Tải về
Tổng hợp đề thi học kì 1 lớp 11 tất cả các môn - Kết nối tri thức
Toán - Văn - Anh - Lí - Hóa - Sinh
Đề thi giữa học kì 2 Vật lí 11 Kết nối tri thức - Đề số 3
Đề bài
Câu 1 :
Nếu tại một điểm có 2 điện trường gây bởi 2 điện tích điểm Q1 âm và Q2 dương thì hướng của cường độ điện trường tại điểm đó được xác định bằng
-
A.
hướng của véc tơ cường độ điện trường gây bởi điện tích dương.
-
B.
hướng của véc tơ cường độ điện trường gây bởi điện tích âm.
-
C.
hướng của tổng 2 véc tơ cường độ điện trường điện trường thành phần.
-
D.
hướng của véc tơ cường độ điện trường gây bởi điện tích ở gần điểm đang xét hơn.
Câu 2 :
Cho 2 điện tích điểm nằm ở 2 điểm A và B và có cùng độ lớn, cùng dấu. Cường độ điện trường tại một điểm trên đường trung trực của AB thì có phương
-
A.
trùng với đường nối của AB.
-
B.
trùng với đường trung trực của AB.
-
C.
tạo với đường nối AB góc 450.
-
D.
vuông góc với đường trung trực của AB.
Câu 3 :
Cho 2 điện tích điểm nằm ở 2 điểm A và B và có cùng độ lớn, cùng dấu. Điểm có điện trường tổng hợp bằng 0 là
-
A.
trung điểm của AB.
-
B.
tất cả các điểm trên trên đường trung trực của AB.
-
C.
các điểm tạo với điểm A và điểm B thành một tam giác đều.
-
D.
các điểm tạo với điểm A và điểm B thành một tam giác vuông cân.
Câu 4 :
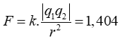
Hai điện tích điểm cách nhau một khoảng 2m đẩy nhau một lực 1,404 N. Tổng điện tích của hai vật bằng 5.10-5 C. Tính điện tích của mỗi vật:
-
A.
q1 = 2,6.10-5 C, q2 = 2,4.10-5 C.
-
B.
q1 = 1,6.10-5 C, q2 = 3,4.10-5 C.
-
C.
q1 = 4,6.10-5 C, q2 = 0,4.10-5 C.
-
D.
q1 = 3.10-5 C, q2 = 2.10-5 C.
Câu 5 :
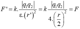
Hai điện tích điểm đặt cách nhau một khoảng r trong không khí thì hút nhau một lực F Đưa chúng vào trong dầu có hằng số điện môi ε = 4 chúng cách nhau một khoảng r’ = r/2 thì lực hút giữa chúng là:
-
A.
F
-
B.
F/2
-
C.
2F
-
D.
F/4
Câu 6 :
Trường hợp nào sau đây ta không có một tụ điện?
-
A.
Giữa hai bản kim loại là sứ.
-
B.
Giữa hai bản kim loại là không khí.
-
C.
Giữa hai bản kim loại là nước tinh khiết.
-
D.
Giữa hai bản kim loại là dung dịch NaOH.
Câu 7 :
Nếu hiệu điện thế giữa hai bản tụ tăng 4 lần thì điện dung của tụ
-
A.
tăng 2 lần.
-
B.
giảm 2 lần.
-
C.
tăng 4 lần.
-
D.
không đổi.
Câu 8 :
Biết điện thế tại điểm M trong điện trường là 20V. Electron có điện tích e = -1,6.10-19 C đặt tại điểm M có thế năng là:
-
A.
3,2.10-18 J.
-
B.
-3,2.10-18 J.
-
C.
1,6.1020 J.
-
D.
-1,6.1020 J.
Câu 9 :
Hai điểm trên một đường sức trong một điện trường đều cách nhau 0,5 m. Độ lớn cường độ điện trường là 1000 V/m. Hiệu điện thế giữa hai điểm đó là
-
A.
500 V.
-
B.
1000 V.
-
C.
2000 V.
-
D.
chưa đủ dữ kiện để xác định.
Câu 10 :
Công của lực điện trường dịch chuyển một điện tích 5.10-6 C dọc theo chiều một đường sức trong một điện trường đều 1000 V/m trên quãng đường dài 0,5m là
-
A.
25.10-3 J.
-
B.
5.10-3 J.
-
C.
2,5.10-3 J.
-
D.
5.10-4 J.
Câu 11 :
Công của lực điện trường dịch chuyển một điện tích 5.10-6 C ngược chiều một đường sức trong một điện trường đều 1000 V/m trên quãng đường dài 0,5 m là
-
A.
-2,5.10-3 J.
-
B.
-5.10-3 J.
-
C.
2,5.10-3 J.
-
D.
5.10-3 J.
Câu 12 :
Một điện tích q = 4.10-8 C di chuyển trong một điện trường đều có cường độ điện trường E = 100 V/m theo một đường gấp khúc ABC. Đoạn AB dài 20 cm và vectơ độ dời AB làm với các đường sức điện một góc 30°. Đoạn BC dài 40 cm và vectơ độ dời BC làm với các đường sức điện một góc 120°. Tính công của lực điện.
-
A.
0,108.10-6 J
-
B.
-0,108.10-6 J
-
C.
1,492.10-6 J
-
D.
-1,492.10-6 J
Qua mỗi điểm trong điện trường có một và chỉ một đường sức điện mà thôi
Đường sức điện là những đường có hướng. Hướng của đường sức điện tại một điểm là hướng của vectơ cường độ điện trường tại điểm đó.
Ở chỗ cường độ điện trường lớn thì các đường sức điện sẽ thưa, còn ở chỗ cường độ điện trường nhỏ thì các đường sức điện sẽ mau.
Đường sức điện của điện trường tĩnh điện là đường không khép kín. Nó đi ra điện tích dương và kết thúc ở điện tích âm.
Câu 1 :
Một electron chuyển động dọc theo đường sức của một điện trường đều. Cường độ điện trường E = 1000 V/m. Vận tốc ban đầu của electron là 3.105 m/s, khối lượng của elctron là 9,1.10-31kg. Tại lúc vận tốc bằng không thì nó đã đi được đoạn đường bao nhiêu, tính theo đơn vị mm)
Câu 2 :
Cho điện tích dịch chuyển giữa 2 điểm cố định trong một điện trường đều với cường độ điện trường 100 V/m thì công của lực điện trường là 50 mJ. Nếu cường độ điện trường là 200 V/m thì công của lực điện trường dịch chuyển điện tích giữa hai điểm đó là bao nhiêu?
Câu 3 :
Công của lực điện trường dịch chuyển một điện tích - 5μC ngược chiều một đường sức trong một điện trường đều 1000 V/m trên quãng đường dài 1 m là bao nhiêu?
Câu 4 :
Công của lực điện trường dịch chuyển một điện tích 10 mC song song với các đường sức trong một điện trường đều với quãng đường 10 cm là 1 J. Độ lớn cường độ điện trường đó là
Lời giải và đáp án
Câu 1 :
Nếu tại một điểm có 2 điện trường gây bởi 2 điện tích điểm Q1 âm và Q2 dương thì hướng của cường độ điện trường tại điểm đó được xác định bằng
-
A.
hướng của véc tơ cường độ điện trường gây bởi điện tích dương.
-
B.
hướng của véc tơ cường độ điện trường gây bởi điện tích âm.
-
C.
hướng của tổng 2 véc tơ cường độ điện trường điện trường thành phần.
-
D.
hướng của véc tơ cường độ điện trường gây bởi điện tích ở gần điểm đang xét hơn.
Đáp án : C
Nếu tại một điểm có 2 điện trường gây bởi 2 điện tích điểm Q1 âm và Q2 dương thì hướng của cường độ điện trường tại điểm đó được xác định bằng hướng của tổng 2 véc tơ cường độ điện trường điện trường thành phần.
Đáp án: C
Câu 2 :
Cho 2 điện tích điểm nằm ở 2 điểm A và B và có cùng độ lớn, cùng dấu. Cường độ điện trường tại một điểm trên đường trung trực của AB thì có phương
-
A.
trùng với đường nối của AB.
-
B.
trùng với đường trung trực của AB.
-
C.
tạo với đường nối AB góc 450.
-
D.
vuông góc với đường trung trực của AB.
Đáp án : B
Cho 2 điện tích điểm nằm ở 2 điểm A và B và có cùng độ lớn, cùng dấu. Cường độ điện trường tại một điểm trên đường trung trực của AB thì có phương trùng với đường trung trực của AB.
Đáp án: B
Câu 3 :
Cho 2 điện tích điểm nằm ở 2 điểm A và B và có cùng độ lớn, cùng dấu. Điểm có điện trường tổng hợp bằng 0 là
-
A.
trung điểm của AB.
-
B.
tất cả các điểm trên trên đường trung trực của AB.
-
C.
các điểm tạo với điểm A và điểm B thành một tam giác đều.
-
D.
các điểm tạo với điểm A và điểm B thành một tam giác vuông cân.
Đáp án : A
Cho 2 điện tích điểm nằm ở 2 điểm A và B và có cùng độ lớn, cùng dấu. Điểm có điện trường tổng hợp bằng 0 là trung điểm của AB.
Đáp án: A
Câu 4 :
Hai điện tích điểm cách nhau một khoảng 2m đẩy nhau một lực 1,404 N. Tổng điện tích của hai vật bằng 5.10-5 C. Tính điện tích của mỗi vật:
-
A.
q1 = 2,6.10-5 C, q2 = 2,4.10-5 C.
-
B.
q1 = 1,6.10-5 C, q2 = 3,4.10-5 C.
-
C.
q1 = 4,6.10-5 C, q2 = 0,4.10-5 C.
-
D.
q1 = 3.10-5 C, q2 = 2.10-5 C.
Đáp án : A
Ta có: q1 + q2 = 5.10-5 C.

Vì 2 điện tích đẩy nhau nên chúng cùng dấu suy ra q1q2 = 6,24.10-10
Khi đó q1, q2 là nghiệm của PT: q2 – 5.10-5q + 6,24.10-10 = 0
→ q1 = 2,6.10-5 C, q2 = 2,4.10-5 C.
Chọn A.
Câu 5 :
Hai điện tích điểm đặt cách nhau một khoảng r trong không khí thì hút nhau một lực F Đưa chúng vào trong dầu có hằng số điện môi ε = 4 chúng cách nhau một khoảng r’ = r/2 thì lực hút giữa chúng là:
-
A.
F
-
B.
F/2
-
C.
2F
-
D.
F/4
Đáp án : A


Chọn A.
Câu 6 :
Trường hợp nào sau đây ta không có một tụ điện?
-
A.
Giữa hai bản kim loại là sứ.
-
B.
Giữa hai bản kim loại là không khí.
-
C.
Giữa hai bản kim loại là nước tinh khiết.
-
D.
Giữa hai bản kim loại là dung dịch NaOH.
Đáp án : D
NaOH là chất dẫn điện, mà tụ điện là hệ thống gồm hai vật dẫn đặt gần nhau và ngăn cách nhau bằng một lớp cách điện.
Đáp án D.
Câu 7 :
Nếu hiệu điện thế giữa hai bản tụ tăng 4 lần thì điện dung của tụ
-
A.
tăng 2 lần.
-
B.
giảm 2 lần.
-
C.
tăng 4 lần.
-
D.
không đổi.
Đáp án : D
Điện dung của tụ điện không phụ thuộc vào hiệu điện thế giữa hai bản tụ nên nếu hiệu điện thế giữa hai bản tụ tăng 2 lần thì điện dung của tụ không đổi.
Đáp án D
Câu 8 :
Biết điện thế tại điểm M trong điện trường là 20V. Electron có điện tích e = -1,6.10-19 C đặt tại điểm M có thế năng là:
-
A.
3,2.10-18 J.
-
B.
-3,2.10-18 J.
-
C.
1,6.1020 J.
-
D.
-1,6.1020 J.
Đáp án : B
WM = qVM. Thay số: WM = -1,6.10-19.20 = -3,2.10-18 J.
Đáp án B.
Câu 9 :
Hai điểm trên một đường sức trong một điện trường đều cách nhau 0,5 m. Độ lớn cường độ điện trường là 1000 V/m. Hiệu điện thế giữa hai điểm đó là
-
A.
500 V.
-
B.
1000 V.
-
C.
2000 V.
-
D.
chưa đủ dữ kiện để xác định.
Đáp án : A
Từ biểu thức U = E.d = 1000.0,5 = 500 V
Đáp án A.
Câu 10 :
Công của lực điện trường dịch chuyển một điện tích 5.10-6 C dọc theo chiều một đường sức trong một điện trường đều 1000 V/m trên quãng đường dài 0,5m là
-
A.
25.10-3 J.
-
B.
5.10-3 J.
-
C.
2,5.10-3 J.
-
D.
5.10-4 J.
Đáp án : C
A = qEd = qEscosα = 5.10-6.1000.0,5.cos00 = 2,5.10-3 J.
Đáp án: C.
Câu 11 :
Công của lực điện trường dịch chuyển một điện tích 5.10-6 C ngược chiều một đường sức trong một điện trường đều 1000 V/m trên quãng đường dài 0,5 m là
-
A.
-2,5.10-3 J.
-
B.
-5.10-3 J.
-
C.
2,5.10-3 J.
-
D.
5.10-3 J.
Đáp án : A
A = qEd = qEscosα = 5.10-6.1000.0,5.cos1800 = -2,5.10-3 J.
Đáp án: A.
Câu 12 :
Một điện tích q = 4.10-8 C di chuyển trong một điện trường đều có cường độ điện trường E = 100 V/m theo một đường gấp khúc ABC. Đoạn AB dài 20 cm và vectơ độ dời AB làm với các đường sức điện một góc 30°. Đoạn BC dài 40 cm và vectơ độ dời BC làm với các đường sức điện một góc 120°. Tính công của lực điện.
-
A.
0,108.10-6 J
-
B.
-0,108.10-6 J
-
C.
1,492.10-6 J
-
D.
-1,492.10-6 J
Đáp án : B
Chọn đáp án B
Công của lực điện trường trên đường gấp khúc ABC là
\(\begin{array}{l}{A_{ABC}} = {A_{AB}} + {A_{BC}}\\{A_{AB}} = q.E.{d_1} = q.E.AB.\cos 30^\circ = 0,{692.10^{ - 6}}J\end{array}\)
\({A_{BC}} = q.E.{d_2} = q.E.BC.\cos 120^\circ = - 0,{8.10^{ - 6}}J\)
\( \to {A_{ABC}} = 0,{692.10^{ - 6}} - 0,{8.10^{ - 6}} = - 0,{108.10^{ - 6}}J\)
Qua mỗi điểm trong điện trường có một và chỉ một đường sức điện mà thôi
Qua mỗi điểm trong điện trường có một và chỉ một đường sức điện mà thôi
Đường sức điện là những đường có hướng. Hướng của đường sức điện tại một điểm là hướng của vectơ cường độ điện trường tại điểm đó.
Đường sức điện là những đường có hướng. Hướng của đường sức điện tại một điểm là hướng của vectơ cường độ điện trường tại điểm đó.
Ở chỗ cường độ điện trường lớn thì các đường sức điện sẽ thưa, còn ở chỗ cường độ điện trường nhỏ thì các đường sức điện sẽ mau.
Ở chỗ cường độ điện trường lớn thì các đường sức điện sẽ mau, còn ở chỗ cường độ điện trường nhỏ thì các đường sức điện sẽ thưa.
Đường sức điện của điện trường tĩnh điện là đường không khép kín. Nó đi ra điện tích dương và kết thúc ở điện tích âm.
Đường sức điện của điện trường tĩnh điện là đường không khép kín. Nó đi ra điện tích dương và kết thúc ở điện tích âm.
Câu 1 :
Một electron chuyển động dọc theo đường sức của một điện trường đều. Cường độ điện trường E = 1000 V/m. Vận tốc ban đầu của electron là 3.105 m/s, khối lượng của elctron là 9,1.10-31kg. Tại lúc vận tốc bằng không thì nó đã đi được đoạn đường bao nhiêu, tính theo đơn vị mm)
Công của lực điện trường là A = qEd = - eEd = ΔW
Theo định lý biến thiên động năng ta có:

Câu 2 :
Cho điện tích dịch chuyển giữa 2 điểm cố định trong một điện trường đều với cường độ điện trường 100 V/m thì công của lực điện trường là 50 mJ. Nếu cường độ điện trường là 200 V/m thì công của lực điện trường dịch chuyển điện tích giữa hai điểm đó là bao nhiêu?
\(A = qEd\) nên \(\frac{{{A_1}}}{{{A_2}}} = \frac{{{E_1}}}{{{E_2}}} \Rightarrow \frac{{50}}{{{A_2}}} = \frac{{100}}{{200}} \Rightarrow {A_2} = 100mJ\)
Câu 3 :
Công của lực điện trường dịch chuyển một điện tích - 5μC ngược chiều một đường sức trong một điện trường đều 1000 V/m trên quãng đường dài 1 m là bao nhiêu?
A = qEd = qEscosα = -5.10-6.1000.1.cos1800 = 5.10-3 J.
Câu 4 :
Công của lực điện trường dịch chuyển một điện tích 10 mC song song với các đường sức trong một điện trường đều với quãng đường 10 cm là 1 J. Độ lớn cường độ điện trường đó là
\(E = \frac{A}{{qd}} = \frac{1}{{{{10.10}^{ - 3}}.0,1}} = 1000V/m\).
Đề thi giữa học kì 2 Vật lí 11 Kết nối tri thức - Đề số 4
Đề thi giữa học kì 2 Vật lí 11 Kết nối tri thức - Đề số 4
Xem chi tiết
Đề thi giữa học kì 2 Vật lí 11 Kết nối tri thức - Đề số 5
Đề thi giữa học kì 2 Vật lí 11 Kết nối tri thức - Đề số 5
Xem chi tiết
Đề thi giữa học kì 2 Vật lí 11 Kết nối tri thức - Đề số 6
Đề thi giữa học kì 2 - Đề số 6
Xem chi tiết
Đề thi giữa học kì 2 Vật lí 11 Kết nối tri thức - Đề số 7
Đề thi giữa học kì 2 - Đề số 7
Xem chi tiết
Đề thi giữa học kì 2 Vật lí 11 Kết nối tri thức - Đề số 2
Đề thi giữa học kì 2 Vật lí 11 Kết nối tri thức - Đề số 2
Xem chi tiết
Đề thi giữa học kì 2 Vật lí 11 Kết nối tri thức - Đề số 1
Đề thi giữa học kì 2 Vật lí 11 Kết nối tri thức - Đề số 1
Xem chi tiết
>> 2K9 Học trực tuyến - Định hướng luyện thi TN THPT, ĐGNL, ĐGTD ngay từ lớp 11 (Xem ngay) cùng thầy cô giáo giỏi trên Tuyensinh247.com. Bứt phá điểm 9,10 chỉ sau 3 tháng, tiếp cận sớm các kì thi.
![]() |
![]() |
![]() |
![]() |
![]() |
![]() |
![]() |
![]() |







