Tải về
Tổng hợp đề thi học kì 1 lớp 11 tất cả các môn - Chân trời sáng tạo
Toán - Văn - Anh - Lí - Hóa - Sinh
Đề thi giữa học kì 2 Vật lí 11 Chân trời sáng tạo - Đề số 2
Đề bài
Câu 1 :
Véctơ cường độ điện trường tại mỗi điểm có chiều
-
A.
cùng chiều với lực điện tác dụng lên điện tích thử dương tại điểm đó.
-
B.
cùng chiều với lực điện tác dụng lên điện tích thử tại điểm đó.
-
C.
phụ thuộc độ lớn điện tích thử.
-
D.
phụ thuộc nhiệt độ của môi trường.
Câu 2 :
Trong các đơn vị sau, đơn vị của cường độ điện trường là:
-
A.
V.
-
B.
V.m.
-
C.
V/m.
-
D.
N
Câu 3 :
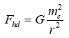
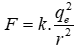
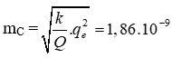
Hai quả cầu nhỏ giống nhau, mỗi vật thừa một electron. Tìm khối lượng mỗi quả cầu để lực tĩnh điện bằng lực hấp dẫn giữa chúng. Cho G = 6,67.10-11 m3/kg.s
-
A.
2,86.10-9 kg
-
B.
1,86.10-9 kg
-
C.
4,86.10-9 kg
-
D.
9,86.10-9 kg
Câu 4 :
Hai điện tích điểm bằng nhau được đặt trong nước ( ε = 81) cách nhau 3cm. Lực đẩy giữa chúng bằng 0,2.10-15 N. Hai điện tích đó là
-
A.
4,472.10-8 C.
-
B.
4,472.10-9 C.
-
C.
4,025.10-8 C.
-
D.
4,025.10-9 C.
Câu 5 :
Một hạt bụi nhỏ có khối lượng m = 0,1 mg, nằm lơ lửng trong điện trường giữa hai bản kim loại phẳng. Các đường sức điện có phương thẳng đứng và chiều hướng từ dưới lên trên. Hiệu điện thế giữa hai bản là 120 V. Khoảng cách giữa hai bản là 1 cm. Xác định điện tích của hạt bụi. Lấy g = 10 m/s2.
-
A.
8,3.10-11 C
-
B.
8,0.10-10 C
-
C.
3,8.10-11 C
-
D.
8,9.10-11 C
Câu 6 :
Một electron (-e = -1,6.10-19 C) bay từ điểm M đến điểm N trong một điện trường, giữa hai điểm có hiệu điện thế UMN = 100 V. Công mà lực điện sinh ra sẽ là:
-
A.
+1,6.10-19 J.
-
B.
-1,6.10-19 J.
-
C.
+1,6.10-17 J.
-
D.
-1,6.10-17 J.
Câu 7 :
Công của lực điện trường dịch chuyển một điện tích 5.10-6 C dọc theo chiều một đường sức trong một điện trường đều 1000 V/m trên quãng đường dài 0,5m là
-
A.
25.10-3 J.
-
B.
5.10-3 J.
-
C.
2,5.10-3 J.
-
D.
5.10-4 J.
Câu 8 :
Công của lực điện trường dịch chuyển một điện tích 5.10-6 C ngược chiều một đường sức trong một điện trường đều 1000 V/m trên quãng đường dài 0,5 m là
-
A.
-2,5.10-3 J.
-
B.
-5.10-3 J.
-
C.
2,5.10-3 J.
-
D.
5.10-3 J.
Câu 9 :
Hiệu điện thế giữa hai điểm:
-
A.
Đặc trưng cho khả năng sinh công của điện trường của điện tích q đứng yên.
-
B.
Đặc trưng cho khả năng tác tác dụng lực của điện trường của điện tích q đứng yên.
-
C.
Đặc trưng cho khả năng tạo lực của điện trường trong sự di chuyển của điện tích q từ điểm nọ đến điểm kia.
-
D.
Đặc trưng cho khả năng sinh công của điện trường trong sự di chuyển của điện tích q từ điểm nọ đến điểm kia.
Câu 10 :
Đơn vị của điện thế là vôn (V). 1V bằng
-
A.
1 J.C.
-
B.
1 J/C.
-
C.
1 N/C.
-
D.
1. J/N.
Câu 11 :
Tụ điện là
-
A.
hệ thống hai vật dẫn đặt cách nhau một khoảng đủ xa.
-
B.
hệ thống gồm hai vật đặt gần nhau và ngăn cách nhau bằng một lớp cách điện.
-
C.
hệ thống gồm hai vật dẫn đặt gần nhau và ngăn cách nhau bằng một lớp cách điện.
-
D.
hệ thống gồm hai vật dẫn đặt tiếp xúc với nhau và được bao bọc bằng điện môi.
Câu 12 :
Trường hợp nào sau đây ta không có một tụ điện?
-
A.
Giữa hai bản kim loại là sứ.
-
B.
Giữa hai bản kim loại là không khí.
-
C.
Giữa hai bản kim loại là nước tinh khiết.
-
D.
Giữa hai bản kim loại là dung dịch NaOH.
Cường độ điện trường tại một điểm đặc trưng cho tác dụng của lực điện trường tại điểm đó.
Đơn vị của cường độ điện trường là V/m.
Cường độ điện trường là đại lượng đặc trưng cho độ mạnh, yếu của điện trường tại một điểm.
Véctơ cường độ điện trường gây bởi điện tích điểm Q có chiều: hướng ra xa Q nếu Q âm, hướng về phía Q nếu Q dương.
Câu 1 :
Hai điện tích điểm q1 = +3 μC và q2 = -3 μC, đặt trong dầu ( ε = 2) cách nhau một khoảng r = 3 cm. Lực tương tác giữa hai điện tích đó là
Câu 2 :
Bộ tụ điện gồm ba tụ điện: C1 = 10 (μF), C2 = 15 (μF), C3 = 20 (μF) mắc song song với nhau. Điện dung của bộ tụ điện là bao nhiêu?
Câu 3 :
Tính công mà lực điện tác dụng lên một điện tích 5 μC sinh ra nó khi nó chuyển động từ điểm A đến điểm B. Biết UAB = 1000 V
Câu 4 :
Công của lực điện trường dịch chuyển một điện tích - 5 μC từ A đến B là - 5 mJ. Hiệu điện thế UAB có giá trị nào sau đây?
Lời giải và đáp án
Câu 1 :
Véctơ cường độ điện trường tại mỗi điểm có chiều
-
A.
cùng chiều với lực điện tác dụng lên điện tích thử dương tại điểm đó.
-
B.
cùng chiều với lực điện tác dụng lên điện tích thử tại điểm đó.
-
C.
phụ thuộc độ lớn điện tích thử.
-
D.
phụ thuộc nhiệt độ của môi trường.
Đáp án : A
Véctơ cường độ điện trường tại mỗi điểm có chiều cùng chiều với lực điện tác dụng lên điện tích thử dương tại điểm đó.
Đáp án: A
Câu 2 :
Trong các đơn vị sau, đơn vị của cường độ điện trường là:
-
A.
V.
-
B.
V.m.
-
C.
V/m.
-
D.
N
Đáp án : C
Đơn vị của cường độ điện trường là V/m
Đáp án: C
Câu 3 :
Hai quả cầu nhỏ giống nhau, mỗi vật thừa một electron. Tìm khối lượng mỗi quả cầu để lực tĩnh điện bằng lực hấp dẫn giữa chúng. Cho G = 6,67.10-11 m3/kg.s
-
A.
2,86.10-9 kg
-
B.
1,86.10-9 kg
-
C.
4,86.10-9 kg
-
D.
9,86.10-9 kg
Đáp án : B



Chọn B.
Câu 4 :
Hai điện tích điểm bằng nhau được đặt trong nước ( ε = 81) cách nhau 3cm. Lực đẩy giữa chúng bằng 0,2.10-15 N. Hai điện tích đó là
-
A.
4,472.10-8 C.
-
B.
4,472.10-9 C.
-
C.
4,025.10-8 C.
-
D.
4,025.10-9 C.
Đáp án : D

Do đó:

Chọn D.
Câu 5 :
Một hạt bụi nhỏ có khối lượng m = 0,1 mg, nằm lơ lửng trong điện trường giữa hai bản kim loại phẳng. Các đường sức điện có phương thẳng đứng và chiều hướng từ dưới lên trên. Hiệu điện thế giữa hai bản là 120 V. Khoảng cách giữa hai bản là 1 cm. Xác định điện tích của hạt bụi. Lấy g = 10 m/s2.
-
A.
8,3.10-11 C
-
B.
8,0.10-10 C
-
C.
3,8.10-11 C
-
D.
8,9.10-11 C
Đáp án : A
Chọn đáp án A
Hạt bụi nằm cân bằng, chịu tác dụng của trọng lực và lực điện. Vì trọng lực hướng xuống nên lực điện phải hướng lên. Mà cường độ điện trường hướng từ dưới lên trên nên điện tích q dương.
\(P = F \leftrightarrow mg = qE = q\frac{U}{d} \to q = \frac{{mgd}}{U} = 8,{3.10^{ - 11}}C\)
Câu 6 :
Một electron (-e = -1,6.10-19 C) bay từ điểm M đến điểm N trong một điện trường, giữa hai điểm có hiệu điện thế UMN = 100 V. Công mà lực điện sinh ra sẽ là:
-
A.
+1,6.10-19 J.
-
B.
-1,6.10-19 J.
-
C.
+1,6.10-17 J.
-
D.
-1,6.10-17 J.
Đáp án : D
Chọn đáp án D
Công mà lực điện sinh ra là \(A = qEd = qU = - 1,{6.10^{ - 19}}.100 = - 1,{6.10^{ - 17}}J\)
Câu 7 :
Công của lực điện trường dịch chuyển một điện tích 5.10-6 C dọc theo chiều một đường sức trong một điện trường đều 1000 V/m trên quãng đường dài 0,5m là
-
A.
25.10-3 J.
-
B.
5.10-3 J.
-
C.
2,5.10-3 J.
-
D.
5.10-4 J.
Đáp án : C
A = qEd = qEscosα = 5.10-6.1000.0,5.cos00 = 2,5.10-3 J.
Đáp án: C.
Câu 8 :
Công của lực điện trường dịch chuyển một điện tích 5.10-6 C ngược chiều một đường sức trong một điện trường đều 1000 V/m trên quãng đường dài 0,5 m là
-
A.
-2,5.10-3 J.
-
B.
-5.10-3 J.
-
C.
2,5.10-3 J.
-
D.
5.10-3 J.
Đáp án : A
A = qEd = qEscosα = 5.10-6.1000.0,5.cos1800 = -2,5.10-3 J.
Đáp án: A.
Câu 9 :
Hiệu điện thế giữa hai điểm:
-
A.
Đặc trưng cho khả năng sinh công của điện trường của điện tích q đứng yên.
-
B.
Đặc trưng cho khả năng tác tác dụng lực của điện trường của điện tích q đứng yên.
-
C.
Đặc trưng cho khả năng tạo lực của điện trường trong sự di chuyển của điện tích q từ điểm nọ đến điểm kia.
-
D.
Đặc trưng cho khả năng sinh công của điện trường trong sự di chuyển của điện tích q từ điểm nọ đến điểm kia.
Đáp án : D
Hiệu điện thế giữa hai điểm: đặc trưng cho khả năng sinh công của điện trường trong sự di chuyển của điện tích q từ điểm nọ đến điểm kia.
Đáp án D
Câu 10 :
Đơn vị của điện thế là vôn (V). 1V bằng
-
A.
1 J.C.
-
B.
1 J/C.
-
C.
1 N/C.
-
D.
1. J/N.
Đáp án : B
Đơn vị của điện thế là V, với \(1V = \frac{{1J}}{{1C}}\)
Đáp án B.
Câu 11 :
Tụ điện là
-
A.
hệ thống hai vật dẫn đặt cách nhau một khoảng đủ xa.
-
B.
hệ thống gồm hai vật đặt gần nhau và ngăn cách nhau bằng một lớp cách điện.
-
C.
hệ thống gồm hai vật dẫn đặt gần nhau và ngăn cách nhau bằng một lớp cách điện.
-
D.
hệ thống gồm hai vật dẫn đặt tiếp xúc với nhau và được bao bọc bằng điện môi.
Đáp án : C
Tụ điện là hệ thống gồm hai vật dẫn đặt gần nhau và ngăn cách nhau bằng một lớp cách điện.
Đáp án C.
Câu 12 :
Trường hợp nào sau đây ta không có một tụ điện?
-
A.
Giữa hai bản kim loại là sứ.
-
B.
Giữa hai bản kim loại là không khí.
-
C.
Giữa hai bản kim loại là nước tinh khiết.
-
D.
Giữa hai bản kim loại là dung dịch NaOH.
Đáp án : D
NaOH là chất dẫn điện, mà tụ điện là hệ thống gồm hai vật dẫn đặt gần nhau và ngăn cách nhau bằng một lớp cách điện.
Đáp án D.
Cường độ điện trường tại một điểm đặc trưng cho tác dụng của lực điện trường tại điểm đó.
Vận dụng lí thuyết về cường độ điện trường
Cường độ điện trường tại một điểm đặc trưng cho tác dụng của lực điện trường tại điểm đó.
Đơn vị của cường độ điện trường là V/m.
Đơn vị của cường độ điện trường là V/m.
Cường độ điện trường là đại lượng đặc trưng cho độ mạnh, yếu của điện trường tại một điểm.
Vận dụng lí thuyết cường độ điện trường
Cường độ điện trường là đại lượng đặc trưng cho độ mạnh, yếu của điện trường tại một điểm.
Véctơ cường độ điện trường gây bởi điện tích điểm Q có chiều: hướng ra xa Q nếu Q âm, hướng về phía Q nếu Q dương.
Vận dụng lí thuyết cường độ điện trường
Véctơ cường độ điện trường gây bởi điện tích điểm Q có chiều: hướng ra xa Q nếu Q dương, hướng về phía Q nếu Q âm.
Câu 1 :
Hai điện tích điểm q1 = +3 μC và q2 = -3 μC, đặt trong dầu ( ε = 2) cách nhau một khoảng r = 3 cm. Lực tương tác giữa hai điện tích đó là

Câu 2 :
Bộ tụ điện gồm ba tụ điện: C1 = 10 (μF), C2 = 15 (μF), C3 = 20 (μF) mắc song song với nhau. Điện dung của bộ tụ điện là bao nhiêu?
Cb = C1 + C2 + C3 = 45 μF
Câu 3 :
Tính công mà lực điện tác dụng lên một điện tích 5 μC sinh ra nó khi nó chuyển động từ điểm A đến điểm B. Biết UAB = 1000 V
Từ biểu thức:
\({U_{AB}} = \frac{{{A_{AB}}}}{q}\)⇒AAB=UAB.q=1000.5.10−6=5.10-3 J = 5mJ
Câu 4 :
Công của lực điện trường dịch chuyển một điện tích - 5 μC từ A đến B là - 5 mJ. Hiệu điện thế UAB có giá trị nào sau đây?
\({U_{AB}} = \frac{{{A_{AB}}}}{q} = \frac{{ - {{5.10}^{ - 3}}}}{{ - {{5.10}^{ - 6}}}} = 1000V\)
Đề thi giữa học kì 2 Vật lí 11 Chân trời sáng tạo - Đề số 3
Đề thi giữa học kì 2 Vật lí 11 Chân trời sáng tạo - Đề số 3
Xem chi tiết
Đề thi giữa học kì 2 Vật lí 11 Chân trời sáng tạo - Đề số 4
Đề thi giữa học kì 2 Vật lí 11 Chân trời sáng tạo - Đề số 4
Xem chi tiết
Đề thi giữa học kì 2 Vật lí 11 Chân trời sáng tạo - Đề số 5
Đề thi giữa học kì 2 Vật lí 11 Chân trời sáng tạo - Đề số 5
Xem chi tiết
Đề thi giữa học kì 2 Vật lí 11 Chân trời sáng tạo - Đề số 6
Đề thi giữa học kì 2 - Đề số 6
Xem chi tiết
Đề thi giữa học kì 2 Vật lí 11 Chân trời sáng tạo - Đề số 7
Đề thi giữa học kì 2 - Đề số 7
Xem chi tiết
Đề thi giữa học kì 2 Vật lí 11 Chân trời sáng tạo - Đề số 1
Đề thi giữa học kì 2 Vật lí 11 Chân trời sáng tạo - Đề số 1
Xem chi tiết
>> 2K9 Học trực tuyến - Định hướng luyện thi TN THPT, ĐGNL, ĐGTD ngay từ lớp 11 (Xem ngay) cùng thầy cô giáo giỏi trên Tuyensinh247.com. Bứt phá điểm 9,10 chỉ sau 3 tháng, tiếp cận sớm các kì thi.
![]() |
![]() |
![]() |
![]() |
![]() |
![]() |
![]() |
![]() |







