1}{6}\)
C. \(\frac{1}{8}\)
D. \(\frac{2}{{25}}\)
Câu 34: Một lô hàng gồm \(1000\) sản phẩm, trong đó có \(50\) phế phẩm. Lấy ngẫu nhiên từ lô hàng đó \(1\) sản phẩm. Xác suất để lấy được sản phẩm tốt là:
A. \(0,94\).
B. \(0,96\).
C. \(0,95\).
D. \(0,97\).
Câu 35: Một đội gồm \(5\) nam và \(8\) nữ. Lập một nhóm gồm 4 người hát tốp ca, tính xác suất để trong 4 người được chọn có ít nhất \(3\) nữ.
A. \(\frac{{70}}{{143}}.\)
B. \(\frac{{73}}{{143}}.\)
C. \(\frac{{56}}{{143}}.\)
D. \(\frac{{87}}{{143}}.\)
II. TỰ LUẬN (04 câu – 3,0 điểm)
Câu 36: Một chiếc cổng hình parabol bao gồm một cửa chính hình chữ nhật ở giữa và hai cánh cửa phụ hai bên như hình vẽ. Biết chiều cao cổng parabol là 4m còn kích thước cửa ở giữa là 3m x 4m. Hãy tính khoảng cách giữa hai điểm \(A\) và \(B\). (xem hình vẽ bên dưới)
Câu 37: Trong mặt phẳng Oxy, cho tam giác \(ABC\) cân, cạnh đáy \(BC:\) \(x + 3y + 1 = 0,\) cạnh bên \(AB:\) \(x - y + 5 = 0;\) đường thẳng chứa \(AC\) đi qua \(M\left( { - 4; - 1} \right).\) Tìm tọa độ đỉnh \(C.\)
Câu 38: Trong mặt phẳng tọa độ \(Oxy,\) cho đường tròn \(\left( C \right):\,\,\,{\left( {x - 1} \right)^2} + {\left( {y - 2} \right)^2} = 4\) và các đường thẳng \({d_1}:mx + y - m - 1 = 0,\) \({d_2}:x - my + m - 1 = 0.\) Tìm các giá trị của tham số m để mỗi đường thẳng \({d_1},{d_2}\) cắt \(\left( C \right)\)tại 2 điểm phân biệt sao cho 4 điểm đó lập thành 1 tứ giác có diện tích lớn nhất. Khi đó hãy tính tổng của tất cả các giá trị tham số m.
Câu 39: Tìm hệ số có giá trị lớn nhất khi khai triển \(P\left( x \right) = {\left( {1 + 2{x^2}} \right)^{12}}\)thành đa thức.
---------- HẾT ----------
Lời giải
HƯỚNG DẪN GIẢI CHI TIẾT
THỰC HIỆN: BAN CHYÊN MÔN LOIGIAIHAY.COM
I. PHẦN TRẮC NGHIỆM (35 câu - 7,0 điểm).

Câu 1: Tập xác định của hàm số \(y = \frac{{x + 1}}{{x - 1}}\) là:
A. \(\mathbb{R}\backslash \left\{ { \pm 1} \right\}\).
B. \(\mathbb{R}\backslash \left\{ { - 1} \right\}\).
C. \(\mathbb{R}\backslash \left\{ 1 \right\}\).
D. \(\left( {1; + \infty } \right)\).
Phương pháp
- Phân thức xác định khi mẫu thức khác 0
Lời giải
Điều kiện xác định: \(x - 1 \ne 0 \Leftrightarrow x \ne 1\)
Vậy tập xác định của hàm số \(y = \frac{{x + 1}}{{x - 1}}\) là \(D = \mathbb{R}\backslash \left\{ 1 \right\}\)
Chọn C
Câu 2: Cho hàm số \(f\left( x \right) = \left\{ \begin{array}{l}{x^2} + 3x + 1;khi{\rm{ }}x \le 1{\rm{ }}\\ - x + 2{\rm{ }};khi{\rm{ }}x > 1\end{array} \right.\). Tính \(f\left( { - 2} \right)\).
A. \( - 1\). B. \(4\). C. \( - 7\). D. \(0\).
Phương pháp
- Thay \(x = - 2\) vào hàm số đã cho
Lời giải
\(f\left( x \right) = \left\{ \begin{array}{l}{x^2} + 3x + 1;khi{\rm{ }}x \le 1{\rm{ }}\\ - x + 2{\rm{ }};khi{\rm{ }}x > 1\end{array} \right.\)
\( \Rightarrow f\left( { - 2} \right) = {\left( { - 2} \right)^2} + 3.\left( { - 2} \right) + 1 = - 1\).
Chọn A
Câu 3: Cho parabol \(\left( P \right)\) có phương trình \(y = 3{x^2} - 2x + 4\). Tìm trục đối xứng của parabol.
A. \(x = - \frac{2}{3}\). B. \(x = - \frac{1}{3}\). C. \(x = \frac{2}{3}\). D. \(x = \frac{1}{3}\).
Phương pháp
- Trục đối xứng của parabol : \(x = - \frac{b}{{2a}}\)
Lời giải
+ Có \(a = 3\); \(b = - 2\); \(c = 4\).
+ Trục đối xứng của parabol là \(x = \frac{{ - b}}{{2a}}\)\( = \frac{1}{3}\).
Chọn D
Câu 4: Hàm số nào sau đây có đồ thị như hình bên?

A. \(y = - {x^2} + 2x - 3\). B. \(y = - {x^2} + 4x - 3\).
C. \(y = {x^2} - 4x + 3\). D. \(y = {x^2} - 2x - 3\).
Phương pháp
Dựa vào hình dạng của Parabol
Lời giải
Dựa vào đồ thị suy ra: \(a < 0\) và hoành độ đỉnh là 2.
\(y = - {x^2} + 4x - 3 \Rightarrow a = - 1;\,I\left( {2;1} \right)\)
Chọn B
Câu 5: Cho tam thức \(f\left( x \right) = a{x^2} + bx + c{\rm{ }}\left( {a \ne 0} \right),\) \(\Delta = {b^2} - 4ac\). Ta có \(f\left( x \right) \le 0\) với \(\forall x \in \mathbb{R}\)khi và chỉ khi:
A. \(\left\{ \begin{array}{l}a < 0\\\Delta \le 0\end{array} \right.\).
B. \(\left\{ \begin{array}{l}a \le 0\\\Delta < 0\end{array} \right.\).
C. \(\left\{ \begin{array}{l}a < 0\\\Delta \ge 0\end{array} \right.\).
D. \(\left\{ \begin{array}{l}a > 0\\\Delta \le 0\end{array} \right.\).
Phương pháp
Áp dụng định lý về dấu của tam thức bậc hai
Lời giải
Áp dụng định lý về dấu của tam thức bậc hai ta có: \(f\left( x \right) \le 0\) với \(\forall x \in \mathbb{R}\)khi và chỉ khi \(\left\{ \begin{array}{l}a < 0\\\Delta \le 0\end{array} \right.\)
Chọn A
Câu 6: Tìm tất cả các giá trị của tham số m để phương trình \({x^2} + mx + 4 = 0\) có nghiệm
A. \( - 4 \le m \le 4\).
B. \(m \le - 4\;\;hay\;\;m \ge 4\).
C. \(m \le - 2\;\;hay\;\;m \ge 2\).
D. \( - 2 \le m \le 2\).
Phương pháp
Phương trình bậc hai có nghiệm khi và chỉ khi \(\Delta \ge 0\)
Lời giải
Phương trình \({x^2} + mx + 4 = 0\) có nghiệm \( \Leftrightarrow \Delta \ge 0\)\( \Leftrightarrow {m^2} - 16 \ge 0\)\( \Leftrightarrow m \le - 4\;\;hay\;\;m \ge 4\)
Chọn B
Câu 7: Số nghiệm nguyên dương của phương trình \(\sqrt {x - 1} = x - 3\) là
A. \(0\). B. \(1\). B. \(2\). D. \(3\).
Phương pháp
Bình phương hai vế của phương trình
Lời giải
\(\sqrt {x - 1} = x - 3 \Leftrightarrow \left\{ \begin{array}{l}x \ge 3\\x - 1 = {\left( {x - 3} \right)^2}\end{array} \right. \Leftrightarrow \left\{ \begin{array}{l}x \ge 3\\{x^2} - 7x + 10 = 0\end{array} \right. \Leftrightarrow \left\{ \begin{array}{l}x \ge 3\\\left[ \begin{array}{l}x = 2\\x = 5\end{array} \right.\end{array} \right. \Rightarrow x = 5\)
Đối chiếu điều kiện suy ra phương trình có một nghiệm \(x = 4\).
Chọn B
Câu 8: Tổng tất cả các nghiệm của phương trình: \(\sqrt {{x^2} + 3x - 2} = \sqrt {1 + x} \) là
A. \(3\). B. \( - 3\). C. \( - 2\). D. \(1\).
Phương pháp
Bình phương hai vế của phương trình
Lời giải
\(\sqrt {{x^2} + 3x - 2} = \sqrt {1 + x} \)\( \Leftrightarrow \left\{ \begin{array}{l}1 + x \ge 0\\{x^2} + 3x - 2 = 1 + x\end{array} \right.\)\( \Leftrightarrow \left\{ \begin{array}{l}x \ge - 1\\{x^2} + 2x - 3 = 0\end{array} \right. \Leftrightarrow x = 1\).
Chọn D
Câu 9: Cho đường thẳng \(\left( d \right):3x + 2y - 10 = 0\). Véc tơ nào sau đây là véctơ chỉ phương của \(\left( d \right)\)?
A. \(\overrightarrow u = \left( {3\,;\,2} \right)\).
B. \(\overrightarrow u = \left( {3\,;\, - 2} \right)\).
C. \(\overrightarrow u = \left( {2\,;\, - 3} \right)\).
D. \(\overrightarrow u = \left( { - 2\,;\, - 3} \right)\).
Phương pháp
Tìm vecto pháp tuyến sau đó suy ra vecto chỉ phương
Lời giải
Đường thẳng \(\left( d \right)\) có một véctơ pháp tuyến là \(\overrightarrow n = \left( {3\,;\,2} \right)\) nên \(\left( d \right)\) có một véctơ chỉ phương là \(\overrightarrow u = \left( {2\,;\, - 3} \right)\).
Chọn C
Câu 10: Trong hệ trục \(Oxy\), đường thẳng \(d\) qua \(M\left( {1;1} \right)\) và song song với đường thẳng \(d':x + y - 1 = 0\) có phương trình là
A. \(x + y - 1 = 0\). B. \(x - y = 0\). C. \( - x + y - 1 = 0\). D. \(x + y - 2 = 0\).
Phương pháp
Tìm vecto pháp tuyến sau đó viết phương trình đường thẳng d
Lời giải
Do đường thẳng \(d\) song song với đường thẳng \(d':x + y - 1 = 0\) nên đường thẳng \(d\) nhận véc tơ \(\overrightarrow n = \left( {1;1} \right)\) làm véc tơ pháp tuyến.
Khi đó đường thẳng \(d\) qua \(M\left( {1;1} \right)\) và nhận véc tơ \(\overrightarrow n = \left( {1;1} \right)\) làm véc tơ pháp tuyến có phương trình là \(x + y - 2 = 0\).
Chọn D
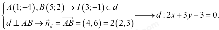
Câu 11: Đường trung trực của đoạn \(AB\) với \(A\left( {1; - 4} \right)\) và \(B\left( {5;2} \right)\) có phương trình là:
A. \(2x + 3y - 3 = 0.\)
B. \(3x + 2y + 1 = 0.\)
C. \(3x - y + 4 = 0.\)
D. \(x + y - 1 = 0.\)
Phương pháp
Sử dụng công thức trung điểm để tìm trung điểm của đoạn thẳng AB, vecto pháp tuyến của đường trung trực của đoạn thẳng AB chính là vecto AB.
Lời giải
Gọi I là trung điểm của AB và \(d\) là trung trực đoạn AB. Ta có

Chọn A
Câu 12: Góc giữa hai đường thẳng \(a:\,\sqrt 3 x - y + 7 = 0\) và \(b:x - \sqrt 3 y - 1 = 0\)là:
A. \(30^\circ \). B. \(90^\circ \). C. \(60^\circ \). D. \(45^\circ \).
Phương pháp
Sử dụng công thức tính góc giữa hai đường thẳng: \(\cos \left( {a,b} \right) = \frac{{\overrightarrow {{n_1}} .\overrightarrow {{n_2}} }}{{\left| {\overrightarrow {{n_1}} } \right|.\left| {\overrightarrow {{n_2}} } \right|}}\)
Lời giải
Đường thẳng \(a\) có vectơ pháp tuyến là: \(\overrightarrow {{n_1}} = \left( {\sqrt 3 ;\, - 1} \right)\);
Đường thẳng \(b\) có vectơ pháp tuyến là: \(\overrightarrow {{n_2}} = \left( {1;\, - \sqrt 3 } \right)\).
Áp dụng công thức tính góc giữa hai đường thẳng có:
\(\cos \left( {a,b} \right) = \frac{{\overrightarrow {{n_1}} .\overrightarrow {{n_2}} }}{{\left| {\overrightarrow {{n_1}} } \right|.\left| {\overrightarrow {{n_2}} } \right|}} = \frac{{1.\sqrt 3 + \left( { - 1} \right)\left( { - \sqrt 3 } \right)}}{{2.2}} = \frac{{\sqrt 3 }}{2}\). Suy ra góc giữa hai đường thẳng bằng \(30^\circ \).
Chọn A
Câu 13: Khoảng cách từ giao điểm của hai đường thẳng \(x - 3y + 4 = 0\) và \(2x + 3y - 1 = 0\) đến đường thẳng \(\Delta :3x + y + 4 = 0\) bằng:
A. \(2\sqrt {10} \).
B. \(\frac{{3\sqrt {10} }}{5}\).
C. \(\frac{{\sqrt {10} }}{5}\).
D. \(2\).
Phương Pháp
Lấy một điểm bất kì thuộc đường thẳng thứ nhất rồi tính khoảng cách từ điểm bất kì đó đến đường thẳng thứ hai.
Lời giải
\(\left\{ \begin{array}{l}x - 3y + 4 = 0\\2x + 3y - 1 = 0\end{array} \right. \Leftrightarrow \left\{ \begin{array}{l}x = - 1\\y = 1\end{array} \right. \to A\left( { - 1;1} \right) \to d\left( {A;\Delta } \right) = \frac{{\left| { - 3 + 1 + 4} \right|}}{{\sqrt {9 + 1} }} = \frac{2}{{\sqrt {10} }}.\)
Chọn C
Câu 14: Cho hai đường thẳng \(\;{d_1}:2x + 3y - 19 = 0\) và \(\;{d_2}:\left\{ {\begin{array}{*{20}{c}}{x = 22 + 2t}\\{y = 55 + 5t}\end{array}} \right.\). Tìm toạ độ giao điểm của hai đường thẳng đã cho.
A. \(\left( {2;5} \right).\)
B. \(\left( {10;25} \right).\)
C. \(\left( { - 1;7} \right).\)
D. \(\left( {5;2} \right).\)
Phương pháp
Tọa độ giao điểm của hai đường thẳng là nghiệm của cả hai phương trình đường thẳng đó
Lời giải

Chọn A
Câu 15: Xác định tâm và bán kính của đường tròn \(\left( C \right):{\left( {x + 1} \right)^2} + {\left( {y - 2} \right)^2} = 9.\)
A. Tâm \(I\left( { - 1;2} \right),\) bán kính \(R = 3\).
B. Tâm \(I\left( { - 1;2} \right),\) bán kính \(R = 9\).
C. Tâm \(I\left( {1; - 2} \right),\) bán kính \(R = 3\).
D. Tâm \(I\left( {1; - 2} \right),\) bán kính \(R = 9\).
Phương pháp
Phương trình đường tròn (O) có tâm I(a,b) và bán kính R là : \({(x - a)^2} + {(y - b)^2} = {R^2}\)
Lời giải
Tâm và bán kính của đường tròn \(\left( C \right):{\left( {x + 1} \right)^2} + {\left( {y - 2} \right)^2} = 9.\) là \(I\left( { - 1;2} \right),\) bán kính \(R = 3\).
Chọn A
Câu 16: Trong mặt phẳng \(Oxy\), phương trình nào sau đây là phương trình của đường tròn?
A. \({x^2} + 2{y^2} - 4x - 8y + 1 = 0\). B. \({x^2} + {y^2} - 4x + 6y - 12 = 0\).
C. \({x^2} + {y^2} - 2x - 8y + 20 = 0\). D. \(4{x^2} + {y^2} - 10x - 6y - 2 = 0\).
Phương pháp
Phương trình đường tròn (O) có tâm I(a,b) và bán kính R là : \({(x - a)^2} + {(y - b)^2} = {R^2}\)
Lời giải
Để là phương trình đường tròn thì điều kiện cần là hệ số của \({x^2}\) và \({y^2}\) phải bằng nhau nên loại được đáp án A và D.
Ta có: \({x^2} + {y^2} - 2x - 8y + 20 = 0 \Leftrightarrow {\left( {x - 1} \right)^2} + {\left( {y - 4} \right)^2} + 3 = 0\) vô lý.
Ta có:\({x^2} + {y^2} - 4x + 6y - 12 = 0 \Leftrightarrow {\left( {x - 2} \right)^2} + {\left( {y + 3} \right)^2} = 25\) là phương trình đường tròn tâm \(I\left( {2; - 3} \right)\), bán kính \(R = 5\).
Chọn B
Câu 17: Đường tròn \(\left( C \right)\) đi qua hai điểm \(A\left( {1;1} \right)\), \(B\left( {5;3} \right)\) và có tâm \(I\) thuộc trục hoành có phương trình là
A. \({\left( {x + 4} \right)^2} + {y^2} = 10\).
B. \({\left( {x - 4} \right)^2} + {y^2} = 10\).
C. \({\left( {x - 4} \right)^2} + {y^2} = \sqrt {10} \).
D. \({\left( {x + 4} \right)^2} + {y^2} = \sqrt {10} \).
Phương pháp
Phương trình đường tròn (O) có tâm I(a,b) và bán kính R là : \({(x - a)^2} + {(y - b)^2} = {R^2}\)
Lời giải
Gọi \(I\left( {x;0} \right) \in Ox\); \(I{A^2} = I{B^2}\) \( \Leftrightarrow {\left( {1 - x} \right)^2} + {1^2} = {\left( {5 - x} \right)^2} + {3^2}\) \( \Leftrightarrow {x^2} - 2x + 1 + 1 = {x^2} - 10x + 25 + 9\) \( \Leftrightarrow x = 4\). Vậy tâm đường tròn là \(I\left( {4;0} \right)\) và bán kính \(R = IA = \sqrt {{{\left( {1 - 4} \right)}^2} + {1^2}} = \sqrt {10} \)
Phương trình đường tròn \(\left( C \right)\) có dạng \({\left( {x - 4} \right)^2} + {y^2} = 10\).
Chọn B
Câu 18: Trong mặt phẳng tọa độ \(Oxy\), phương trình của đường tròn có tâm là gốc tọa độ \(O\) và tiếp xúc với đường thẳng \(\Delta \): \(x + y - 2 = 0\) là
A. \({x^2} + {y^2} = 2\).
B. \({x^2} + {y^2} = \sqrt 2 \).
C. \({\left( {x - 1} \right)^2} + {\left( {y - 1} \right)^2} = \sqrt 2 \).
D. \({\left( {x - 1} \right)^2} + {\left( {y - 1} \right)^2} = 2\).
Phương pháp
Phương trình đường tròn (O) có tâm I(a,b) và bán kính R là : \({(x - a)^2} + {(y - b)^2} = {R^2}\)
Lời giải
Đường tròn \(\left( C \right)\) có tâm \(O\), bán kính \(R\) tiếp xúc với \(\Delta \) nên có:
\(R = d\left( {O\,;\,\Delta } \right) = \frac{{\left| { - 2} \right|}}{{\sqrt 2 }} = \sqrt 2 \).
Phương trình đường tròn \(\left( C \right)\): \({x^2} + {y^2} = 2\).
Chọn A
Câu 19: Elip \(\left( E \right):\frac{{{x^2}}}{{25}} + \frac{{{y^2}}}{9} = 1\) có độ dài trục lớn bằng:
A. \(5\). B. \(10\). C. \(25\). D. \(50\).
Phương pháp
Độ dài trục lớp của Elip \(\left( E \right):\frac{{{x^2}}}{{{a^2}}} + \frac{{{y^2}}}{{{b^2}}} = 1\) là \({A_1}{A_2} = 2a.\)
Lời giải
Gọi phương trình của Elip là \(\frac{{{x^2}}}{{{a^2}}} + \frac{{{y^2}}}{{{b^2}}} = 1,\) có độ dài trục lớn \({A_1}{A_2} = 2a.\)
Xét
Chọn B
Câu 20: Tìm phương trình chính tắc của elip nếu nó đi qua điểm \(A\left( {2;\,\sqrt 3 } \right)\) và tỉ số của độ dài trục lớn với tiêu cự bằng \(\frac{2}{{\sqrt 3 }}\).
A. \(\frac{{{x^2}}}{{16}} + \frac{{{y^2}}}{4} = 1\).
B.\(\frac{{{x^2}}}{4} + \frac{{{y^2}}}{3} = 1\).
C. \(\frac{{{x^2}}}{3} + \frac{{{y^2}}}{4} = 1\).
D.\(\frac{{{x^2}}}{4} + \frac{{{y^2}}}{{16}} = 1\).
Phương pháp
Phương trình Elip \(\left( E \right):\frac{{{x^2}}}{{{a^2}}} + \frac{{{y^2}}}{{{b^2}}} = 1\)
Lời giải
Gọi phương trình chính tắc của Elip là \(\left( E \right):\frac{{{x^2}}}{{{a^2}}} + \frac{{{y^2}}}{{{b^2}}} = 1,\) với \(a > b > 0.\)
Elip đi qua điểm \(A\left( {2;\sqrt 3 } \right)\) suy ra \(\frac{{{2^2}}}{{{a^2}}} + \frac{{{{\left( {\sqrt 3 } \right)}^2}}}{{{b^2}}} = 1 \Leftrightarrow \frac{4}{{{a^2}}} + \frac{3}{{{b^2}}} = 1\,\,\,\,\,\,\,\,\,\,\,\,\,\,\,\left( 1 \right).\)
Tỉ số của độ dài trục lớn với tiêu cự bằng \(\frac{2}{{\sqrt 3 }}\) suy ra \(\frac{{2a}}{{2c}} = \frac{2}{{\sqrt 3 }} \Leftrightarrow {c^2} = \frac{3}{4}{a^2}.\)
Kết hợp với điều kiện \({b^2} = {a^2} - {c^2},\) ta được \({b^2} = {a^2} - \frac{3}{4}{a^2} = \frac{{{a^2}}}{4} \Leftrightarrow {a^2} = 4{b^2}\,\,\,\,\,\,\,\,\,\,\left( 2 \right).\)
Từ \(\left( 1 \right),\,\,\left( 2 \right)\) suy ra \(\left\{ \begin{array}{l}\frac{4}{{{a^2}}} + \frac{3}{{{b^2}}} = 1\\{a^2} = 4{b^2}\end{array} \right. \Leftrightarrow \left\{ \begin{array}{l}\frac{4}{{4{b^2}}} + \frac{3}{{{b^2}}} = 1\\{a^2} = 4{b^2}\end{array} \right. \Leftrightarrow \left\{ \begin{array}{l}\frac{4}{{{b^2}}} = 1\\{a^2} = 4{b^2}\end{array} \right. \Leftrightarrow \left\{ \begin{array}{l}{a^2} = 16\\{b^2} = 4\end{array} \right..\)
Vậy phương trình cần tìm là \(\left( E \right):\frac{{{x^2}}}{{16}} + \frac{{{y^2}}}{4} = 1.\)
Chọn A
Câu 21: Một người có \(4\) cái quần khác nhau, \(6\) cái áo khác nhau, \(3\)chiếc cà vạt khác nhau. Để chọn một cái quần hoặc một cái áo hoặc một cái cà vạt thì số cách chọn khác nhau là:
A. \(13.\) B. \(72.\) C. \(12.\) D. \(30.\)
Phương pháp
Áp dụng quy tắc cộng
Lời giải.
\( \bullet \) Nếu chọn một cái quần thì sẽ có \(4\) cách.
\( \bullet \) Nếu chọn một cái áo thì sẽ có \(6\) cách.
\( \bullet \) Nếu chọn một cái cà vạt thì sẽ có \(3\) cách.
Theo qui tắc cộng, ta có \(4 + 6 + 3 = 13\) cách chọn.
Chọn A
Câu 22: Các thành phố A, B, C, D được nối với nhau bởi các con đường như hình vẽ. Hỏi có bao nhiêu cách đi từ A đến D mà qua B và C chỉ một lần?

A. 9. B. 10. C. 18. D. 24.
Phương pháp
Áp dụng quy tắc nhân
Lời giải.
\( \bullet \) Từ có \(4\) cách.
\( \bullet \) Từ có \(2\) cách.
\( \bullet \) Từ có \(2\) cách.
Vậy theo qui tắc nhân ta có \(4 \times 2 \times 3 = 24\) cách.
Chọn D
Câu 23: Từ các chữ số \(1,{\rm{ }}5,{\rm{ }}6,{\rm{ }}7\) có thể lập được bao nhiêu chữ số tự nhiên có \(4\) chữ số?
A. \(324.\) B. \(256.\) C. \(248.\) D. \(124.\)
Phương pháp
Áp dụng quy tắc cộng và quy tắc nhân
Lời giải.
Gọi số cần tìm có dạng \(\overline {abcd} \) với \(\left( {a,b,c,d} \right) \in A = \left\{ {1,{\rm{ }}5,{\rm{ }}6,{\rm{ }}7} \right\}.\)
Vì số cần tìm có \(4\) chữ số không nhất thiết khác nhau nên:
\(a\) được chọn từ tập \(A\) nên có \(4\) cách chọn.
\(b\) được chọn từ tập \(A\) nên có \(4\) cách chọn.
\(c\) được chọn từ tập \(A\) nên có \(4\) cách chọn.
\(d\) được chọn từ tập \(A\) nên có \(4\) cách chọn.
Như vậy, ta có \(4 \times 4 \times 4 \times 4 = 256\) số cần tìm.
Chọn B
Câu 24: Từ các chữ số \(1\); \(2\); \(3\); \(4\) có thể lập được bao nhiêu số tự nhiên có \(4\) chữ số đôi một khác nhau?
A. \(12\). B. \(24\). C. \(42\). D. \({4^4}\).
Phương pháp
Áp dụng công thức hoán vị
Lời giải
Mỗi số tự nhiên có \(4\) chữ số đôi một khác nhau được tạo thành từ các chữ số \(1\); \(2\); \(3\); \(4\) là một hoán vị của \(4\) phần tử. Vậy số các số cần tìm là: \(4! = 24\) số.
Chọn B
Câu 25: Cần chọn \(3\) người đi công tác từ một tổ có \(30\) người, khi đó số cách chọn là
A. \(A_{30}^3\). B. \({3^{30}}\). C. \(10\). D. \(C_{30}^3\).
Phương pháp
Áp dụng công thức tổ hợp
Lời giải
Số cách chọn \(3\) người bất kì trong \(30\) là: \(C_{30}^3\).
Chọn D
Câu 26: Số véctơ khác \(\overrightarrow 0 \) có điểm đầu, điểm cuối là hai trong \(6\) đỉnh của lục giác \(ABCDEF\) là
A. \({P_6}.\) B. \(C_6^2.\) C. \(A_6^2.\) D. \(36.\)
Phương pháp
Áp dụng công thức chỉnh hợp
Lời giải
Số véc-tơ khác \(\overrightarrow 0 \) có điểm đầu, điểm cuối là hai trong \(6\) đỉnh của lục giác \(ABCDEF\) là\(A_6^2\).
Chọn C
Câu 27: Trong một dạ hội cuối năm ở một cơ quan, ban tổ chức phát ra 100 vé xổ số đánh số từ 1 đến 100 cho 100 người. Xổ số có 4 giải: 1 giải nhất, 1 giải nhì, 1 giải ba, 1 giải tư. Kết quả là việc công bố ai trúng giải nhất, giải nhì, giải ba, giải tư. Hỏi có bao nhiêu kết quả có thể nếu biết rằng người giữ vé số 47 trúng một trong bốn giải?
A. \(3766437.\) B. \(3764637.\) C. \(3764367.\) D. \(3764376.\)
Phương pháp
Áp dụng công thức chỉnh hợp
Lời giải
Nếu người giữ vé số 47 trúng một trong bốn giải thì:
\( \bullet \) Người giữ vé số 47 có 4 cách chọn giải.
\( \bullet \) Ba giải còn lại ứng với một chỉnh hợp chấp 3 của 99 phần tử, do đó ta có \(A_{99}^3 = 941094\)cách.
Vậy số kết quả bằng \(4 \times A_{99}^3 = 4 \times 941094 = 3764376\) kết quả.
Chọn D
Câu 28: Cho tập \(A = \left\{ {0,1,{\rm{ }}2,{\rm{ }} \ldots ,{\rm{ }}9} \right\}.\) Số các số tự nhiên có 5 chữ số đôi một khác nhau lấy ra từ tập \(A\) là?
A. \(30420.\) B. \(27162.\) C. \(27216.\) D. \(30240.\)
Phương pháp
Áp dụng công thức chỉnh hợp
Lời giải.
Gọi số cần tìm là \(\overline {abcde} ,\,a \ne 0\).
\( \bullet \) Chọn \(a\) có 9 cách.
\( \bullet \) Chọn \(b,\,c,\,d,\,e\) từ 9 số còn lại có \(A_9^4 = 3024\)cách.
Vậy có \(9 \times 3024 = 27216\).
Chọn C
Câu 29: Số số hạng trong khai triển \({\left( {x + 2} \right)^{50}}\) là
A. \(49\). B. \(50\). C. \(52\). D. \(51\).
Phương pháp
Sử dụng công thức khai triển nhị thức Newton
Lời giải
Số số hạng trong khai triển là: \(n + 1 = 50 + 1 = 51\).
Chọn D
Câu 30: Gieo một đồng tiền liên tiếp \(3\) lần thì \(n(\Omega )\) là bao nhiêu?
A. \(4\). B. \(6\). C. \(8\). D. \(16\).
Phương pháp
Công thức tính xác suất
Lời giải
\(n(\Omega ) = 2.2.2 = 8\).
Chọn C
Câu 31: Rút ra một lá bài từ bộ bài \(52\) lá. Xác suất để được lá bích là:
A. \(\frac{1}{{13}}\) B. \(\frac{1}{4}\) C. \(\frac{{12}}{{13}}\) D. \(\frac{3}{4}\)
Phương pháp
Công thức tính xác suất
Lời giải
Số phần tử không gian mẫu:\(n\left( \Omega \right) = 52\)
Số phần tử của biến cố xuất hiện lá bích: \(n\left( A \right) = 13\)
Suy ra \(P\left( A \right) = \frac{{n\left( A \right)}}{{n\left( \Omega \right)}} = \frac{{13}}{{52}} = \frac{1}{4}\).
Chọn B
Câu 32: Cho \(A\) và \(\overline A \) là hai biến cố đối nhau. Chọn câu đúng.
A. \(P\left( A \right) = 1 + P\left( {\overline A } \right)\).
B. \(P\left( A \right) = P\left( {\overline A } \right)\).
C. \(P\left( A \right) = 1 - P\left( {\overline A } \right)\).
D. \(P\left( A \right) + P\left( {\overline A } \right) = 0\).
Phương pháp
Biến cố đối của biến cố A.
Lời giải
Theo tính chất xác suất ta có \(P\left( A \right) = 1 - P\left( {\overline A } \right)\)
Chọn C
Câu 33: Gieo hai con súc sắc. Xác suất để tổng số chấm trên hai mặt bằng \(11\) là:
A. \(\frac{1}{{18}}\)
B. \(\frac{1}{6}\)
C. \(\frac{1}{8}\)
D. \(\frac{2}{{25}}\)
Phương pháp
Công thức tính xác suất
Lời giải
Số phần tử không gian mẫu:\(n\left( \Omega \right) = 6.6 = 36\)
Biến cố tổng hai mặt là \(11\): \(A = \left\{ {\left( {5;6} \right);\left( {6;5} \right)} \right\}\) nên \(n\left( A \right) = 2\).
Suy ra \(P\left( A \right) = \frac{{n\left( A \right)}}{{n\left( \Omega \right)}} = \frac{2}{{36}} = \frac{1}{{18}}\).
Chọn A
Câu 34: Một lô hàng gồm \(1000\) sản phẩm, trong đó có \(50\) phế phẩm. Lấy ngẫu nhiên từ lô hàng đó \(1\) sản phẩm. Xác suất để lấy được sản phẩm tốt là:
A. \(0,94\). B. \(0,96\). C. \(0,95\). D. \(0,97\).
Phương pháp
Công thức tính xác suất
Lời giải
Gọi \(A\) là biến cố: “lấy được \(1\) sản phẩm tốt.“
- Không gian mẫu: \(\left| \Omega \right| = C_{1000}^1 = 1000\).
- \(n\left( A \right) = C_{950}^1 = 950\).
\( \Rightarrow \) \(P\left( A \right) = \frac{{n\left( A \right)}}{{\left| \Omega \right|}} = \frac{{950}}{{1000}} = 0,95\).
Chọn C
Câu 35: Một đội gồm \(5\) nam và \(8\) nữ. Lập một nhóm gồm 4 người hát tốp ca, tính xác suất để trong 4 người được chọn có ít nhất \(3\) nữ.
A. \(\frac{{70}}{{143}}.\) B. \(\frac{{73}}{{143}}.\) C. \(\frac{{56}}{{143}}.\) D. \(\frac{{87}}{{143}}.\)
Phương pháp
Công thức tính xác suất
Lời giải.
Không gian mẫu là chọn tùy ý \(4\) người từ \(13\) người.
Suy ra số phần tử của không gian mẫu là \(n\left( \Omega \right) = C_{13}^4 = 715\).
Gọi \(A\) là biến cố \(''\)4 người được chọn có ít nhất 3 nữ\(''\). Ta có hai trường hợp thuận lợi cho biến cố \(A\) như sau:
● TH1: Chọn 3 nữ và 1 nam, có \(C_8^3C_5^1\) cách.
● TH2: Chọn cả 4 nữ, có \(C_8^4\) cách.
Suy ra số phần tử của biến cố \(A\) là \(n\left( A \right) = C_8^3C_5^1 + C_8^4 = 350\).
Vậy xác suất cần tính \(P\left( A \right) = \frac{{n\left( A \right)}}{{n\left( \Omega \right)}} = \frac{{350}}{{715}} = \frac{{70}}{{143}}\).
Chọn A
II. TỰ LUẬN (04 câu – 3,0 điểm)
Câu 36: Một chiếc cổng hình parabol bao gồm một cửa chính hình chữ nhật ở giữa và hai cánh cửa phụ hai bên như hình vẽ. Biết chiều cao cổng parabol là 4m còn kích thước cửa ở giữa là 3m x 4m. Hãy tính khoảng cách giữa hai điểm \(A\) và \(B\). (xem hình vẽ bên dưới)

Phương pháp
Sử dụng công thức lập phương trình Parabol.
Lời giải
Gắn hệ trục tọa độ \(Oxy\) như hình vẽ, chiếc cổng là 1 phần của parabol \(\left( P \right)\): \(y = a{x^2} + bx + c\) với \(a < 0\).
Do parabol \(\left( P \right)\) đối xứng qua trục tung nên có trục đối xứng \(x = 0 \Rightarrow - \frac{b}{{2a}} = 0 \Leftrightarrow b = 0\).
Chiều cao của cổng parabol là 4m nên \(G\left( {0;4} \right)\) \( \Rightarrow c = 4\).
\( \Rightarrow \left( P \right)\): \(y = a{x^2} + 4\)
Lại có, kích thước cửa ở giữa là 3m x 4m nên \(E\left( {2;3} \right),\;F\left( { - 2;3} \right)\) \( \Rightarrow 3 = 4a = 4 \Leftrightarrow a = - \frac{1}{4}\).
Vậy \(\left( P \right)\): \(y = - \frac{1}{4}{x^2} + 4\).
Ta có \( - \frac{1}{4}{x^2} + 4 = 0 \Leftrightarrow \left[ \begin{array}{l}x = 4\\x = - 4\end{array} \right.\) nên \(A\left( { - 4;0} \right)\), \(B\left( {4;0} \right)\) hay \(AB = 8\)(m).
Câu 37: Trong mặt phẳng Oxy, cho tam giác \(ABC\) cân, cạnh đáy \(BC:\) \(x + 3y + 1 = 0,\) cạnh bên \(AB:\) \(x - y + 5 = 0;\) đường thẳng chứa \(AC\) đi qua \(M\left( { - 4; - 1} \right).\) Tìm tọa độ đỉnh \(C.\)
Phương pháp
Viết phương trình đường thẳng các đường đi qua điểm C.
Lời giải
Đường thẳng d đi qua \(M\left( { - 4; - 1} \right)\) và \(d//BC\) nên d có VTPT \(\overrightarrow {{n_d}} = \overrightarrow {{n_{BC}}} = \left( {1;3} \right)\). Đường thẳng d có phương trình: \(1\left( {x + 4} \right) + 3\left( {y + 1} \right) = 0 \Leftrightarrow x + 3y + 7 = 0\).
Gọi \(M' = d \cap AB.\) Tọa độ M’ là nghiệm của hệ
phương trình:
\(\left\{ \begin{array}{l}x + 3y + 7 = 0\\x - y + 5 = 0\end{array} \right. \Leftrightarrow \left\{ \begin{array}{l}x = - \frac{{11}}{2}\\y = - \frac{1}{2}\end{array} \right. \Rightarrow M'\left( { - \frac{{11}}{2}; - \frac{1}{2}} \right).\)
I là trung điểm của MM’. Suy ra: \(I\left( { - \frac{{19}}{4}; - \frac{3}{4}} \right).\)
Đường cao AH đi qua I và vuông góc với BC nên có VTPT \(\overrightarrow {{n_{AH}}} = \overrightarrow {{u_{BC}}} = \left( {3; - 1} \right).\) AH có phương trình: \(3\left( {x + \frac{{19}}{4}} \right) - 1\left( {y + \frac{3}{4}} \right) = 0 \Leftrightarrow 6x - 2y + 27 = 0.\)
Cách 1. \(H = AH \cap BC \Rightarrow \)tọa độ H là nghiệm của hệ phương trình: \(\left\{ \begin{array}{l}6x - 2y + 27 = 0\\x + 3y + 1 = 0\end{array} \right. \Leftrightarrow \left\{ \begin{array}{l}x = - \frac{{83}}{{20}}\\y = \frac{{21}}{{20}}\end{array} \right. \Rightarrow H\left( { - \frac{{83}}{{20}};\frac{{21}}{{20}}} \right).\)
H là trung điểm của BC nên \(C\left( { - \frac{{43}}{{10}};\frac{{11}}{{10}}} \right).\)
Cách 2.
Ta có: \(A = AH \cap AB\). Tọa độ A là nghiệm của hệ phương trình: \(\left\{ \begin{array}{l}6x - 2y + 27 = 0\\x - y + 5 = 0\end{array} \right. \Leftrightarrow \left\{ \begin{array}{l}x = - \frac{{17}}{4}\\y = \frac{3}{4}\end{array} \right. \Rightarrow A\left( { - \frac{{17}}{4};\frac{3}{4}} \right).\)
AC đi qua M(- 4; - 1) và nhận \(\overrightarrow {AM} = \left( {\frac{1}{4}; - \frac{7}{4}} \right)\) làm VTCP, do đó AC có VTPT \(\overrightarrow {{n_{AC}}} = \left( {7;1} \right).\) AC có phương trình: \(7\left( {x + 4} \right) + 1\left( {y + 1} \right) = 0 \Leftrightarrow 7x + y + 29 = 0.\)
\(C = AC \cap BC \Rightarrow C\left( {\frac{{ - 43}}{{10}};\frac{{11}}{{10}}} \right).\)
Câu 38: Trong mặt phẳng tọa độ \(Oxy,\) cho đường tròn \(\left( C \right):\,\,\,{\left( {x - 1} \right)^2} + {\left( {y - 2} \right)^2} = 4\) và các đường thẳng \({d_1}:mx + y - m - 1 = 0,\) \({d_2}:x - my + m - 1 = 0.\) Tìm các giá trị của tham số m để mỗi đường thẳng \({d_1},{d_2}\) cắt \(\left( C \right)\)tại 2 điểm phân biệt sao cho 4 điểm đó lập thành 1 tứ giác có diện tích lớn nhất. Khi đó hãy tính tổng của tất cả các giá trị tham số m.
Phương pháp
Sử dụng công thức tính diện tích , khoảng cách .
Lời giải
Ta có \((C)\left\{ \begin{array}{l}I(1;2)\\R = 2\end{array} \right.\)
Ta dễ thấy đường thẳng \({d_1}\) và \({d_2}\) cắt nhau tại điểm \(M\left( {1;1} \right)\) cố định nằm trong đường tròn \(\left( C \right)\) và \({d_1} \bot {d_2}\). Gọi \(A,B\) là giao điểm của \({d_1}\) và \(\left( C \right)\), \(C,D\) là giao điểm của \({d_2}\) và \(\left( C \right)\). \(H,K\) lần lượt là hình chiếu của \(I\) trên \({d_1}\) và \({d_2}\)
Khi đó
\(\begin{array}{l}{S_{ABCD}} = \frac{1}{2}AB.CD = 2AH.CK = 2\sqrt {{R^2} - {{\left[ {d\left( {I,{d_1}} \right)} \right]}^2}} .\sqrt {{R^2} - {{\left[ {d\left( {I,{d_2}} \right)} \right]}^2}} \\{\rm{ }} = 2\sqrt {4 - \frac{1}{{{m^2} + 1}}} \sqrt {4 - \frac{{{m^2}}}{{{m^2} + 1}}} {\rm{ = 2}}\frac{{\sqrt {\left( {4{m^2} + 3} \right)\left( {3{m^2} + 4} \right)} }}{{{m^2} + 1}} \le \frac{{4{m^2} + 3 + 3{m^2} + 4}}{{{m^2} + 1}} = 7\end{array}\)
Do đó \(\max {S_{ABCD}} = 7\) khi \(m = \pm 1\). Khi đó tổng các giá trị của \(m\) bằng \(0.\)
Câu 39: Tìm hệ số có giá trị lớn nhất khi khai triển \(P\left( x \right) = {\left( {1 + 2{x^2}} \right)^{12}}\)thành đa thức.
Phương pháp
Sử dụng công thức khai triển nhị thức Newwton
Lời giải
Khai triển: \(P\left( x \right) = \sum\limits_{k = 0}^{12} {C_{12}^k{2^k}{x^{2k}}} = \sum\limits_{k = 0}^{12} {{a_k}{x^{2k}}} \) với \({a_k} = C_{12}^k{2^k}\).
\({a_{k + 1}} > {a_k}\)\( \Leftrightarrow \)\(C_{12}^{k + 1}{2^{k + 1}} > C_{12}^k{2^k}\) \( \Leftrightarrow \) \(\frac{2}{{k + 1}} > \frac{1}{{12 - k}} \Leftrightarrow k < \frac{{23}}{3} \Leftrightarrow k \le 7\).
Như vậy \({a_0} < {a_1} < {a_2} < ... < {a_8}\).
\({a_{k + 1}} < {a_k}\) \( \Leftrightarrow \)\(C_{12}^{k + 1}{2^{k + 1}} < C_{12}^k{2^k}\) \( \Leftrightarrow \) \(\frac{2}{{k + 1}} < \frac{1}{{12 - k}} \Leftrightarrow k > \frac{{23}}{3} \Leftrightarrow k \ge 8\).
Như vậy \({a_8} > {a_9} > {a_{10}} > ... > {a_{12}}\).
Vậy hệ số có giá trị lớn nhất là \({a_8} = C_{12}^8{2^8} = 126720\).
---------- HẾT ----------