Tải về
Tổng hợp đề thi học kì 1 lớp 11 tất cả các môn - Chân trời sáng tạo
Toán - Văn - Anh - Lí - Hóa - Sinh
Đề thi giữa học kì 2 Vật lí 11 Chân trời sáng tạo - Đề số 1
Đề bài
Câu 1 :
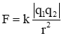
Công thức của định luật Culông là
-
A.
-
B.
-
C.
-
D.
Câu 2 :
Đồ thị diễn lực tương tác Culông giữa hai điện tích quan hệ với bình phương khoảng cách giữa hai điện tích là đường:
-
A.
hypebol.
-
B.
thẳng bậc nhất.
-
C.
parabol.
-
D.
elíp
Câu 3 :
Điện trường là:
-
A.
môi trường không khí quanh điện tích.
-
B.
môi trường chứa các điện tích.
-
C.
môi trường bao quanh điện tích, gắn với điện tích và tác dụng lực điện lên các điện tích khác đặt trong nó.
-
D.
môi trường dẫn điện.
Câu 4 :
Cường độ điện trường tại một điểm đặc trưng cho
-
A.
thể tích vùng có điện trường là lớn hay nhỏ.
-
B.
điện trường tại điểm đó về phương diện dự trữ năng lượng.
-
C.
tác dụng lực của điện trường lên điện tích tại điểm đó.
-
D.
tốc độ dịch chuyển điện tích tại điểm đó.
Câu 5 :
Hiệu điện thế giữa hai điểm M, N là UMN = 40 V. Chọn câu chắc chắn đúng:
-
A.
Điện thế ở M là 40 V
-
B.
Điện thế ở N bằng 0
-
C.
Điện thế ở M có giá trị dương, ở N có giá trị âm
-
D.
Điện thế ở M cao hơn điện thế ở N 40 V
Câu 6 :
Thả một ion dương cho chuyển động không vận tốc đầu từ một điểm bất kì trong một điện trường do hai điện tích điểm dương gây ra. Ion đó sẽ chuyển động
-
A.
dọc theo một đường sức điện.
-
B.
dọc theo một đường nối hai điện tích điểm.
-
C.
từ điểm có điện thế cao đến điểm có điện thế thấp.
-
D.
từ điểm có điện thế thấp đến điểm có điện thế cao.
Câu 7 :
Nếu điện tích dịch chuyển trong điện trường sao cho thế năng của nó tăng thì công của của lực điện trường
-
A.
âm.
-
B.
dương.
-
C.
bằng không.
-
D.
chưa đủ dữ kiện để xác định.
Câu 8 :
Nếu chiều dài đường đi của điện tích trong điện trường tăng 2 lần thì công của lực điện trường
-
A.
tăng 2 lần.
-
B.
giảm 2 lần.
-
C.
không thay đổi.
-
D.
chưa đủ dữ kiện để xác định.
Câu 9 :
Điện thế là đại lượng đặc trưng cho riêng điện trường về
-
A.
phương diện tạo ra thế năng khi đặt tại đó một điện tích q.
-
B.
khả năng sinh công của vùng không gian có điện trường.
-
C.
khả năng sinh công tại một điểm.
-
D.
khả năng tác dụng lực tại tất cả các điểm trong không gian có điện trường.
Câu 10 :
Điện thế là đại lượng:
-
A.
là đại lượng đại số.
-
B.
là đại lượng vecto.
-
C.
luôn luôn dương.
-
D.
luôn luôn âm.
Câu 11 :
Fara là điện dung của một tụ điện mà
-
A.
giữa hai bản tụ có hiệu điện thế 1V thì nó tích được điện tích 1 C.
-
B.
giữa hai bản tụ có một hiệu điện thế không đổi thì nó được tích điện 1 C.
-
C.
giữa hai bản tụ có điện môi với hằng số điện môi bằng 1.
-
D.
khoảng cách giữa hai bản tụ là 1 mm.
Câu 12 :
Cặp số liệu ghi trên vỏ tụ điện cho biết điều gì?
-
A.
Giá trị nhỏ nhất của điện dung và hiệu điện thế đặt vào hai cực của tụ.
-
B.
Phân biệt được tên của các loại tụ điện.
-
C.
Điện dung của tụ và giới hạn của hiệu điện thế đặt vào hai cực của tụ.
-
D.
Năng lượng của điện trường trong tụ điện.
Điện trường là môi trường bao quanh điện tích, gắn với điện tích và tác dụng lực điện lên các điện tích khác đặt trong nó.
Xung quanh một hệ hai điện tích điểm đặt gần nhau chỉ có điện trường do một điện tích gây ra.
Điện trường tác dụng lực điện lên các điện tích khác đặt trong nó.
Véctơ cường độ điện trường gây bởi điện tích điểm Q có chiều: hướng ra xa Q nếu Q dương, hướng về phía Q nếu Q âm.
Câu 1 :
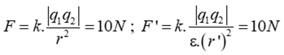
Hai điện tích điểm đặt trong không khí cách nhau 12 cm, lực tương tác giữa chúng bằng 10 N. Đặt chúng vào trong dầu cách nhau 8 cm thì lực tương tác giữa chúng vẫn bằng 10 N. Hằng số điện môi của dầu là bao nhiêu?
Câu 2 :
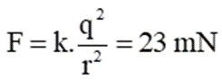
Cho hai quả cầu nhỏ trung hòa điện cách nhau 40 cm. Giả sử bằng cách nào đó có 4.1012 electron từ quả cầu này di chuyển sang quả cầu kia. Khi đó chúng hút đầy nhau? Tính độ lớn lực tương tác đó
Câu 3 :
Hai điện tích điểm bằng nhau đặt trong chân không cách nhau một khoảng r1 = 2 cm. Lực đẩy giữa chúng là F1 = 1,6.10-4 N. Để lực tương tác giữa hai điện tích đó bằng F2 = 2,5.10-4 N. Tính khoảng cách giữa hai điện tích khi đó
Câu 4 :
Nếu đặt vào hai đầu tụ một hiệu điện thế 5 V thì tụ tích được một điện lượng 2 μC. Nếu đặt vào hai đầu tụ một hiệu điện thế 10 V thì tụ tích được một điện lượng
Lời giải và đáp án
Câu 1 :
Công thức của định luật Culông là
-
A.
-
B.
-
C.
-
D.
Đáp án : C

Chọn C.
Câu 2 :
Đồ thị diễn lực tương tác Culông giữa hai điện tích quan hệ với bình phương khoảng cách giữa hai điện tích là đường:
-
A.
hypebol.
-
B.
thẳng bậc nhất.
-
C.
parabol.
-
D.
elíp
Đáp án : A

Chọn A.
Câu 3 :
Điện trường là:
-
A.
môi trường không khí quanh điện tích.
-
B.
môi trường chứa các điện tích.
-
C.
môi trường bao quanh điện tích, gắn với điện tích và tác dụng lực điện lên các điện tích khác đặt trong nó.
-
D.
môi trường dẫn điện.
Đáp án : C
Điện trường là môi trường bao quanh điện tích, gắn với điện tích và tác dụng lực điện lên các điện tích khác đặt trong nó.
Đáp án: C
Câu 4 :
Cường độ điện trường tại một điểm đặc trưng cho
-
A.
thể tích vùng có điện trường là lớn hay nhỏ.
-
B.
điện trường tại điểm đó về phương diện dự trữ năng lượng.
-
C.
tác dụng lực của điện trường lên điện tích tại điểm đó.
-
D.
tốc độ dịch chuyển điện tích tại điểm đó.
Đáp án : C
Cường độ điện trường tại một điểm đặc trưng cho tác dụng lực của điện trường lên điện tích tại điểm đó.
Đáp án: C
Câu 5 :
Hiệu điện thế giữa hai điểm M, N là UMN = 40 V. Chọn câu chắc chắn đúng:
-
A.
Điện thế ở M là 40 V
-
B.
Điện thế ở N bằng 0
-
C.
Điện thế ở M có giá trị dương, ở N có giá trị âm
-
D.
Điện thế ở M cao hơn điện thế ở N 40 V
Đáp án : D
Chọn đáp án D
Ta có \({U_{MN}} = {V_M} - {V_N} = 40V\)
⇨ Điện thế tại M cao hơn điện thế tại N 40 V.
Câu 6 :
Thả một ion dương cho chuyển động không vận tốc đầu từ một điểm bất kì trong một điện trường do hai điện tích điểm dương gây ra. Ion đó sẽ chuyển động
-
A.
dọc theo một đường sức điện.
-
B.
dọc theo một đường nối hai điện tích điểm.
-
C.
từ điểm có điện thế cao đến điểm có điện thế thấp.
-
D.
từ điểm có điện thế thấp đến điểm có điện thế cao.
Đáp án : C
Chọn đáp án C
Cường độ điện trường hướng từ nơi có điện thế cao đến nơi có điện thế thấp. Ion dương nên lực điện cùng chiều với cường độ điện trường.
⇨ Ion dương sẽ chuyển động từ điểm có điện thế cao đến điểm có điện thế thấp.
Câu 7 :
Nếu điện tích dịch chuyển trong điện trường sao cho thế năng của nó tăng thì công của của lực điện trường
-
A.
âm.
-
B.
dương.
-
C.
bằng không.
-
D.
chưa đủ dữ kiện để xác định.
Đáp án : A
Ta có: AMN = WM - WN, thế năng tăng nên WN > WM nên AMN < 0
Nên điện tích dịch chuyển trong điện trường sao cho thế năng của nó tăng thì công của của lực điện trường âm.
Đáp án: A.
Câu 8 :
Nếu chiều dài đường đi của điện tích trong điện trường tăng 2 lần thì công của lực điện trường
-
A.
tăng 2 lần.
-
B.
giảm 2 lần.
-
C.
không thay đổi.
-
D.
chưa đủ dữ kiện để xác định.
Đáp án : D
A = Fscosα . Nếu chỉ thay đổi chiều dài đường đi của điện tích trong điện trường thì chưa đủ dữ kiện để xác định công của lực điện trường vì điện trường còn phụ thuộc vào lực và góc.
Đáp án: D.
Câu 9 :
Điện thế là đại lượng đặc trưng cho riêng điện trường về
-
A.
phương diện tạo ra thế năng khi đặt tại đó một điện tích q.
-
B.
khả năng sinh công của vùng không gian có điện trường.
-
C.
khả năng sinh công tại một điểm.
-
D.
khả năng tác dụng lực tại tất cả các điểm trong không gian có điện trường.
Đáp án : A
Điện thế tại một điểm trong điện trường là đại lượng đặc trưng riêng cho điện trường về khả năng tạo ra thế năng khi đặt tại đó một điện tích q.
Đáp án A.
Câu 10 :
Điện thế là đại lượng:
-
A.
là đại lượng đại số.
-
B.
là đại lượng vecto.
-
C.
luôn luôn dương.
-
D.
luôn luôn âm.
Đáp án : A
A – đúng
B – sai
C, D – sai vì điện thế có âm, có thể dương, có thể bằng 0.
Đáp án A.
Câu 11 :
Fara là điện dung của một tụ điện mà
-
A.
giữa hai bản tụ có hiệu điện thế 1V thì nó tích được điện tích 1 C.
-
B.
giữa hai bản tụ có một hiệu điện thế không đổi thì nó được tích điện 1 C.
-
C.
giữa hai bản tụ có điện môi với hằng số điện môi bằng 1.
-
D.
khoảng cách giữa hai bản tụ là 1 mm.
Đáp án : A
Fara là điện dung của một tụ điện mà giữa hai bản tụ có hiệu điện thế 1V thì nó tích được điện tích 1 C.
Đáp án A
Câu 12 :
Cặp số liệu ghi trên vỏ tụ điện cho biết điều gì?
-
A.
Giá trị nhỏ nhất của điện dung và hiệu điện thế đặt vào hai cực của tụ.
-
B.
Phân biệt được tên của các loại tụ điện.
-
C.
Điện dung của tụ và giới hạn của hiệu điện thế đặt vào hai cực của tụ.
-
D.
Năng lượng của điện trường trong tụ điện.
Đáp án : C
Cặp số liệu ghi trên vỏ tụ điện cho biết điện dung của tụ và giới hạn của hiệu điện thế đặt vào hai cực của tụ.
Đáp án C.
Điện trường là môi trường bao quanh điện tích, gắn với điện tích và tác dụng lực điện lên các điện tích khác đặt trong nó.
Vận dụng lí thuyết điện trường
Điện trường là môi trường bao quanh điện tích, gắn với điện tích và tác dụng lực điện lên các điện tích khác đặt trong nó.
Xung quanh một hệ hai điện tích điểm đặt gần nhau chỉ có điện trường do một điện tích gây ra.
Vận dụng lí thuyết điện trường
Xung quanh một hệ hai điện tích điểm đặt gần nhau có điện trường do hai điện tích gây ra
Điện trường tác dụng lực điện lên các điện tích khác đặt trong nó.
Vận dụng lí thuyết điện trường
Điện trường tác dụng lực điện lên các điện tích khác đặt trong nó.
Véctơ cường độ điện trường gây bởi điện tích điểm Q có chiều: hướng ra xa Q nếu Q dương, hướng về phía Q nếu Q âm.
Vận dụng lí thuyết cường độ điện trường
Véctơ cường độ điện trường gây bởi điện tích điểm Q có chiều: hướng ra xa Q nếu Q dương, hướng về phía Q nếu Q âm.
Câu 1 :
Hai điện tích điểm đặt trong không khí cách nhau 12 cm, lực tương tác giữa chúng bằng 10 N. Đặt chúng vào trong dầu cách nhau 8 cm thì lực tương tác giữa chúng vẫn bằng 10 N. Hằng số điện môi của dầu là bao nhiêu?
Ta có :

Do đó r2 = ε.(r')2 ⇒ ε = 2,25 .
Câu 2 :
Cho hai quả cầu nhỏ trung hòa điện cách nhau 40 cm. Giả sử bằng cách nào đó có 4.1012 electron từ quả cầu này di chuyển sang quả cầu kia. Khi đó chúng hút đầy nhau? Tính độ lớn lực tương tác đó
Do có 4.1012 electron từ quả cầu này di chuyển sang quả cầu kia nên 2 quả cầu mang điện tích trái dấu và có |q1| = |q2| = 4.1012.1,6.10-19 = 6,4.10-7.
Khi đó 2 quả cầu hút nhau và 
Câu 3 :
Hai điện tích điểm bằng nhau đặt trong chân không cách nhau một khoảng r1 = 2 cm. Lực đẩy giữa chúng là F1 = 1,6.10-4 N. Để lực tương tác giữa hai điện tích đó bằng F2 = 2,5.10-4 N. Tính khoảng cách giữa hai điện tích khi đó
Độ lớn lực tương tác điện

Để F2 = 2,5.10-4N
⇒ 
Câu 4 :
Nếu đặt vào hai đầu tụ một hiệu điện thế 5 V thì tụ tích được một điện lượng 2 μC. Nếu đặt vào hai đầu tụ một hiệu điện thế 10 V thì tụ tích được một điện lượng
Từ biểu thức \(C = \frac{Q}{U}\)
Ta có \(\frac{{{U_1}}}{{{U_2}}} = \frac{{{Q_1}}}{{{Q_2}}} \Rightarrow {Q_2} = \frac{{{U_2}{Q_1}}}{{{U_1}}} = \frac{{{{10.2.10}^{ - 6}}}}{5}\) = 4.10-6 C = 4 μC.
Đề thi giữa học kì 2 Vật lí 11 Chân trời sáng tạo - Đề số 2
Đề thi giữa học kì 2 Vật lí 11 Chân trời sáng tạo - Đề số 2
Xem chi tiết
Đề thi giữa học kì 2 Vật lí 11 Chân trời sáng tạo - Đề số 3
Đề thi giữa học kì 2 Vật lí 11 Chân trời sáng tạo - Đề số 3
Xem chi tiết
Đề thi giữa học kì 2 Vật lí 11 Chân trời sáng tạo - Đề số 4
Đề thi giữa học kì 2 Vật lí 11 Chân trời sáng tạo - Đề số 4
Xem chi tiết
Đề thi giữa học kì 2 Vật lí 11 Chân trời sáng tạo - Đề số 5
Đề thi giữa học kì 2 Vật lí 11 Chân trời sáng tạo - Đề số 5
Xem chi tiết
Đề thi giữa học kì 2 Vật lí 11 Chân trời sáng tạo - Đề số 6
Đề thi giữa học kì 2 - Đề số 6
Xem chi tiết
Đề thi giữa học kì 2 Vật lí 11 Chân trời sáng tạo - Đề số 7
Đề thi giữa học kì 2 - Đề số 7
Xem chi tiết
>> 2K9 Học trực tuyến - Định hướng luyện thi TN THPT, ĐGNL, ĐGTD ngay từ lớp 11 (Xem ngay) cùng thầy cô giáo giỏi trên Tuyensinh247.com. Bứt phá điểm 9,10 chỉ sau 3 tháng, tiếp cận sớm các kì thi.
![]() |
![]() |
![]() |
![]() |
![]() |
![]() |
![]() |
![]() |







