Tải về
Khi thay nhóm –OH trong nhóm carboxyl của carboxylic acid bằng nhóm
Đề bài
Câu 1 :
Khi thay nhóm –OH trong nhóm carboxyl của carboxylic acid bằng nhóm –OR' thì được ester. Công thức phân tử tổng quát của loại ester được nói đến nào sau đây sai?
-
A.
Ester no, đơn chức, mạch hở : CnH2nO2
-
B.
Ester no, 2 chức mạch hở : CnH2n–2O4
-
C.
Ester 2 chức, không no, có một liên kết đôi C=C : CnH2n–4O4
-
D.
Ester mạch hở, có 2 liên kết đôi : CnH2n–4O2
Câu 2 :
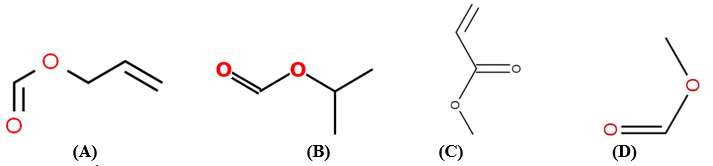
Cho các ester sau :

Danh pháp lần lượt của các ester A, B, C, D là :
-
A.
Allyl formate ; Isopropyl methanoate ; Methyl arcylate ; Methyl methanoate
-
B.
Vinyl acetate ; Isopropyl methanoate ; Methyl metharcylate ; Methyl ethanoate
-
C.
Propyl formate ; Isopropyl methanoate ; Methyl arcylate ; Methyl formate
-
D.
Allyl formate ; Isopropyl methanoate ; Ethenyl formate ; Methyl methanoate
Câu 3 :
Cho các phát biểu sau :
(I) Vì nguồn cung cấp acid béo omega-3 phổ biến hơn so với acid béo omega-6 nên để có chế độ dinh dưỡng cân bằng, cần chú ý tăng cường sử dụng các thực phẩm giàu acid béo omega-6.
(II) Triglyceride là triester của glycerol với acid béo
(III) chất béo thuộc loại hợp chất este.
(III) Một số loại dầu thực vật được dùng làm nhiên liệu sinh học (biodiesel).
(IV) Mỡ động vật, dầu thực vật có thể được dùng làm nguyên liệu để sản xuất xà phòng.
(V) Với acid béo không no, số thứ tự chỉ vị trí liên kết đôi đầu tiên tính từ đuôi CH3 là n thì acid béo thuộc nhóm omega-n.
(VI) Chất béo lỏng là các triglyceride chứa gốc acid không no trong phân tử.
(VII) Chất béo ở thể lỏng chỉ có nguồn gốc từ thực vật (dầu lạc, vừng, đậu nành,...)
(VIII) Chất béo ở thể rắn chỉ có nguồn gốc từ động vật (mỡ bò, mỡ gà, mỡ cừu…)
(IX) Thủy phân chất béo trong môi trường có H+ hay môi trường kiềm đều tạo ra một alcohol có đặc điểm là : Hòa tan được Cu(OH)2 ; sánh, lỏng ; được điều chế từ propene trong công nghiệp.
Số phát biểu sai là :
-
A.
4
-
B.
3
-
C.
2
-
D.
1
Câu 4 :
Linalyl acetate là một este của Linalool, có nguồn gốc tự nhiên được tìm thấy trong nhiều loại hoa và gia vị, mỹ phẩm. Đây là một trong những thành phần chính của tinh dầu cam bergamot và mùi thơm của hoa oải hương (lavande).

Công thức phân tử đơn giản nhất của Linalyl acetate là :
-
A.
C6H11O2
-
B.
C6H10O
-
C.
C12H20O2
-
D.
C12H22O2
Câu 5 :
Ethylhexyl Palmitate còn có tên gọi khác là Octyl palmitate. Ethylhexyl palmitate được ứng dụng rất phổ biến trong mỹ phẩm và sản phẩm khác với chức năng như một chất làm mềm, dung môi, làm ướt sắc tố và cố định hương thơm. Ethylhexyl Palmitate có công thức cấu tạo như sau :

Biết để sản xuất 1000 thỏi son thì cần pha trộn thêm 12% Ethylhexyl Palmitate. Trong công nghiệp, . Ethylhexyl Palmitate được điều chế bằng phản ứng ester hóa giữa acid X và alcohol Y.
Phát biểu nào sau đây sai ?
-
A.
Trong phân tử X có số nguyên tử hydrogen gấp 2 lần số nguyên tử carbon
-
B.
Phân tử X có số nguyên tử carbon gấp 2 lần số nguyên tử carbon trong phân tử Y
-
C.
Phần trăm nguyên tử carbon trong Ethylhexyl Palmitate là 13,045%
-
D.
Chất X có ít hơn linoleic acid 2 liên kết và ít hơn oleic acid 1 liên kết \(\pi \)
Câu 6 :
Một sinh viên thực hiện thí nghiệm tổng hợp ethyl acetate từ ethyl alcohol và acetic acid (xúc tác acid H2SO4). Sinh viên thu được hỗn hợp Y gồm acetic acid, ethyl acetate, ethyl alcohol và chất xúc tác. Hãy đề xuất phương pháp tách ester ra khỏi hỗn hợp trên.
-
A.
Đun nóng hỗn hợp Y, sau đó thu toàn bộ chất bay hơi vì ethyl acetate dễ bay hơi hơn so với ethyl alcohol và acetic acid.
-
B.
Rửa hỗn hợp Y với nước để loại xúc tác. Sau đó cô cạn hỗn hợp sau khi rửa thu được chất không bay hơi là ethyl acetate (vì ethyl acetate có khối lượng phân tử lớn nên khó bay hơi).
-
C.
Cho NaHCO3 rắn dư vào hỗn hợp Y, acetic acid và H2SO4 phản ứng với NaHCO3 tạo muối, ethyl acetate không phản ứng và không tan trong nước tách ra khỏi hỗn hợp.
-
D.
Lắc hỗn hợp Y với dung dịch NaHCO3 5%. Acetic acid và xúc tác H2SO4 phản ứng với NaHCO3 tạo muối. Các muối và ethyl alcohol tan tốt trong nước, ethyl acetate không tan trong nước sẽ tách lớp.
Câu 7 :
Chỉ số xà phòng hóa là
-
A.
chỉ số acid của chất béo.
-
B.
số mol NaOH cần dùng để xà phòng hóa hoàn toàn 1 gam chất béo
-
C.
số mol KOH cần dùng để xà phòng hóa hoàn toàn 1 gam chất béo.
-
D.
tổng số mg KOH cần để trung hòa hết lượng acid béo tự do và xà phòng hóa hết lượng ester trong 1 gam chất béo.
Câu 8 :
Không nên dùng xô, chậu bằng nhôm (aluminium) để đựng quần áo ngâm xà phòng vì
-
A.
quần áo bị mục nhanh.
-
B.
quần áo bị bạc màu nhanh.
-
C.
quần áo không sạch.
-
D.
xô chậu nhanh hỏng do trong xà phòng có base.
Câu 9 :
Chất giặt rửa tổng hợp có ưu điểm hơn so với xà phòng vì
-
A.
dễ kiếm
-
B.
rẻ tiền hơn xà phòng.
-
C.
có thể dùng để giặt rửa cả trong nước cứng.
-
D.
có khả năng hoà tan tốt trong nước.
Câu 10 :
Xà phòng hóa hoàn toàn 17,6 gam hỗn hợp 2 ester là ethyl acetate và methyl propionate bằng lượng vừa đủ V (mL) dung dịch NaOH 0,5M. Giá trị V là
-
A.
200 ml.
-
B.
500 ml.
-
C.
400 ml.
-
D.
600 ml.
Câu 11 :
Cho các phát biểu sau về ứng dụng và trạng thái tự nhiên của tinh bột và cellulose
(a) Cả tinh bột và cellulose đều là chất rắn, màu trắng.
(b) Cellulose thành phần chính tạo nên màng tế bào thực vật.
(c) Tinh bột là nguyên liệu để sản xuất ethanol, chế tạo thuốc nổ, thuốc súng không khói.
(d) Tinh bột là chất rắn vô định hình, màu trắng, hầu như không tan trong nước lạnh và nước nóng.
Số phát biểu đúng là:
-
A.
3
-
B.
4
-
C.
1
-
D.
2
Câu 12 :
Ở dạng cấu tạo mạch vòng, nhóm -OH hemiacetal của glucose tác dụng với methanol khi có mặt của HCl khan, tạo thành methyl glucoside qua phản ứng nào sao đây ?
-
A.

-
B.

-
C.

-
D.

Câu 13 :
Cho 13,00 gam glucose tác dụng với lượng dư dung dịch AgNO3 trong NH3, đun nóng (hiệu suất phản ứng tráng bạc (silver) đạt 80%), khối lượng kết tủa silver (gam) thu được là
-
A.
7,80.
-
B.
6,24.
-
C.
15,60.
-
D.
12,48.
Câu 14 :
Lên men m gam glucose với hiệu suất 75%. Toàn bộ CO2 thoát ra được dẫn vào dung dịch nước vôi trong dư, thu được 40 gam kết tủa. Giá trị của m là:
-
A.
36.
-
B.
48.
-
C.
27.
-
D.
54.
Câu 15 :
Cho các carbohydrate: glucose, fructose, saccharose, maltose. Phát biểu sai là:
-
A.
Cả 4 chất ở điều kiện thường đều là chất rắn, vị ngọt, tan tốt trong nước.
-
B.
Có 2 cặp chất là đồng phân của nhau.
-
C.
Có 3 chất vừa có cấu tạo dạng mạch hở, vừa có cấu tạo dạng mạch vòng.
-
D.
Có 3 chất có nhóm -OH hemiacetal.
Câu 16 :
Thực phẩm nào sau đây chứa nhiều tinh bột?
-
A.
Cơm
-
B.
Trứng.
-
C.
Sữa.
-
D.
Thịt.
Câu 17 :
Đường X là một loại carbohydrate ở thể rắn, không màu, tan trong nước có vị ngọt và ngọt hơn đường nho nhưng không ngọt hơn đường mật ong. Trong phân tử chứa 1 gốc α-glucose và 1 gốc β-fructose. Vậy X là :
-
A.
Glucose.
-
B.
Maltose.
-
C.
Saccharose.
-
D.
Fructose.
Câu 18 :
Cho dãy chuyển hóa: Cellulose → A→ B → C→polibutadiene. A, B, C là những chất nào sau đây?
-
A.
CH3COOH, C2H5OH, CH3CHO
-
B.
glucose, C2H5OH, but-1,3-diene.
-
C.
glucose, CH3COOH, HCOOH
-
D.
CH3CHO, CH3COOH, C2H5OH.
Một sinh viên thực hiện quá trình tổng hợp ethyl acetate từ ethyl alcohol và acetic acid như sau:
Bước 1: Cho 1 mL C2H5OH, 1 mL CH3COOH và vài giọt dung dịch H2SO4 đặc vào ống nghiệm.
Bước 2: Lắc đều ống nghiệm, đun cách thuỷ (trong nồi nước nóng) khoảng 5 – 6 phút ở 65oC – 70oC.
Bước 3: Làm lạnh, sau đó tinh chế ethyl acetate.
a. Để tăng hiệu suất phản ứng, ở bước 2 nên đun sôi hỗn hợp thay vì chỉ đun hỗn hợp ở nhiệt độ 65oC – 70oC.
b. Biết sau nhiều giai đoạn trong quá trình tinh chế etyl axetat, sinh viên thu được ethyl acetate bị lẫn một ít nước trong bình nón Y. Để làm khô ethyl acetate có thể cho H2SO4 khan vào bình nón Y, lắc đều, sau đó để yên bình nón, H2SO4 hút nước vào tạo tinh thể bám vào đáy bình, lọc lấy ethyl acetate.
c. Phương pháp có thể được sử dụng trong việc tách biệt và tinh chế ethyl acetate ra khỏi hỗn hợp X gồm acetic acid, ethyl acetate, ethyl alcohol và H2SO4 là lắc hỗn hợp X với dung dịch Na2SO4 5%.
d. Sau bước 2, trong ống nghiệm vẫn còn C2H5OH và CH3COOH.
Ngành hoá học hữu cơ là ngành nghiên cứu về các hợp chất hữu cơ. Đây là một ngành khoa học triển vọng và đầy tiềm năng, vì một đặc điểm của phản ứng các hợp chất hữu cơ là thường xảy ra chậm, theo nhiều hướng và tạo ra hỗn hợp các sản phẩm. Dưới đây là một chuỗi các phản ứng hoá học liên quan đến chất hữu cơ X có công thức phân tử C4H6O4.

a. Y có số nguyên tử H là 3
b. Công thức cấu tạo của T là OHC – CH2COOH.
c. Phân tử khối của Z là 82
d. X có phản ứng tráng gương và làm mất màu dung dịch Br2 trong dung môi CCl4
Chất béo là một dạng lipid, nhẹ hơn nước và không tan trong nước nhưng tan trong các dung môi không phân cực như benzene, ether,... Ở nhiệt độ thường, chất béo chứa nhiều gốc acid béo không no thường ở thể lỏng (có nhiều trong dầu thực vật : dầu lạc, vừng hoặc từ động vật máu lạnh: dầu cá) ; chất béo chứa nhiều gốc acid béo no thường ở thể rắn (có nhiều trong mỡ động vật: mỡ bò, mỡ gà, mỡ cừu…).
Dầu hướng dương có hàm lượng các gốc oleate và gốc linoleate tới 85%, còn lại là gốc stearate và palmitate. Dầu cacao có hàm lượng gốc stearate và palmitate tới 75%, còn lại là gốc oleate và gốc linoleate.
a. Dầu cacao đông đặc ở nhiệt độ thấp hơn dầu hướng dương.
b. Nhờ những phản ứng sinh hóa phức tạp, chất béo bị oxi hóa chậm tạo thành CO2, H2O và cung cấp năng lượng cho cơ thể. Chất béo chưa sử dụng đến được tích lũy trong các mô mỡ.
c. Dầu thực vật sau khi rán có thể được dùng để tái chế thành nhiên liệu
d. Hydrogen hóa dầu thực vật lỏng thu được mỡ động vật rắn
Cellulose dinitrate và Cellulose trinitrate được sinh ra từ phản ứng giữa nitric acid đặc khi có mặt dung dịch sulfuric acid đặc.
a. Các nhóm hydroxy trong các đơn vị glucose của phân tử cellulose phản ứng ứng với dung dịch nitric acid đặc khi có mặt dung dịch sulfuric acid đặc tạo ra các sản phẩm như cellulose dinitrate và cellulose trinitrate
b. Cellulose trinitrate cháy nhanh, không khói, không tàn nên được sử dụng trong lĩnh vực quân sự.
c. Để làm vecni, tranh sơn dầu, người ta hoà tan cellulose dinitrate trong dung môi hữu cơ như acetone, ethyl acetate,… rồi quét lên bề mặt cần phủ.
d. Công thức của cellulose trinitrate là [C6H7O2(ONO2)2]n
Câu 1 :
Khối lượng gạo chứa 80% tinh bột cần dùng trong quá trình lên men để tạo thành 10 L ethanol 46º là (biết hiệu suất của quá trình là 72% và khối lượng riêng của ethanol là 0,8g/mL) bằng bao nhiêu kg? (làm tròn đến hàng phần mười)
Câu 2 :
Xà phòng hoá hoàn toàn 132,9 kg triglyceride bằng dung dịch NaOH vừa đủ, thu được 13,8 kg glycerol và muối dùng để làm xà phòng. Nếu dùng toàn bộ lượng muối trên trộn với chất phụ gia để sản xuất xà phòng thì thu được k bánh xà phòng, mỗi bánh nặng 100 gam (trong đó lượng muối của acid béo chiếm 74% về khối lượng). Giá trị của k là bao nhiêu (lấy kết quả làm tròn đến hàng đơn vị)
Câu 3 :
Thủy phân 10 gam một loại bông thiên nhiên trong dung dịch H2SO4 loãng, t0 sau đó lấy toàn bộ lượng glucose thu được đem phản ứng tráng bạc (silver) thu được 12,96 gam Ag. Hàm lượng cellulose có trong bông đó là a%. Xác định giá trị của a?
Câu 4 :
Dầu gió xanh Thiên Thảo là sản phẩm của Công ty Cổ phần Đông Nam Dược Trường Sơn, dùng để chủ trị: Cảm, ho, sổ mũi, nhức đầu, say nắng, trúng gió, say tàu xe, buồn nôn, đau bụng, sưng viêm, nhức mỏi, muỗi chích, kiến cắn, tê thấp tay chân.Thành phần một chai dầu 12 mL gồm: tinh dầu bạc hà: 0,36ml, Menthol: 2,52g, Methyl salicylate: 2,16g, Eucalyptol: 0,72ml, tinh dầu Đinh hương: 0,24ml, Long não: 0,36g. Methyl salicylate điều chế theo phản ứng sau:

Để sản xuất một triệu hộp 12 chai dầu trên cần tối thiểu m tấn salicylic acid, với hiệu suất cả quá trình là 80%. Giá trị của m là
Lời giải và đáp án
Câu 1 :
Khi thay nhóm –OH trong nhóm carboxyl của carboxylic acid bằng nhóm –OR' thì được ester. Công thức phân tử tổng quát của loại ester được nói đến nào sau đây sai?
-
A.
Ester no, đơn chức, mạch hở : CnH2nO2
-
B.
Ester no, 2 chức mạch hở : CnH2n–2O4
-
C.
Ester 2 chức, không no, có một liên kết đôi C=C : CnH2n–4O4
-
D.
Ester mạch hở, có 2 liên kết đôi : CnH2n–4O2
Đáp án : D
Dựa vào công thức tổng quát của ester.
Ester mạch hở, có 2 liên kết đôi (C=C): CnH2n–4O2
D sai, vì trong ester đơn chức luôn có 1 liên kết đôi C=O.
Đáp án D
Câu 2 :
Cho các ester sau :

Danh pháp lần lượt của các ester A, B, C, D là :
-
A.
Allyl formate ; Isopropyl methanoate ; Methyl arcylate ; Methyl methanoate
-
B.
Vinyl acetate ; Isopropyl methanoate ; Methyl metharcylate ; Methyl ethanoate
-
C.
Propyl formate ; Isopropyl methanoate ; Methyl arcylate ; Methyl formate
-
D.
Allyl formate ; Isopropyl methanoate ; Ethenyl formate ; Methyl methanoate
Đáp án : A
Dựa vào danh pháp của ester.
(A): allyl formate
(B): isopropyl methanoate
(C): methyl acrylate
(D): methyl methanoate
Đáp án A
Câu 3 :
Cho các phát biểu sau :
(I) Vì nguồn cung cấp acid béo omega-3 phổ biến hơn so với acid béo omega-6 nên để có chế độ dinh dưỡng cân bằng, cần chú ý tăng cường sử dụng các thực phẩm giàu acid béo omega-6.
(II) Triglyceride là triester của glycerol với acid béo
(III) chất béo thuộc loại hợp chất este.
(III) Một số loại dầu thực vật được dùng làm nhiên liệu sinh học (biodiesel).
(IV) Mỡ động vật, dầu thực vật có thể được dùng làm nguyên liệu để sản xuất xà phòng.
(V) Với acid béo không no, số thứ tự chỉ vị trí liên kết đôi đầu tiên tính từ đuôi CH3 là n thì acid béo thuộc nhóm omega-n.
(VI) Chất béo lỏng là các triglyceride chứa gốc acid không no trong phân tử.
(VII) Chất béo ở thể lỏng chỉ có nguồn gốc từ thực vật (dầu lạc, vừng, đậu nành,...)
(VIII) Chất béo ở thể rắn chỉ có nguồn gốc từ động vật (mỡ bò, mỡ gà, mỡ cừu…)
(IX) Thủy phân chất béo trong môi trường có H+ hay môi trường kiềm đều tạo ra một alcohol có đặc điểm là : Hòa tan được Cu(OH)2 ; sánh, lỏng ; được điều chế từ propene trong công nghiệp.
Số phát biểu sai là :
-
A.
4
-
B.
3
-
C.
2
-
D.
1
Đáp án : C
Dựa vào cấu tạo của chất béo.
(I) sai vì nguồn cung cấp omega – 6 phổ biến hơn so với omega – 3, chúng ta cần tập trung vào việc tăng lượng omega-3 để đạt được tỷ lệ cân bằng giữa hai loại acid béo này.
(VII) sai vì chất béo ở thể lỏng có cả ở nguồn gốc từ động vật như dầu cá.
Đáp án C
Câu 4 :
Linalyl acetate là một este của Linalool, có nguồn gốc tự nhiên được tìm thấy trong nhiều loại hoa và gia vị, mỹ phẩm. Đây là một trong những thành phần chính của tinh dầu cam bergamot và mùi thơm của hoa oải hương (lavande).

Công thức phân tử đơn giản nhất của Linalyl acetate là :
-
A.
C6H11O2
-
B.
C6H10O
-
C.
C12H20O2
-
D.
C12H22O2
Đáp án : B
Dựa vào công thức cấu tạo của Linalyl acetate.
Công thức phân tử của linalyl acetate là: C6H10O.
Đáp án B
Câu 5 :
Ethylhexyl Palmitate còn có tên gọi khác là Octyl palmitate. Ethylhexyl palmitate được ứng dụng rất phổ biến trong mỹ phẩm và sản phẩm khác với chức năng như một chất làm mềm, dung môi, làm ướt sắc tố và cố định hương thơm. Ethylhexyl Palmitate có công thức cấu tạo như sau :

Biết để sản xuất 1000 thỏi son thì cần pha trộn thêm 12% Ethylhexyl Palmitate. Trong công nghiệp, . Ethylhexyl Palmitate được điều chế bằng phản ứng ester hóa giữa acid X và alcohol Y.
Phát biểu nào sau đây sai ?
-
A.
Trong phân tử X có số nguyên tử hydrogen gấp 2 lần số nguyên tử carbon
-
B.
Phân tử X có số nguyên tử carbon gấp 2 lần số nguyên tử carbon trong phân tử Y
-
C.
Phần trăm nguyên tử carbon trong Ethylhexyl Palmitate là 13,045%
-
D.
Chất X có ít hơn linoleic acid 2 liên kết và ít hơn oleic acid 1 liên kết \(\pi \)
Đáp án : C
Dựa vào công thức cấu tạo của ethylhexyl palimate
Ethylhexyl palmitate hay Octyl palmitae có công thức phân tử: C15H31COOC8H17
%C trong Ethylhexyl Palmitate là 13,043%
Đáp án C
Câu 6 :
Một sinh viên thực hiện thí nghiệm tổng hợp ethyl acetate từ ethyl alcohol và acetic acid (xúc tác acid H2SO4). Sinh viên thu được hỗn hợp Y gồm acetic acid, ethyl acetate, ethyl alcohol và chất xúc tác. Hãy đề xuất phương pháp tách ester ra khỏi hỗn hợp trên.
-
A.
Đun nóng hỗn hợp Y, sau đó thu toàn bộ chất bay hơi vì ethyl acetate dễ bay hơi hơn so với ethyl alcohol và acetic acid.
-
B.
Rửa hỗn hợp Y với nước để loại xúc tác. Sau đó cô cạn hỗn hợp sau khi rửa thu được chất không bay hơi là ethyl acetate (vì ethyl acetate có khối lượng phân tử lớn nên khó bay hơi).
-
C.
Cho NaHCO3 rắn dư vào hỗn hợp Y, acetic acid và H2SO4 phản ứng với NaHCO3 tạo muối, ethyl acetate không phản ứng và không tan trong nước tách ra khỏi hỗn hợp.
-
D.
Lắc hỗn hợp Y với dung dịch NaHCO3 5%. Acetic acid và xúc tác H2SO4 phản ứng với NaHCO3 tạo muối. Các muối và ethyl alcohol tan tốt trong nước, ethyl acetate không tan trong nước sẽ tách lớp.
Đáp án : D
Dựa vào phương pháp điều chế ester.
Để tách ester ra khỏi hỗn hợp trên có thể lắc hỗn hợp Y với dung dịch NaHCO3 5%. Acetic acid và xúc tác H2SO4 phản ứng với NaHCO3 tạo muối, các muối và ethyl alcohol tan tốt trong nước, ethyl acetate không tan trong nước sẽ tách lớp.
Đáp án D
Câu 7 :
Chỉ số xà phòng hóa là
-
A.
chỉ số acid của chất béo.
-
B.
số mol NaOH cần dùng để xà phòng hóa hoàn toàn 1 gam chất béo
-
C.
số mol KOH cần dùng để xà phòng hóa hoàn toàn 1 gam chất béo.
-
D.
tổng số mg KOH cần để trung hòa hết lượng acid béo tự do và xà phòng hóa hết lượng ester trong 1 gam chất béo.
Đáp án : D
Dưa vào khái niệm chỉ số xà phòng hóa.
Chỉ số xà phòng hóa là tổng số mg KOH cần để trung hòa hết lượng acid béo tự do và xà phòng hóa hết lượng ester trong 1 gam chất béo.
Đáp án D
Câu 8 :
Không nên dùng xô, chậu bằng nhôm (aluminium) để đựng quần áo ngâm xà phòng vì
-
A.
quần áo bị mục nhanh.
-
B.
quần áo bị bạc màu nhanh.
-
C.
quần áo không sạch.
-
D.
xô chậu nhanh hỏng do trong xà phòng có base.
Đáp án : D
Dựa vào cấu tạo của xà phòng.
Vì xà phòng có tính base có thể ăn mòn xô, chậm bằng nhôm.
Đáp án D
Câu 9 :
Chất giặt rửa tổng hợp có ưu điểm hơn so với xà phòng vì
-
A.
dễ kiếm
-
B.
rẻ tiền hơn xà phòng.
-
C.
có thể dùng để giặt rửa cả trong nước cứng.
-
D.
có khả năng hoà tan tốt trong nước.
Đáp án : C
Dựa vào ưu, nhược điểm của chất giặt rửa tổng hợp.
Chất giặt rửa tổng hợp có thể dùng được trong nước cứng.
Đáp án C
Câu 10 :
Xà phòng hóa hoàn toàn 17,6 gam hỗn hợp 2 ester là ethyl acetate và methyl propionate bằng lượng vừa đủ V (mL) dung dịch NaOH 0,5M. Giá trị V là
-
A.
200 ml.
-
B.
500 ml.
-
C.
400 ml.
-
D.
600 ml.
Đáp án : C
Dựa vào tính chất hóa học của ester.
Ethyl acetate và methyl propionate có cùng phân tử là C4H8O2.
n C4H8O2 = \(\frac{{17,6}}{{88}} = 0,2mol\)
n ester = n NaOH = 0,2 mol
V NaOH = 0,2 : 0,5 = 0,4l = 400ml
Đáp án C
Câu 11 :
Cho các phát biểu sau về ứng dụng và trạng thái tự nhiên của tinh bột và cellulose
(a) Cả tinh bột và cellulose đều là chất rắn, màu trắng.
(b) Cellulose thành phần chính tạo nên màng tế bào thực vật.
(c) Tinh bột là nguyên liệu để sản xuất ethanol, chế tạo thuốc nổ, thuốc súng không khói.
(d) Tinh bột là chất rắn vô định hình, màu trắng, hầu như không tan trong nước lạnh và nước nóng.
Số phát biểu đúng là:
-
A.
3
-
B.
4
-
C.
1
-
D.
2
Đáp án : D
Dựa vào tính chất của tinh bột và cellulose.
a, b đúng
c sai vì tinh bột không dùng để chế tạo thuốc nổ, thuốc súng không khói.
d sai tinh bột có thể tan một phần trong nước nóng.
Đáp án D
Câu 12 :
Ở dạng cấu tạo mạch vòng, nhóm -OH hemiacetal của glucose tác dụng với methanol khi có mặt của HCl khan, tạo thành methyl glucoside qua phản ứng nào sao đây ?
-
A.

-
B.

-
C.

-
D.

Đáp án : A
Dựa vào tính chất hóa học của glucose.

Câu 13 :
Cho 13,00 gam glucose tác dụng với lượng dư dung dịch AgNO3 trong NH3, đun nóng (hiệu suất phản ứng tráng bạc (silver) đạt 80%), khối lượng kết tủa silver (gam) thu được là
-
A.
7,80.
-
B.
6,24.
-
C.
15,60.
-
D.
12,48.
Đáp án : D
Dựa vào tính chất hóa học của glucose.
n glucose = 13 : 180 = \(\frac{{13}}{{180}}mol\)
n Ag = 2. n glucose.80% = \(2.\frac{{13}}{{180}}.80\% = \frac{{26}}{{225}}mol\)
m Ag = \(\frac{{26}}{{225}}.108 = 12,48g\)
Đáp án D
Câu 14 :
Lên men m gam glucose với hiệu suất 75%. Toàn bộ CO2 thoát ra được dẫn vào dung dịch nước vôi trong dư, thu được 40 gam kết tủa. Giá trị của m là:
-
A.
36.
-
B.
48.
-
C.
27.
-
D.
54.
Đáp án : B
Dựa vào tính chất hóa học của glucose.
CO2 + Ca(OH)2 \( \to \)CaCO3 + H2O
n CaCO3 = 40 : 100 = 0,4 mol
n CO2 = n CaCO3 = 0,4 mol

m glucose = \(\frac{4}{{15}}\).180=48g
Đáp án B
Câu 15 :
Cho các carbohydrate: glucose, fructose, saccharose, maltose. Phát biểu sai là:
-
A.
Cả 4 chất ở điều kiện thường đều là chất rắn, vị ngọt, tan tốt trong nước.
-
B.
Có 2 cặp chất là đồng phân của nhau.
-
C.
Có 3 chất vừa có cấu tạo dạng mạch hở, vừa có cấu tạo dạng mạch vòng.
-
D.
Có 3 chất có nhóm -OH hemiacetal.
Đáp án : D
Dựa vào tính chất của carbohydrate.
D sai vì glucose và maltose có nhóm – OH hemiacetal.
Đáp án D
Câu 16 :
Thực phẩm nào sau đây chứa nhiều tinh bột?
-
A.
Cơm
-
B.
Trứng.
-
C.
Sữa.
-
D.
Thịt.
Đáp án : A
Dựa vào trạng thái tự nhiên của tinh bột.
Trong cơm chứa nhiều tinh bột.
Đáp án A
Câu 17 :
Đường X là một loại carbohydrate ở thể rắn, không màu, tan trong nước có vị ngọt và ngọt hơn đường nho nhưng không ngọt hơn đường mật ong. Trong phân tử chứa 1 gốc α-glucose và 1 gốc β-fructose. Vậy X là :
-
A.
Glucose.
-
B.
Maltose.
-
C.
Saccharose.
-
D.
Fructose.
Đáp án : C
Dựa vào cấu tạo của carbohydrate.
Saccharose có chứa 1 gốc α-glucose và 1 gốc β-fructose
Đáp án C
Câu 18 :
Cho dãy chuyển hóa: Cellulose → A→ B → C→polibutadiene. A, B, C là những chất nào sau đây?
-
A.
CH3COOH, C2H5OH, CH3CHO
-
B.
glucose, C2H5OH, but-1,3-diene.
-
C.
glucose, CH3COOH, HCOOH
-
D.
CH3CHO, CH3COOH, C2H5OH.
Đáp án : B
Dựa vào tính chất hóa học của cellulose.

A, B, C lần lượt là: glucose, C2H5OH, but-1,3-diene.
Đáp án B
Một sinh viên thực hiện quá trình tổng hợp ethyl acetate từ ethyl alcohol và acetic acid như sau:
Bước 1: Cho 1 mL C2H5OH, 1 mL CH3COOH và vài giọt dung dịch H2SO4 đặc vào ống nghiệm.
Bước 2: Lắc đều ống nghiệm, đun cách thuỷ (trong nồi nước nóng) khoảng 5 – 6 phút ở 65oC – 70oC.
Bước 3: Làm lạnh, sau đó tinh chế ethyl acetate.
a. Để tăng hiệu suất phản ứng, ở bước 2 nên đun sôi hỗn hợp thay vì chỉ đun hỗn hợp ở nhiệt độ 65oC – 70oC.
b. Biết sau nhiều giai đoạn trong quá trình tinh chế etyl axetat, sinh viên thu được ethyl acetate bị lẫn một ít nước trong bình nón Y. Để làm khô ethyl acetate có thể cho H2SO4 khan vào bình nón Y, lắc đều, sau đó để yên bình nón, H2SO4 hút nước vào tạo tinh thể bám vào đáy bình, lọc lấy ethyl acetate.
c. Phương pháp có thể được sử dụng trong việc tách biệt và tinh chế ethyl acetate ra khỏi hỗn hợp X gồm acetic acid, ethyl acetate, ethyl alcohol và H2SO4 là lắc hỗn hợp X với dung dịch Na2SO4 5%.
d. Sau bước 2, trong ống nghiệm vẫn còn C2H5OH và CH3COOH.
a. Để tăng hiệu suất phản ứng, ở bước 2 nên đun sôi hỗn hợp thay vì chỉ đun hỗn hợp ở nhiệt độ 65oC – 70oC.
b. Biết sau nhiều giai đoạn trong quá trình tinh chế etyl axetat, sinh viên thu được ethyl acetate bị lẫn một ít nước trong bình nón Y. Để làm khô ethyl acetate có thể cho H2SO4 khan vào bình nón Y, lắc đều, sau đó để yên bình nón, H2SO4 hút nước vào tạo tinh thể bám vào đáy bình, lọc lấy ethyl acetate.
c. Phương pháp có thể được sử dụng trong việc tách biệt và tinh chế ethyl acetate ra khỏi hỗn hợp X gồm acetic acid, ethyl acetate, ethyl alcohol và H2SO4 là lắc hỗn hợp X với dung dịch Na2SO4 5%.
d. Sau bước 2, trong ống nghiệm vẫn còn C2H5OH và CH3COOH.
Dựa vào điều chế ester.
a. đúng
b. sai, dùng Na2SO4 để hút nước và tạo tinh thể bám vào đáy bình
c. sai, dùng NaHCO3 , Vì acetic acid và xúc tác H2SO4 phản ứng với NaHCO3 tạo muối. Các muối và ethyl alcohol tan tốt trong nước, ethyl acetate không tan trong nước sẽ tách lớp.
d. đúng
Ngành hoá học hữu cơ là ngành nghiên cứu về các hợp chất hữu cơ. Đây là một ngành khoa học triển vọng và đầy tiềm năng, vì một đặc điểm của phản ứng các hợp chất hữu cơ là thường xảy ra chậm, theo nhiều hướng và tạo ra hỗn hợp các sản phẩm. Dưới đây là một chuỗi các phản ứng hoá học liên quan đến chất hữu cơ X có công thức phân tử C4H6O4.

a. Y có số nguyên tử H là 3
b. Công thức cấu tạo của T là OHC – CH2COOH.
c. Phân tử khối của Z là 82
d. X có phản ứng tráng gương và làm mất màu dung dịch Br2 trong dung môi CCl4
a. Y có số nguyên tử H là 3
b. Công thức cấu tạo của T là OHC – CH2COOH.
c. Phân tử khối của Z là 82
d. X có phản ứng tráng gương và làm mất màu dung dịch Br2 trong dung môi CCl4
Dựa vào tính chất hóa học của ester.
T + 4[Ag(NH3)2]OH \( \to \)(NH4)2CO3 + 4Ag + 6NH3 + 2H2O \( \to \)T: HCHO
Z + HCl \( \to \)CH2O2 + NaCl \( \to \)Z: HCOONa \( \to \)Y: CH3COONa
X (C4H6O4) + 2NaOH \( \to \)CH3COONa (Y) + HCOONa (Z) + HCHO (T) + H2O
\( \to \)X: HCOOCH2OOCH3
a. đúng
b. sai, T là HCHO
c. sai, phân tử khối của X là 68amu
d. đúng
Chất béo là một dạng lipid, nhẹ hơn nước và không tan trong nước nhưng tan trong các dung môi không phân cực như benzene, ether,... Ở nhiệt độ thường, chất béo chứa nhiều gốc acid béo không no thường ở thể lỏng (có nhiều trong dầu thực vật : dầu lạc, vừng hoặc từ động vật máu lạnh: dầu cá) ; chất béo chứa nhiều gốc acid béo no thường ở thể rắn (có nhiều trong mỡ động vật: mỡ bò, mỡ gà, mỡ cừu…).
Dầu hướng dương có hàm lượng các gốc oleate và gốc linoleate tới 85%, còn lại là gốc stearate và palmitate. Dầu cacao có hàm lượng gốc stearate và palmitate tới 75%, còn lại là gốc oleate và gốc linoleate.
a. Dầu cacao đông đặc ở nhiệt độ thấp hơn dầu hướng dương.
b. Nhờ những phản ứng sinh hóa phức tạp, chất béo bị oxi hóa chậm tạo thành CO2, H2O và cung cấp năng lượng cho cơ thể. Chất béo chưa sử dụng đến được tích lũy trong các mô mỡ.
c. Dầu thực vật sau khi rán có thể được dùng để tái chế thành nhiên liệu
d. Hydrogen hóa dầu thực vật lỏng thu được mỡ động vật rắn
a. Dầu cacao đông đặc ở nhiệt độ thấp hơn dầu hướng dương.
b. Nhờ những phản ứng sinh hóa phức tạp, chất béo bị oxi hóa chậm tạo thành CO2, H2O và cung cấp năng lượng cho cơ thể. Chất béo chưa sử dụng đến được tích lũy trong các mô mỡ.
c. Dầu thực vật sau khi rán có thể được dùng để tái chế thành nhiên liệu
d. Hydrogen hóa dầu thực vật lỏng thu được mỡ động vật rắn
Dựa vào ứng dụng của dầu cacao và dầu thực vật.
a. sai, dầu cacao đông đặc ở nhiệt độ cao hơn dầu hướng dương do có nhiều gốc no hơn.
b. đúng
c. đúng
d. sai, hydrogen hóa dầu thực vật lỏng thu được dạng rắn ở nhiệt độ phòng.
Cellulose dinitrate và Cellulose trinitrate được sinh ra từ phản ứng giữa nitric acid đặc khi có mặt dung dịch sulfuric acid đặc.
a. Các nhóm hydroxy trong các đơn vị glucose của phân tử cellulose phản ứng ứng với dung dịch nitric acid đặc khi có mặt dung dịch sulfuric acid đặc tạo ra các sản phẩm như cellulose dinitrate và cellulose trinitrate
b. Cellulose trinitrate cháy nhanh, không khói, không tàn nên được sử dụng trong lĩnh vực quân sự.
c. Để làm vecni, tranh sơn dầu, người ta hoà tan cellulose dinitrate trong dung môi hữu cơ như acetone, ethyl acetate,… rồi quét lên bề mặt cần phủ.
d. Công thức của cellulose trinitrate là [C6H7O2(ONO2)2]n
a. Các nhóm hydroxy trong các đơn vị glucose của phân tử cellulose phản ứng ứng với dung dịch nitric acid đặc khi có mặt dung dịch sulfuric acid đặc tạo ra các sản phẩm như cellulose dinitrate và cellulose trinitrate
b. Cellulose trinitrate cháy nhanh, không khói, không tàn nên được sử dụng trong lĩnh vực quân sự.
c. Để làm vecni, tranh sơn dầu, người ta hoà tan cellulose dinitrate trong dung môi hữu cơ như acetone, ethyl acetate,… rồi quét lên bề mặt cần phủ.
d. Công thức của cellulose trinitrate là [C6H7O2(ONO2)2]n
Dựa vào ứng dụng của cellulose.
a. đúng
b. đúng
c. đúng
d. sai, Công thức của cellulose trinitrate là [C6H7O2(ONO2)3]n
Câu 1 :
Khối lượng gạo chứa 80% tinh bột cần dùng trong quá trình lên men để tạo thành 10 L ethanol 46º là (biết hiệu suất của quá trình là 72% và khối lượng riêng của ethanol là 0,8g/mL) bằng bao nhiêu kg? (làm tròn đến hàng phần mười)
Dựa vào tính chất hóa học của tinh bột.
Thể tích ethanol nguyên chất là: 10.46% = 4,6 lít
m C2H5OH = D.V = 4,6.0,8 .103 = 3680g

m tinh bột = \(\frac{{3680.162}}{{92}}:72\% = 9000g = 9kg\)
khối lượng gạo là: 9 : 80% = 11,25kg
Câu 2 :
Xà phòng hoá hoàn toàn 132,9 kg triglyceride bằng dung dịch NaOH vừa đủ, thu được 13,8 kg glycerol và muối dùng để làm xà phòng. Nếu dùng toàn bộ lượng muối trên trộn với chất phụ gia để sản xuất xà phòng thì thu được k bánh xà phòng, mỗi bánh nặng 100 gam (trong đó lượng muối của acid béo chiếm 74% về khối lượng). Giá trị của k là bao nhiêu (lấy kết quả làm tròn đến hàng đơn vị)
Dựa vào tính chất hóa học của chất béo.
Gọi công thức tổng quát của triglyceride là: (RCOO)3C3H5; Muối: RCOONa
n triglyceride = n glycerol = \(\frac{{13,8}}{{92}} = 0,15k.mol\)
M triglyceride = \(\frac{{132,9}}{{0,15}} = 886{\rm{a}}mu\)= (R + 44).3 + 41
\( \to \)R = \(\frac{{713}}{3}\)amu
\( \to \)m muối = 0,15.3.(\(\frac{{713}}{{3 + 67)}} = 137,1kg\)
\( \to \)m xà phòng = 137,1 : 74% \( \approx \)185,27kg = 185270g
Giá trị k = 185270 : 100 \( \approx \)1852 bánh xà phòng.
Câu 3 :
Thủy phân 10 gam một loại bông thiên nhiên trong dung dịch H2SO4 loãng, t0 sau đó lấy toàn bộ lượng glucose thu được đem phản ứng tráng bạc (silver) thu được 12,96 gam Ag. Hàm lượng cellulose có trong bông đó là a%. Xác định giá trị của a?
Dựa vào tính chất của cellulose.
n Ag = 12,96 : 108 = 0,12 mol
(C6H10O5)n \( \to \) n C6H12O6 \( \to \) 2nAg
0,06 \( \leftarrow \) 0,12
m cellulose = 0,06.162 = 9,72g
Hàm lượng cellulose có trong bông là: \(\frac{{9,72}}{{10}}.100 = 97,2\% \)
Câu 4 :
Dầu gió xanh Thiên Thảo là sản phẩm của Công ty Cổ phần Đông Nam Dược Trường Sơn, dùng để chủ trị: Cảm, ho, sổ mũi, nhức đầu, say nắng, trúng gió, say tàu xe, buồn nôn, đau bụng, sưng viêm, nhức mỏi, muỗi chích, kiến cắn, tê thấp tay chân.Thành phần một chai dầu 12 mL gồm: tinh dầu bạc hà: 0,36ml, Menthol: 2,52g, Methyl salicylate: 2,16g, Eucalyptol: 0,72ml, tinh dầu Đinh hương: 0,24ml, Long não: 0,36g. Methyl salicylate điều chế theo phản ứng sau:

Để sản xuất một triệu hộp 12 chai dầu trên cần tối thiểu m tấn salicylic acid, với hiệu suất cả quá trình là 80%. Giá trị của m là
Dựa vào điều chế ester
mmethyl salicylate = 1.106.12.2,16 = 25 920 000 gam = 25,92 tấn.

m salicylic acid = \(\frac{{25,92.138}}{{152}}:80\% = 29,42\tan \)
Đề thi giữa kì 1 Hóa 12 Cánh diều - Đề số 6
Phần I. Trắc nghiệm
Xem chi tiết
Đề thi giữa kì 1 Hóa 12 Cánh diều - Đề số 7
Phần I. Trắc nghiệm
Xem chi tiết
Đề thi giữa kì 1 Hóa 12 Cánh diều - Đề số 8
Phần I. Trắc nghiệm
Xem chi tiết
Đề thi giữa kì 1 Hóa 12 Cánh diều - Đề số 9
Phần I. Trắc nghiệm
Xem chi tiết
Đề thi giữa kì 1 Hóa 12 Cánh diều - Đề số 10
Phần I. Trắc nghiệm
Xem chi tiết
Đề thi giữa kì 1 Hóa 12 Cánh diều - Đề số 4
Cho các chất có công thức như sau:
Xem chi tiết
Đề thi giữa kì 1 Hóa 12 Cánh diều - Đề số 3
Dung dịch nào sau đây có phản ứng tráng bạc?
Xem chi tiết
Đề thi giữa kì 1 Hóa 12 Cánh diều - Đề số 2
Hợp chất X có công thức cấu tạo: C2H5COOCH3. Tên gọi của X là:
Xem chi tiết
Đề thi giữa kì 1 Hóa 12 Cánh diều - Đề số 1
Chất béo là thành phần chính trong dầu thực vật và mỡ động vật.
Xem chi tiết