Đề thi giữa học kì 2 Vật lí 12 Chân trời sáng tạo - Đề số 4
Tải về
Đề thi giữa học kì 2 - Đề số 4
Đề bài
Câu 1 :
Đâu không phải là đặc điểm chung của nam châm điện và nam châm vĩnh cửu?
-
A.
Có cực Bắc và cực Nam
-
B.
Có thể hút các vật làm từ vật liệu từ
-
C.
Có thể bật hoặc tắt từ trường.
-
D.
Có từ phổ
Câu 2 :
Hình nào sau đây biểu diễn không đúng vectơ lực từ tác dụng lên đoạn dây dẫn mang dòng điện đặt trong từ trường mô tả như hình dưới đây?
-
A.

-
B.

-
C.

-
D.

Câu 3 :
Một đoạn dây dẫn có chiều dài l được đặt trong từ trường đều có vectơ cảm ứng từ \(\overrightarrow B \) hợp với đoạn dây một góc θ. Khi cho dòng điện không đổi có cường độ I chạy qua đoạn dây thì độ lớn lực từ tác dụng lên đoạn dây có giá trị cực đại là
-
A.
\(BIl\).
-
B.
\(BIl{\rm{sin}}\theta \).
-
C.
\(BIl{\rm{cos}}\theta \).
-
D.
\(BIl{\rm{tan}}\theta \).
Câu 4 :
Trong hiện tượng cảm ứng điện từ, suất điện động cảm ứng sinh ra do sự biến thiên
của từ thông theo thời gian được xác định bằng biểu thức
-
A.
\(e = - N\frac{{\Delta \Phi }}{{\Delta t}}\)
-
B.
\(e = N\frac{{\Delta \Phi }}{{\Delta t}}\)
-
C.
\(e = - N\frac{{\Delta \Phi }}{{\Delta t}}\)
-
D.
\(e = N\frac{{\Delta \Phi }}{{\Delta t}}\)
Câu 5 :
Phát biểu nào sau đây về từ thông là không đúng?
-
A.
Từ thông là đại lượng vector, được xác định bằng số đường sức từ xuyên qua tiết diện của cuộn dây.
-
B.
Từ thông là đại lượng vô hướng, được sử dụng để diễn tả số đường sức từ xuyên qua tiết diện S nào đó.
-
C.
Đơn vị của từ thông là vêbe, kí hiệu là \({\rm{Wb}}\).
-
D.
Từ thông qua diện tích S nào đó bằng không khi vector pháp tuyến của diện tích S vuông góc với vector cảm ứng từ của từ trường.
Câu 6 :
Một khung dây dẫn kín \({\rm{MNPQ }}\)đặt cố định trong từ trường đều. Hướng của từ trường \(\overrightarrow B \) vuông góc với mặt phẳng khung dây như hình bên. Biết vector pháp tuyến n của mặt phẳng khung dây cùng chiều \(\overrightarrow B \). Khi từ thông qua diện tích khung dây tăng dần đều theo thời gian thì trong khung

-
A.
không xuất hiện dòng điện cảm ứng.
-
B.
xuất hiện dòng điện cảm ứng có chiều \({\rm{MNPQM}}\).
-
C.
xuất hiện dòng điện cảm ứng có chiều \({\rm{MQPNM}}\).
-
D.
có dòng điện xoay chiều hình sin.
Câu 7 :
Một vòng dây đồng có dạng hình tròn có đường kính 20 cm, tiết diện 0,5 mm2 đặt trong từ rường đều cảm ứng từ vuông góc với mặt phẳng vòng dây. Biết đồng có điện trở suất 1,75.10-8 Ωm, dòng điện cảm ứng xuất hiện trong vòng dây là 2 A thì tốc độ biến thiên của cảm ứng từ qua vòng dây là
-
A.
1,0 T/s.
-
B.
0,7 T/s.
-
C.
2,8 T/s.
-
D.
1,4 T/s.
Câu 8 :
Một trong những biện pháp giảm hao phí điện năng trên đường dây tải điện khi truyền điện năng đi xa được áp dụng rộng rãi là
-
A.
giảm tiết diện dây truyền tải điện.
-
B.
tăng chiều dài đường dây truyền tải điện.
-
C.
giảm điện áp hiệu dụng ở trạm phát điện.
-
D.
tăng điện áp hiệu dụng ở trạm phát điện.
Câu 9 :
Một máy biến áp có tỉ lệ về số vòng dây của cuộn sơ cấp và cuộn thứ cấp là 10. Đặt vào hai đầu cuộn sơ cấp một điện áp xoay chiều có giá trị hiệu dụng là 200 V, thì điện áp hiệu dụng giữa hai đầu cuộn thứ cấp là
-
A.
\(10\sqrt 2 \) V.
-
B.
10 V.
-
C.
\(20\sqrt 2 \) V.
-
D.
20 V.
Câu 10 :
Khi nói về sóng điện từ, phát biểu nào dưới đây là sai?
-
A.
tại một điểm trên phương truyền, vectơ cường độ điện trường và vectơ cảm ứng từ cùng phương.
-
B.
Sóng điện từ truyền được trong môi trường vật chất và trong chân không.
-
C.
Trong chân không, sóng điện từ lan truyền với tốc độ c = 3.108 m/s.
-
D.
Sóng điện từ bị phản xạ khi gặp mặt phân cách giữa hai môi trường.
Câu 11 :
Vật liệu thích hợp để làm nồi sử dụng trên bếp từ là
-
A.
sắt không gỉ.
-
B.
gốm sứ.
-
C.
thủy tinh.
-
D.
nhựa.
Câu 12 :
Như hình vẽ (a) và (b) lần lượt là hai trường hợp đoạn dây dẫn trong một mạch kín chuyển động trong từ trường của một dây dẫn thẳng dài mang dòng điện I tạo ra. Chiều của dòng điện cảm ứng trong đoạn dây dẫn trong trường hợp (a) và (b) tương ứng là

-
A.
xuống dưới và sang trái.
-
B.
lên trên và sang trái.
-
C.
xuống dưới và sang phải.
-
D.
lên trên và sang phải.
Nối hai đầu cuộn dây dẫn kín với điện kế. Thả rơi tự do một thanh nam châm thẳng xuyên qua vòng dây. Biết khi bắt đầu chuyển động kim điện kế chỉ vạch số 0

a) Khi nam châm rơi từ vị trí ban đầu đến khi một đầu của nam châm lọt vào cuộn dây thì góc lệch kim điện kế tăng dần.
b) Thời điểm khi nam châm rơi ra đầu dưới cuộn dây, kim điện kế lệch ít nhất.
c) Chiều dòng điện cảm ứng xuất hiện tại thời điểm cuộn dây đi vào nam châm và cuộn dây đi ra khỏi nam châm ngược nhau.
d) Trong thí nghiệm này, trọng lực sinh công làm biến thiên từ thông qua cuộn dây để sinh ra suất điện động cảm ứng, nghĩa là cơ năng đã chuyển hoá thành điện năng.
Treo đoạn dây dẫn MN có chiều dài 25 cm, khối lượng 10 g bằng hai dây mảnh, nhẹ sao cho dây dẫn MN nằm ngang cân bằng. Biết cảm ứng từ có chiều như hình vẽ và độ lớn 0,04 T. Lấy g = 10 m/s2.

a) Khi cho dòng điện chạy qua đoạn dây dẫn, để lực căng dây bằng 0 thì lực từ tác dụng lên đoạn dây có chiều hướng xuống.
b) Dòng điện có chiều từ N tới M thì lực từ tác dụng lên đoạn dây sẽ đặt tại trung điểm của đoạn dây và có chiều hướng lên.
c) Dòng điện có chiều từ N đến M và cường độ 10 A thì lực căng mỗi dây bằng 0.
d) Dòng điện có chiều từ M đến N và cường độ 16 A thì lực căng mỗi dây bằng 0,26 N.
Câu 1 :
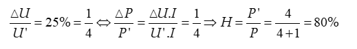
Điện năng được truyền từ một trạm điện đến nơi tiêu thụ bằng đường dây tải điện một pha. Độ giảm điện áp hiệu dụng trên đường dây bằng 25% điện áp hiệu dụng nơi tiêu thụ. Hiệu suất của quá trình truyền tải điện năng này bằng bao nhiêu %?
Câu 2 :
Một khung dây dẫn hình vuông cạnh a = 6 cm; đặt trong từ trường đều cảm ứng từ B = 4.10-3 T, đường sức từ trường vuông góc với mặt phẳng khung dây. Cầm hai cạnh đối diện hình vuông kéo về hai phía để được hình chữ nhật có cạnh này dài gấp đôi cạnh kia. Biết điện trở của khung là R = 0,01 Ω. Điện lượng di chuyển trong khung bằng bao nhiêu μC?
Sử dụng các thông tin sau cho 2 câu tiếp theo: Xét một sóng điện từ đang lan truyền trong không gian với thành phần điện trường tại điểm A biến thiên điều hòa theo phương trình \(E = 150\sin \left( {37,7t + \pi } \right)\left( {V/m} \right)\) (t tính bằng μs). Biết cảm ứng từ có độ lớn cực đại là 50 mT.
Bước sóng của sóng điện từ nói trên bằng bao nhiêu m (làm tròn kết quả đến chữ số hàng đơn vị)?
Tại thời điểm t, cường độ điện trường tại A có giá trị 150 V/m. Sau khoảng thời gian bằng một phần sáu chu kì thì cảm ứng từ tại điểm đó có giá trị bằng bao nhiêu mT?
Câu 5 :
Tại một điểm có sóng điện từ truyền qua, cảm ứng từ biến thiên theo phương trình\(B = {B_0}cos\left( {2\pi {{.10}^8}t} \right)\) (\({B_0} > 0\) và t tính bằng s). Kể từ lúc t = 0, sau khoảng thời gian ngắn nhất bao nhiêu ns thì cường độ điện trường tại điểm đó bằng 0?
Câu 6 :
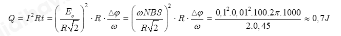
Một vòng dây có diện tích S = 100 cm2 và điện trở R = 0,45 Ω, quay đều với tốc độ góc 100 rad/s trong một từ trường đều có cảm ứng từ B = 0,1 T xung quanh một trục nằm trong mặt phẳng vòng dây và vuông góc với các đường sức từ. Nhiệt lượng tỏa ra trong vòng dây khi có nó quay được 1000 vòng bằng bao nhiêu J (làm tròn kết quả đến chữ số thập phân thứ nhất)?
Sử dụng các thông tin sau cho 2 câu tiếp theo: Một học sinh tự chế tạo một máy biến áp với dự tính số vòng dây ban đầu của cuộn sơ cấp và cuộn thứ cấp lần lượt là N1 = 100 vòng và N2 = 800 vòng. Nhưng trong quá trình quấn dây, học sinh đã quấn ngược một số vòng dây ở cuộn thứ cấp nên khi đặt vào hai đầu cuộn sơ cấp một điện áp \({u_1} = 20cos\left( {100\pi t} \right)\) (V) (t tính bằng s) thì điện áp hiệu dụng ở hai đầu cuộn thứ cấp để hở là 99 V.
Tần số của điện áp xoay chiều ở hai đầu cuộn thứ cấp bằng bao nhiêu Hz?
Học sinh này đã quấn ngược bao nhiêu vòng dây? (Kết quả làm tròn đến hàng đơn vị).
Câu 1 :
Đặt điện áp xoay chiều u có đồ thị biểu diễn theo thời gian t như hình bên vào hai đầu đoạn mạch chứa điện trở R = 10 Ω.

a) Viết biểu thức điện áp u?
b) Xác định cường độ dòng điện hiệu dụng chạy trong đoạn mạch.
Câu 2 :
Hình bên là ảnh chụp thí nghiệm đo lực từ của nam châm vĩnh cửu tác dụng lên đoạn dây dẫn đặt trong từ trường.

Biết đoạn dây dẫn được cố định vào giá thí nghiệm (1) sao cho phương của đoạn dây dẫn (2) nằm ngang vuông góc với vectơ cảm ứng từ B của nam châm (3) và không chạm vào nam châm trên cân. Số liệu thí nghiệm thu được như trong bảng sau.

Trong đó L là chiều dài đoạn dây dẫn mang dòng điện đặt trong từ trường, F là độ lớn lực từ tác dụng lên đoạn dây dẫn, I là cường độ dòng điện
a) Vì sao sử dụng cân điện tử như trong hình bên có thể xác định được độ lớn lực từ tác dụng lên đoạn dây?
b) Từ số liệu trong bảng, hãy tính độ lớn cảm ứng từ B của nam châm.
Lời giải và đáp án
Câu 1 :
Đâu không phải là đặc điểm chung của nam châm điện và nam châm vĩnh cửu?
-
A.
Có cực Bắc và cực Nam
-
B.
Có thể hút các vật làm từ vật liệu từ
-
C.
Có thể bật hoặc tắt từ trường.
-
D.
Có từ phổ
Đáp án : C
Nam châm điện và nam châm vĩnh cửu có nhiều điểm chung như: có cực Bắc - Nam, có khả năng hút vật làm từ vật liệu từ, có từ phổ.
Chỉ nam châm điện mới có thể bật/tắt từ trường bằng cách thay đổi dòng điện chạy qua.
Đáp án: C
Câu 2 :
Hình nào sau đây biểu diễn không đúng vectơ lực từ tác dụng lên đoạn dây dẫn mang dòng điện đặt trong từ trường mô tả như hình dưới đây?
-
A.

-
B.

-
C.

-
D.

Đáp án : C
Sử dụng quy tắc bàn tay trái để xác định lực từ tác dụng lên đoạn dây có dòng điện chạy qua đặt trong từ trường. Nếu dòng điện song song với vectơ cảm ứng từ, lực từ sẽ bằng 0.
Ở hình c, dòng điện cùng chiều với vectơ cảm ứng từ nên \({\rm{sin}}\theta = 0\), tức là \(F = 0\).
Đáp án: C
Câu 3 :
Một đoạn dây dẫn có chiều dài l được đặt trong từ trường đều có vectơ cảm ứng từ \(\overrightarrow B \) hợp với đoạn dây một góc θ. Khi cho dòng điện không đổi có cường độ I chạy qua đoạn dây thì độ lớn lực từ tác dụng lên đoạn dây có giá trị cực đại là
-
A.
\(BIl\).
-
B.
\(BIl{\rm{sin}}\theta \).
-
C.
\(BIl{\rm{cos}}\theta \).
-
D.
\(BIl{\rm{tan}}\theta \).
Đáp án : A
Công thức tính độ lớn lực từ tác dụng lên đoạn dây dẫn mang dòng điện \(F = BIl\sin \theta \)
\(F = BIlsin\theta \Rightarrow {F_{max}}\) khi \({\rm{sin}}\theta = 1\) và \({F_{max}} = BIl\)
Đáp án: A
Câu 4 :
Trong hiện tượng cảm ứng điện từ, suất điện động cảm ứng sinh ra do sự biến thiên
của từ thông theo thời gian được xác định bằng biểu thức
-
A.
\(e = - N\frac{{\Delta \Phi }}{{\Delta t}}\)
-
B.
\(e = N\frac{{\Delta \Phi }}{{\Delta t}}\)
-
C.
\(e = - N\frac{{\Delta \Phi }}{{\Delta t}}\)
-
D.
\(e = N\frac{{\Delta \Phi }}{{\Delta t}}\)
Đáp án : A
Suất điện động cảm ứng được tính theo định luật Faraday
Suất điện động cảm ứng được tính theo định luật Faraday \(e = - N\frac{{\Delta \Phi }}{{\Delta t}}\)
Đáp án: A
Câu 5 :
Phát biểu nào sau đây về từ thông là không đúng?
-
A.
Từ thông là đại lượng vector, được xác định bằng số đường sức từ xuyên qua tiết diện của cuộn dây.
-
B.
Từ thông là đại lượng vô hướng, được sử dụng để diễn tả số đường sức từ xuyên qua tiết diện S nào đó.
-
C.
Đơn vị của từ thông là vêbe, kí hiệu là \({\rm{Wb}}\).
-
D.
Từ thông qua diện tích S nào đó bằng không khi vector pháp tuyến của diện tích S vuông góc với vector cảm ứng từ của từ trường.
Đáp án : A
Từ thông là một đại lượng vô hướng, không phải là đại lượng vector. Được xác định bởi số đường sức từ xuyên qua tiết diện S của cuộn dây.
Từ thông là đại lượng vô hướng, được xác định bằng số đường sức từ xuyên qua tiết diện của cuộn dây.
Đáp án: A
Câu 6 :
Một khung dây dẫn kín \({\rm{MNPQ }}\)đặt cố định trong từ trường đều. Hướng của từ trường \(\overrightarrow B \) vuông góc với mặt phẳng khung dây như hình bên. Biết vector pháp tuyến n của mặt phẳng khung dây cùng chiều \(\overrightarrow B \). Khi từ thông qua diện tích khung dây tăng dần đều theo thời gian thì trong khung

-
A.
không xuất hiện dòng điện cảm ứng.
-
B.
xuất hiện dòng điện cảm ứng có chiều \({\rm{MNPQM}}\).
-
C.
xuất hiện dòng điện cảm ứng có chiều \({\rm{MQPNM}}\).
-
D.
có dòng điện xoay chiều hình sin.
Đáp án : C
Sử dụng quy tắc Lenz: dòng điện cảm ứng có chiều sao cho từ trường do nó sinh ra chống lại sự biến thiên từ thông ban đầu. Khi từ thông tăng, dòng điện cảm ứng có chiều sao cho từ trường do nó sinh ra ngược với từ trường bên ngoài. Dùng quy tắc bàn tay phải để xác định chiều dòng điện.
Từ thông tăng nên \({\overrightarrow B _c} \uparrow \downarrow \overrightarrow B \), tức là \(\vec B\) hướng ra ngoài mặt phẳng hình vẽ \( \Rightarrow \) Áp dụng quy tắc bàn tay phải, dòng điện cảm ứng chạy ngược chiều kim đồng hồ (theo chiều MQPNM).
Đáp án: C
Câu 7 :
Một vòng dây đồng có dạng hình tròn có đường kính 20 cm, tiết diện 0,5 mm2 đặt trong từ rường đều cảm ứng từ vuông góc với mặt phẳng vòng dây. Biết đồng có điện trở suất 1,75.10-8 Ωm, dòng điện cảm ứng xuất hiện trong vòng dây là 2 A thì tốc độ biến thiên của cảm ứng từ qua vòng dây là
-
A.
1,0 T/s.
-
B.
0,7 T/s.
-
C.
2,8 T/s.
-
D.
1,4 T/s.
Đáp án : D
Suất điện động cảm ứng được tính theo công thức \(e = - \frac{{\Delta {\rm{\Phi }}}}{{\Delta t}}\)
\(\left| {{i_c}} \right| = \frac{{\left| {{e_c}} \right|}}{R} = \frac{{\Delta \Phi }}{{\Delta t \cdot \frac{{\rho \ell }}{{{S_o}}}}} = \frac{{\Delta B}}{{\Delta t}} \cdot \frac{{\pi {R^2}}}{{\rho \pi d}} \cdot {S_o} \Leftrightarrow 2 = \frac{{\Delta B}}{{\Delta t}} \cdot \frac{{0,{1^2}}}{{1,{{75.10}^{ - 8}}.0,2}} \cdot 0,{5.10^{ - 6}} \Rightarrow \frac{{\Delta B}}{{\Delta t}} = 1,4\left( {T/s} \right)\)
Đáp án: D
Câu 8 :
Một trong những biện pháp giảm hao phí điện năng trên đường dây tải điện khi truyền điện năng đi xa được áp dụng rộng rãi là
-
A.
giảm tiết diện dây truyền tải điện.
-
B.
tăng chiều dài đường dây truyền tải điện.
-
C.
giảm điện áp hiệu dụng ở trạm phát điện.
-
D.
tăng điện áp hiệu dụng ở trạm phát điện.
Đáp án : D
Hao phí điện năng trên đường dây tải điện \({P_{{\rm{hp}}}} = {I^2}R\)
Để giảm hao phí, cần giảm dòng điện I bằng cách tăng điện áp truyền tải.
Đáp án: D
Câu 9 :
Một máy biến áp có tỉ lệ về số vòng dây của cuộn sơ cấp và cuộn thứ cấp là 10. Đặt vào hai đầu cuộn sơ cấp một điện áp xoay chiều có giá trị hiệu dụng là 200 V, thì điện áp hiệu dụng giữa hai đầu cuộn thứ cấp là
-
A.
\(10\sqrt 2 \) V.
-
B.
10 V.
-
C.
\(20\sqrt 2 \) V.
-
D.
20 V.
Đáp án : D
Công thức máy biến áp \(\frac{{{U_1}}}{{{U_2}}} = \frac{{{N_1}}}{{{N_2}}}\)
\(\frac{{{U_2}}}{{{U_1}}} = \frac{{{N_2}}}{{{N_1}}} \Rightarrow {U_2} = \frac{1}{{10}} \cdot 200 = 20V\)
Đáp án: D
Câu 10 :
Khi nói về sóng điện từ, phát biểu nào dưới đây là sai?
-
A.
tại một điểm trên phương truyền, vectơ cường độ điện trường và vectơ cảm ứng từ cùng phương.
-
B.
Sóng điện từ truyền được trong môi trường vật chất và trong chân không.
-
C.
Trong chân không, sóng điện từ lan truyền với tốc độ c = 3.108 m/s.
-
D.
Sóng điện từ bị phản xạ khi gặp mặt phân cách giữa hai môi trường.
Đáp án : A
Trong sóng điện từ, vectơ cường độ điện trường và vectơ cảm ứng từ vuông góc nhau.
Tại một điểm trên phương truyền, vectơ cường độ điện trường và vectơ cảm ứng từ cùng pha nhưng vuông phương với nhau.
Đáp án: A
Câu 11 :
Vật liệu thích hợp để làm nồi sử dụng trên bếp từ là
-
A.
sắt không gỉ.
-
B.
gốm sứ.
-
C.
thủy tinh.
-
D.
nhựa.
Đáp án : A
Bếp từ chỉ hoạt động với các vật liệu có tính từ (sắt, thép nhiễm từ)
Nhựa, thủy tinh, gốm không bị ảnh hưởng bởi từ trường.
Đáp án: A
Câu 12 :
Như hình vẽ (a) và (b) lần lượt là hai trường hợp đoạn dây dẫn trong một mạch kín chuyển động trong từ trường của một dây dẫn thẳng dài mang dòng điện I tạo ra. Chiều của dòng điện cảm ứng trong đoạn dây dẫn trong trường hợp (a) và (b) tương ứng là

-
A.
xuống dưới và sang trái.
-
B.
lên trên và sang trái.
-
C.
xuống dưới và sang phải.
-
D.
lên trên và sang phải.
Đáp án : B
Sử dụng quy tắc bàn tay phải để xác định chiều dòng điện cảm ứng. Xác định hướng cảm ứng từ do dòng điện trong dây thẳng gây ra. Áp dụng quy tắc bàn tay phải để tìm chiều dòng điện cảm ứng trong đoạn dây dẫn chuyển động.
Ở hình a và b, vectơ cảm ứng từ đều có phương vuông góc với mặt phẳng hình vẽ và đi vào trong (áp dụng quy tắc bàn tay phải). Tiếp tục áp dụng quy tắc bàn tay phải cho đoạn dây chuyển động trong từ trường \( \Rightarrow \) Ở hình a) dòng điện cảm ứng đi lên và ở hình b) dòng điện cảm ứng sang trái.
Đáp án: B
Nối hai đầu cuộn dây dẫn kín với điện kế. Thả rơi tự do một thanh nam châm thẳng xuyên qua vòng dây. Biết khi bắt đầu chuyển động kim điện kế chỉ vạch số 0

a) Khi nam châm rơi từ vị trí ban đầu đến khi một đầu của nam châm lọt vào cuộn dây thì góc lệch kim điện kế tăng dần.
b) Thời điểm khi nam châm rơi ra đầu dưới cuộn dây, kim điện kế lệch ít nhất.
c) Chiều dòng điện cảm ứng xuất hiện tại thời điểm cuộn dây đi vào nam châm và cuộn dây đi ra khỏi nam châm ngược nhau.
d) Trong thí nghiệm này, trọng lực sinh công làm biến thiên từ thông qua cuộn dây để sinh ra suất điện động cảm ứng, nghĩa là cơ năng đã chuyển hoá thành điện năng.
a) Khi nam châm rơi từ vị trí ban đầu đến khi một đầu của nam châm lọt vào cuộn dây thì góc lệch kim điện kế tăng dần.
b) Thời điểm khi nam châm rơi ra đầu dưới cuộn dây, kim điện kế lệch ít nhất.
c) Chiều dòng điện cảm ứng xuất hiện tại thời điểm cuộn dây đi vào nam châm và cuộn dây đi ra khỏi nam châm ngược nhau.
d) Trong thí nghiệm này, trọng lực sinh công làm biến thiên từ thông qua cuộn dây để sinh ra suất điện động cảm ứng, nghĩa là cơ năng đã chuyển hoá thành điện năng.
Áp dụng hiện tượng cảm ứng điện từ: suất điện động cảm ứng xuất hiện khi từ thông qua cuộn dây biến thiên theo thời gian.
Xác định sự thay đổi từ thông qua cuộn dây khi nam châm rơi để xét dòng điện cảm ứng.
Dùng định luật Lenz để xác định chiều dòng điện cảm ứng.
Phân tích sự chuyển hóa năng lượng trong thí nghiệm.
a) Đúng.
Khi nam châm rơi từ vị trí ban đầu đến khi một đầu củanam châm lọt vào cuộn dây thì từthông qua cuộn dây luôn biến thiên tăng nên dòng điện cảmứng qua các vòng dây có cường độ tăng dần.
b) Sai.
Tại thời điểm đấy vẫn còn từthông xuyên qua cuộn dây nên kim điện kế vẫn lệch. Kim điện kế lệch ít nhất khi nóởxa cuộn dây và không có đường sức từxuyên qua cuộn dây.
c) Đúng.
Vì khi nam châm chuyển động lại gần cuộn dây thì từ thông tăng, nam châm chuyển động ra xa cuộn dây thì từ thông giảm, 2 TH đấy cho 2 dòng điện cảm ứng ngược chiều nhau tuân theo định luật Lenz.
d) Đúng.
Trọng lực sinh công làm biến thiên từ thông qua cuộn dây để sinh ra suất điện động cảm ứng, nghĩa là cơ năng đã chuyển hoá thành điện năng
Treo đoạn dây dẫn MN có chiều dài 25 cm, khối lượng 10 g bằng hai dây mảnh, nhẹ sao cho dây dẫn MN nằm ngang cân bằng. Biết cảm ứng từ có chiều như hình vẽ và độ lớn 0,04 T. Lấy g = 10 m/s2.

a) Khi cho dòng điện chạy qua đoạn dây dẫn, để lực căng dây bằng 0 thì lực từ tác dụng lên đoạn dây có chiều hướng xuống.
b) Dòng điện có chiều từ N tới M thì lực từ tác dụng lên đoạn dây sẽ đặt tại trung điểm của đoạn dây và có chiều hướng lên.
c) Dòng điện có chiều từ N đến M và cường độ 10 A thì lực căng mỗi dây bằng 0.
d) Dòng điện có chiều từ M đến N và cường độ 16 A thì lực căng mỗi dây bằng 0,26 N.
a) Khi cho dòng điện chạy qua đoạn dây dẫn, để lực căng dây bằng 0 thì lực từ tác dụng lên đoạn dây có chiều hướng xuống.
b) Dòng điện có chiều từ N tới M thì lực từ tác dụng lên đoạn dây sẽ đặt tại trung điểm của đoạn dây và có chiều hướng lên.
c) Dòng điện có chiều từ N đến M và cường độ 10 A thì lực căng mỗi dây bằng 0.
d) Dòng điện có chiều từ M đến N và cường độ 16 A thì lực căng mỗi dây bằng 0,26 N.
Áp dụng quy tắc bàn tay trái để xác định chiều lực từ tác dụng lên dây dẫn có dòng điện.
Sử dụng công thức tính lực từ: F = BIl
Điều kiện để lực căng dây bằng 0 là lực từ phải cân bằng với trọng lực F = mg
a) Sai.
Để lực căng dây bằng 0 thì lực từ phải hướng lên và cân bằng với trọng lực.
b) Đúng.
Áp dụng quy tắc bàn tay trái \( \Rightarrow \)Dòng điện có chiều từ N tới M thì lực từ tác dụng lên đoạn dây sẽ đặt tại trung điểm của đoạn dây và có chiều hướng lên.
c) Đúng.
\({\rm{F = P}} \Leftrightarrow {\rm{BI}}\ell {\rm{sin}}\theta = {\rm{mg}} \Leftrightarrow {\rm{0,04}}{\rm{.I}}{\rm{.0,25}} = {\rm{0,01}}{\rm{.10}} \Rightarrow {\rm{I = 10 A}}{\rm{.}}\)
d) Sai.
Ta có khi dòng điện chạy từ M đến N thì lực từ hướng xuống và cùng chiều với trọng lực
\(T = \frac{{P + F}}{2} = \frac{{mg + BI'\ell \sin \theta }}{2} = \frac{{0,01.10 + 0,04.16.0,25}}{2} = 0,13N\)
Câu 1 :
Điện năng được truyền từ một trạm điện đến nơi tiêu thụ bằng đường dây tải điện một pha. Độ giảm điện áp hiệu dụng trên đường dây bằng 25% điện áp hiệu dụng nơi tiêu thụ. Hiệu suất của quá trình truyền tải điện năng này bằng bao nhiêu %?
Hiệu suất truyền tải điện năng được tính theo công thức \(H = \frac{{\Delta U}}{{U'}}.100{\rm{\% }}\)

Đáp án: 80
Câu 2 :
Một khung dây dẫn hình vuông cạnh a = 6 cm; đặt trong từ trường đều cảm ứng từ B = 4.10-3 T, đường sức từ trường vuông góc với mặt phẳng khung dây. Cầm hai cạnh đối diện hình vuông kéo về hai phía để được hình chữ nhật có cạnh này dài gấp đôi cạnh kia. Biết điện trở của khung là R = 0,01 Ω. Điện lượng di chuyển trong khung bằng bao nhiêu μC?
Áp dụng định luật cảm ứng điện từ \(\;E = - \frac{{\Delta \Phi }}{{\Delta t}}\)
Chu vi của hai hình như nhau \( \Rightarrow {C_v} = {C_{cn}} \Rightarrow 4a = \left( {b + c} \right) \times 2 \Rightarrow b = 2c = 8\,cm\).
\(q = i.\Delta t = \frac{{{e_C}}}{R}\Delta t = \frac{{B\left| {{S_2} - {S_1}} \right|}}{{\Delta t.R}}\Delta t = \frac{{4 \times {{10}^{ - 3}}.\left| {0.04 \times 0.08 - {{0.06}^2}} \right|}}{{0.01}} = 1.6 \times {10^{ - 4}}C = 160\,\mu C\)
Đáp án: 160
Sử dụng các thông tin sau cho 2 câu tiếp theo: Xét một sóng điện từ đang lan truyền trong không gian với thành phần điện trường tại điểm A biến thiên điều hòa theo phương trình \(E = 150\sin \left( {37,7t + \pi } \right)\left( {V/m} \right)\) (t tính bằng μs). Biết cảm ứng từ có độ lớn cực đại là 50 mT.
Bước sóng của sóng điện từ nói trên bằng bao nhiêu m (làm tròn kết quả đến chữ số hàng đơn vị)?
Dùng công thức liên hệ giữa tốc độ ánh sáng\(\lambda = \frac{c}{f}\)
\(\lambda = cT = {3.10^8} \cdot \frac{{2\pi }}{{37,7}}{.10^{ - 6}} \approx 50m\)
Đáp án: 50
Tại thời điểm t, cường độ điện trường tại A có giá trị 150 V/m. Sau khoảng thời gian bằng một phần sáu chu kì thì cảm ứng từ tại điểm đó có giá trị bằng bao nhiêu mT?
Sử dụng mối quan hệ pha giữa điện trường và cảm ứng từ trong sóng điện từ \(B = \frac{E}{c}\)
Tại thời điểm t thì \(E = {E_0} = 150\,V/m \Rightarrow B = {B_0} = 50\,mT\).
Sau khoảng thời gian bằng \(T/6\) (góc quét \({60^ \circ }\)) thì \(E = {E_0}/2 \Rightarrow B = {B_0}/2 = 25\,mT\).
Đáp án: 25
Câu 5 :
Tại một điểm có sóng điện từ truyền qua, cảm ứng từ biến thiên theo phương trình\(B = {B_0}cos\left( {2\pi {{.10}^8}t} \right)\) (\({B_0} > 0\) và t tính bằng s). Kể từ lúc t = 0, sau khoảng thời gian ngắn nhất bao nhiêu ns thì cường độ điện trường tại điểm đó bằng 0?
Dựa vào phương trình dao động điều hòa của từ trường và điện trường.
Tại thời điểm \({\rm{t = 0}}\) thì \({\rm{B = }}{{\rm{B}}_o} \Rightarrow E = {E_o}{\rm{ }}\)(do \(\overrightarrow B \) và \(\overrightarrow E \) cùng pha) \( \Rightarrow \varphi = 0\)
Để cường độ điện trường E = 0 thì \(\phi = \pm \pi /2 + k\pi \).
\(\Delta {t_{min}} = \frac{{\Delta {\phi _{min}}}}{\omega } = \frac{\pi }{{2.2\pi {{.10}^8}}} \cdot {10^9} = 2,5\left( {ns} \right)\)
Đáp án: 2,5
Câu 6 :
Một vòng dây có diện tích S = 100 cm2 và điện trở R = 0,45 Ω, quay đều với tốc độ góc 100 rad/s trong một từ trường đều có cảm ứng từ B = 0,1 T xung quanh một trục nằm trong mặt phẳng vòng dây và vuông góc với các đường sức từ. Nhiệt lượng tỏa ra trong vòng dây khi có nó quay được 1000 vòng bằng bao nhiêu J (làm tròn kết quả đến chữ số thập phân thứ nhất)?
Sử dụng công thức suất điện động cảm ứng cực đại \({\mathcal{E}_{max}} = BS\omega \)
Dùng công thức năng lượng tiêu thụ trong mạch điện xoay chiều có điện trở thuần: \(Q = \frac{{\mathcal{E}_{rms}^2}}{R}.t\)

Đáp án: 0,7
Sử dụng các thông tin sau cho 2 câu tiếp theo: Một học sinh tự chế tạo một máy biến áp với dự tính số vòng dây ban đầu của cuộn sơ cấp và cuộn thứ cấp lần lượt là N1 = 100 vòng và N2 = 800 vòng. Nhưng trong quá trình quấn dây, học sinh đã quấn ngược một số vòng dây ở cuộn thứ cấp nên khi đặt vào hai đầu cuộn sơ cấp một điện áp \({u_1} = 20cos\left( {100\pi t} \right)\) (V) (t tính bằng s) thì điện áp hiệu dụng ở hai đầu cuộn thứ cấp để hở là 99 V.
Tần số của điện áp xoay chiều ở hai đầu cuộn thứ cấp bằng bao nhiêu Hz?
Từ phương trình điện áp xoay chiều xác định tần số
\(f = \frac{\omega }{{2\pi }} = \frac{{100\pi }}{{2\pi }} = 50Hz\)
Đáp án: 50
Học sinh này đã quấn ngược bao nhiêu vòng dây? (Kết quả làm tròn đến hàng đơn vị).
Dùng công thức biến áp lý tưởng: \({U_2} = {U_1}\frac{{{N_2}}}{{{N_1}}}\)
\(\frac{{{U_2}}}{{{U_1}}} = \frac{{N_2'}}{{{N_1}}} = \frac{{{N_2} - 2n}}{{{N_1}}} \Leftrightarrow \frac{{99}}{{10\sqrt 2 }} = \frac{{800 - 2n}}{{100}} \Rightarrow n = 50\)
Đáp án: 50
Câu 1 :
Đặt điện áp xoay chiều u có đồ thị biểu diễn theo thời gian t như hình bên vào hai đầu đoạn mạch chứa điện trở R = 10 Ω.

a) Viết biểu thức điện áp u?
b) Xác định cường độ dòng điện hiệu dụng chạy trong đoạn mạch.
Dựa vào đồ thị, xác định biên độ U0 và chu kỳ T
Dùng công thức định luật Ohm \(I = \frac{U}{R}\)
a) Từ đồ thị, ta có:
\(\left\{ {\begin{array}{*{20}{l}}{{U_o} = 20\,V}\\{\omega = \frac{{2\pi }}{T} = \frac{{2\pi }}{{{{16.10}^{ - 3}}}} = 125\pi \,rad/s}\end{array}} \right.\).
Tại thời điểm t = 0, \(u = - {U_o}/2\) và đang tăng \( \Rightarrow \varphi = - 2\pi /3\).
\(u = {U_0}{\rm{cos}}\left( {\omega t + \varphi } \right) = 20{\rm{cos}}\left( {125\pi t - \frac{{2\pi }}{3}} \right)\,\left( V \right)\) (t tính bằng s)
b) Cường độ dòng điện hiệu dụng chạy trong đoạn mạch là \(I = \frac{{{U_o}}}{{\sqrt 2 R}} = \frac{{20}}{{10\sqrt 2 }} = \sqrt 2 \,\left( A \right)\)
Câu 2 :
Hình bên là ảnh chụp thí nghiệm đo lực từ của nam châm vĩnh cửu tác dụng lên đoạn dây dẫn đặt trong từ trường.

Biết đoạn dây dẫn được cố định vào giá thí nghiệm (1) sao cho phương của đoạn dây dẫn (2) nằm ngang vuông góc với vectơ cảm ứng từ B của nam châm (3) và không chạm vào nam châm trên cân. Số liệu thí nghiệm thu được như trong bảng sau.

Trong đó L là chiều dài đoạn dây dẫn mang dòng điện đặt trong từ trường, F là độ lớn lực từ tác dụng lên đoạn dây dẫn, I là cường độ dòng điện
a) Vì sao sử dụng cân điện tử như trong hình bên có thể xác định được độ lớn lực từ tác dụng lên đoạn dây?
b) Từ số liệu trong bảng, hãy tính độ lớn cảm ứng từ B của nam châm.
Cân đo tổng trọng lượng, lực từ làm thay đổi giá trị đọc trên cân.
Áp dụng công thức lực từ F = BIl
a) Sử dụng cân điện tử như trong hình có thể xác định được độ lớn lực từ tác dụng lên đoạn dây dẫn vì: Đặt đoạn dây dẫn trên một đĩa cân điện tử. Đóng công tắc để cho dòng điện chạy qua đoạn dây. Cân điện tử sẽ hiển thị trọng lượng của đoạn dây, bao gồm cả trọng lượng thực tế của dây và lực từ tác dụng lên dây. Lực từ tác dụng lên dây được tính bằng cách lấy giá trị hiển thị trên cân điện tử trừ đi trọng lượng thực tế của dây. Phương pháp này chỉ áp dụng được cho các trường hợp lực từ có phương thẳng đứng và có thể bị ảnh hưởng bởi các yếu tố bên ngoài.
b) Ta lập được bảng sau
|
I (A) |
2,5 |
5,1 |
10,1 |
20,2 |
5,1 |
10,1 |
|
L (cm) |
1,2 |
1,2 |
1,2 |
1,2 |
0,7 |
0,7 |
|
F (N) |
0,008 |
0,015 |
0,030 |
0,060 |
0,009 |
0,017 |
|
\[B = F/IL\left( T \right)\] |
\(2.67 \times {10^{ - 3}}\) |
\(2.45 \times {10^{ - 3}}\) |
\(2.45 \times {10^{ - 3}}\) |
\(2.47 \times {10^{ - 3}}\) |
\(2.52 \times {10^{ - 3}}\) |
\(2.40 \times {10^{ - 3}}\) |
\(\overline B = \frac{{{B_1} + {B_2} + {B_3} + {B_4} + {B_5} + {B_6}}}{6} \approx {2.493.10^{ - 3}}\left( T \right)\)
Đề thi giữa học kì 2 Vật lí 12 Chân trời sáng tạo - Đề số 5
Đề thi giữa học kì 2 - Đề số 5
Xem chi tiết
Đề thi giữa học kì 2 Vật lí 12 Chân trời sáng tạo - Đề số 3
Đề thi giữa học kì 2 - Đề số 3
Xem chi tiết
Đề thi giữa học kì 2 Vật lí 12 Chân trời sáng tạo - Đề số 2
Đề thi giữa học kì 2 - Đề số 2
Xem chi tiết
Đề thi giữa học kì 2 Vật lí 12 Chân trời sáng tạo - Đề số 1
Đề thi giữa học kì 2 - Đề số 1
Xem chi tiết