Tải về
Ester được tạo bởi methanol và acetic acid có công thức cấu tạo là
Đề bài
Câu 1 :
Ester được tạo bởi methanol và acetic acid có công thức cấu tạo là
-
A.
HCOOCH3
-
B.
CH3COOC2H5
-
C.
HCOOC2H5
-
D.
CH3COOCH3.
Câu 2 :
Xà phòng hóa hoàn toàn ester có công thức hóa học CH3COOC2H5 trong dung dịch KOH dư đun nóng, thu được sản phẩm gồm
-
A.
CH3COOH và C2H5OH
-
B.
CH3COOK và C2H5OH
-
C.
C2H5COOK và CH3OH
-
D.
HCOOK và C3H7OH.
Câu 3 :
Tính chất vật lí chung của chất béo là
-
A.
ít tan trong nước và nhẹ hơn nước.
-
B.
dễ tan trong nước và nhẹ hơn nước.
-
C.
ít tan trong nước và nặng hơn nước.
-
D.
dễ tan trong nước và nặng hơn nước.
Câu 4 :
Sáp ong do ong thợ tiết ra và xây dựng tạo thành tổ ong để lưu trữ mật ong và bảo vệ ấu trùng (nhộng). Trong sáp ong có chứa thành phần chính là triacontanyl palmitate (C15H31COOC30H61). Ester này thuộc loại
-
A.
không no, đơn chức
-
B.
không no, đa chức
-
C.
no, đơn chức
-
D.
no, đa chức.
Câu 5 :
Ứng với công thức phân tử C5H10O2 có bao nhiêu ester là đồng phân cấu tạo của nhau?
-
A.
6
-
B.
7
-
C.
8
-
D.
9
Câu 6 :
X, Y, Z là 3 chất hữu cơ đươc kí hiệu ngẫu nhiên trong số các chất HCOOCH3, CH3COOH và CH3CH2CH2OH. Nhiệt độ sôi của X, Y, Z được cho trong bảng sau:

Các chất X, Y lần lượt là
-
A.
HCOOCH3 và CH3COOH.
-
B.
CH3COOH và HCOOCH3.
-
C.
CH3CH2CH2OH và CH3COOH.
-
D.
HCOOCH3 và CH3CH2CH2OH.
Câu 7 :
Để xà phòng hóa hoàn toàn 2,64g một ester no, đơn chức, mạch hở X cần dùng 30,0 ml dung dịch NaOH 1,0M. Công thức phân tử của ester X là
-
A.
C3H6O2
-
B.
C4H8O2
-
C.
C5H10O2
-
D.
C6H10O2
Câu 8 :
Chất nào sau đây là thành phần chính của chất giặt rửa tổng hợp?
-
A.
C15H31COONa
-
B.
(C17H35COO)2Ca.
-
C.

-
D.
C17H35COOK
Câu 9 :
Phát biểu nào sau đây về xà phòng là đúng?
-
A.
Xà phòng có thành phần chính là muối sodium hoặc potassium của carboxylic acid.
-
B.
Các phân tử xà phòng đều có đầu kị nước gắn với đuôi dài ưa nước.
-
C.
Xà phòng mất tính giặt rửa khi sử dụng với nước cứng.
-
D.
Nhược điểm của xà phòng là khó bị phân hủy hoặc phân hủy chậm, do đó gây hại cho hệ sinh thái.
Câu 10 :
Không nên dùng xà phòng khi giặt rửa với nước cứng vì
-
A.
cần dùng lượng nước nhiều hơn.
-
B.
gây ô nhiễm môi trường.
-
C.
ion Ca2+, Mg2+ làm giảm độ bền sợi vải.
-
D.
xuất hiện kết tủa làm giảm tác dụng giặt rửa của xà phòng.
Câu 11 :
Glucose và fructose thuộc loại carbohydrate nào sau đây?
-
A.
Monosaccharide
-
B.
Disaccharide.
-
C.
Polysaccharide
-
D.
Oligosaccharide.
Câu 12 :
Dung dịch glucose không có tính chất hóa học nào sau đây?
-
A.
Phản ứng với Cu(OH)2.
-
B.
Phản ứng với thuốc thửu Tollens.
-
C.
Phản ứng với nước bromine.
-
D.
Phản ứng thủy phân.
Câu 13 :
Trong các phát biểu sau đây, phát biểu nào không đúng?
-
A.
Glucose và fructose là hai đồng phân cấu tạo.
-
B.
Saccharose và maltose là hai đồng phân cấu tạo.
-
C.
Tinh bột và cellulose là hai đồng phân cấu tạo.
-
D.
Glucose, fructose, saccharose, maltose, tinh bột, cellulose đều là carbohydrate.
Câu 14 :
Cho các phát biểu sau về glucose và fructose:
(1) Glucose và fructose là hai đồng phân lập thể.
(2) Fructose còn được gọi là đường trái cây và là carbohydrate tự nhiên có vị ngọt nhất.
(3) Glucose là carbohydrate mà có thể sử dụng làm nhiên liệu.
(4) Người mắc bệnh đái tháo đường có lượng glucose trong máu cao hơn mức bình thường.
Số phát biểu đúng là
-
A.
1
-
B.
2
-
C.
3
-
D.
4
Câu 15 :
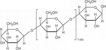
Quan sát cấu trúc phân tử carbohydrate X được cho dưới đây:

Phát biểu nào sau đây là đúng về carbohydrate X?
-
A.
X có nhiều trong trái cây chín.
-
B.
X chỉ có cấu trúc mạch không phân nhánh.
-
C.
X có vị ngọt hơn glucose.
-
D.
X là thành phần chính của các loại hạt như ngô, gạo, đậu, ...
Câu 16 :
Cho các phát biểu sau về carbohydrate:
a) Saccharose và fructose không phải là đường khử.
b) Amylopectin phân nhánh là do sự xuất hiện của liên kết \(\alpha - \)1,6 – glycoside.
c) Cellulose không phân nhánh do chỉ xuất hiện liên kết \(\beta - \)1,4 – glycoside.
d) Số nhóm – OH trong phân tử saccharose là 8.
Số phát biểu đúng là
-
A.
1
-
B.
2
-
C.
3
-
D.
4
Câu 17 :
Thuỷ phân 1 kg gạo chứa 75% tinh bột trong môi trường acid. Biết hiệu suất phản ứng đạt 80% thì lượng glucose thu được là
-
A.
222,2 g
-
B.
1041,7 g
-
C.
666,7 g
-
D.
888,6g
Câu 18 :
Thuỷ phân hoàn toàn 11,44 gam ester no, đơn chức, mạch hở X với 100 mL dung dịch NaOH 1,3 M (vừa đủ) thu được 5,98 gam một alcohol Y. Tên gọi của X là
-
A.
ethyl formate.
-
B.
ethyl acetate.
-
C.
ethyl propionate.
-
D.
propyl acetate.
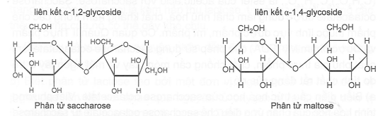
Cấu trúc phân tử saccharose và maltose được cho dưới đây:

Phân tử Saccharose không còn nhóm – OH hemiacetal và nhóm – OH hemiketal.
Phân tử Saccharose và maltose đều không có khả năng mở vòng.
Phân tử Saccharose tạo bởi một đơn vị \(\beta - \)glucose và một đơn vị \(\alpha - \)fructose, liên kết với nhau qua nguyên tử oxygen giữa C1 của đơn vị \(\beta - \)glucose và C4 của đơn vị \(\alpha - \)fructose.
Saccharose và maltose đều là các disaccharide.
Phổ khối lượng của ester E được cho dưới đây:

Ester E có khối lượng phân tử là M = 60.
E là ester của methyl alcohol.
Nhiệt độ sôi của E cao hơn ethyl alcohol.
Xà phòng hóa E bằng dung dịch NaOH thu được muối có công thức CHO2Na
Cho các chất sau:

Sodium palmitate và sodium laurylsulfate đều là thành phần chính của xà phòng.
Sodium palmitate và sodium laurylsulfate đếu có tính năng giặt rửa.
Sodium palmitate và sodium laurylsulfate đều tạo muối khó tan trong nước cứng.
Sodium palmitate và sodium laurylsulfate đều có đầu ưa nước gắn với đuôi kị nước.
Carbohydrate có nhiều ứng dụng trong đời sống:
Cellulose là thành phần chính của cấu trúc tế bào thực vật.
Tinh bột là nguồn cung cấp năng lượng quan trọng của con người.
Fructose là đường có nhiều trong mật ong và trái cây.
Glucose là sản phẩm duy nhất của quá trình quang hợp.
Câu 1 :
Một nhóm học sinh muốn thử nghiệm phản ứng tráng bạc lên kính bằng nguyên liệu đầu là glucose. Giả sử lớp bạc có diện tích là 100 cm2 và độ dày là 0,5μm. Biết rằng khối lượng riêng của bạc là 10,49 g/cm3 và khối lượng mol của glucose là 180g/mol. Tính lượng glucose cần dùng với giả thiết hiệu suất phản ứng là 100%.
Câu 2 :
Chỉ số xà phòng là số miligam KOH dùng để xà phòng hóa hết triglycerid và trung hòa hết lượng acid tự do trong 1 g chất béo. Một chất béo chứa 3,55% stearic acid và 89% tristearin về khối lượng, còn lại là các chất không tham gia phản ứng với KOH. Tính chỉ số xà phòng hóa của chất béo trên.
Câu 3 :
Trong các chất: phenol, ethyl acetate, ethyl alcohol, acetic acid. Số chất tác dụng được với dung dịch NaOH là?
Câu 4 :
Cho dãy các chất sau: glucose, fructose, saccharose, cellulose, tinh bột. Số chất có khả năng thủy phân trong môi trường acid, đun nóng?
Lời giải và đáp án
Câu 1 :
Ester được tạo bởi methanol và acetic acid có công thức cấu tạo là
-
A.
HCOOCH3
-
B.
CH3COOC2H5
-
C.
HCOOC2H5
-
D.
CH3COOCH3.
Đáp án : D
Dựa vào cấu tạo của ester.
Ester được tạo bởi methanol và acetic acid là: CH3COOCH3.
Đáp án D
Câu 2 :
Xà phòng hóa hoàn toàn ester có công thức hóa học CH3COOC2H5 trong dung dịch KOH dư đun nóng, thu được sản phẩm gồm
-
A.
CH3COOH và C2H5OH
-
B.
CH3COOK và C2H5OH
-
C.
C2H5COOK và CH3OH
-
D.
HCOOK và C3H7OH.
Đáp án : B
Dựa vào tính chất hóa học của ester.
Xà phòng hóa CH3COOC2H5 thu được CH3COOK và C2H5OH.
Đáp án B
Câu 3 :
Tính chất vật lí chung của chất béo là
-
A.
ít tan trong nước và nhẹ hơn nước.
-
B.
dễ tan trong nước và nhẹ hơn nước.
-
C.
ít tan trong nước và nặng hơn nước.
-
D.
dễ tan trong nước và nặng hơn nước.
Đáp án : A
Dựa vào tính chất vật lí của chất béo
Chất béo ít tan trong nước và nhẹ hơn nước.
Đáp án A
Câu 4 :
Sáp ong do ong thợ tiết ra và xây dựng tạo thành tổ ong để lưu trữ mật ong và bảo vệ ấu trùng (nhộng). Trong sáp ong có chứa thành phần chính là triacontanyl palmitate (C15H31COOC30H61). Ester này thuộc loại
-
A.
không no, đơn chức
-
B.
không no, đa chức
-
C.
no, đơn chức
-
D.
no, đa chức.
Đáp án : C
Dựa vào cấu tạo của (C15H31COOC30H61).
Ester này thuộc loại no, đơn chức.
Đáp án C
Câu 5 :
Ứng với công thức phân tử C5H10O2 có bao nhiêu ester là đồng phân cấu tạo của nhau?
-
A.
6
-
B.
7
-
C.
8
-
D.
9
Đáp án : D
Dựa vào đồng phân của ester.
Các ester gồm: HCOOC4H9 (4); CH3COOC3H7 (2); C2H5COOC2H5; C3H7COOCH3.
Đáp án D
Câu 6 :
X, Y, Z là 3 chất hữu cơ đươc kí hiệu ngẫu nhiên trong số các chất HCOOCH3, CH3COOH và CH3CH2CH2OH. Nhiệt độ sôi của X, Y, Z được cho trong bảng sau:

Các chất X, Y lần lượt là
-
A.
HCOOCH3 và CH3COOH.
-
B.
CH3COOH và HCOOCH3.
-
C.
CH3CH2CH2OH và CH3COOH.
-
D.
HCOOCH3 và CH3CH2CH2OH.
Đáp án : D
Dựa vào tính chất vật lí của ester.
X có nhiệt độ sôi thấp nhất: là ester.
Y có nhiệt độ sôi ở giữa: là alcohol.
Đáp án D
Câu 7 :
Để xà phòng hóa hoàn toàn 2,64g một ester no, đơn chức, mạch hở X cần dùng 30,0 ml dung dịch NaOH 1,0M. Công thức phân tử của ester X là
-
A.
C3H6O2
-
B.
C4H8O2
-
C.
C5H10O2
-
D.
C6H10O2
Đáp án : B
Dựa vào phản ứng thủy phân ester trong môi trường base
n NaOH = 0,03 . 1 = 0,03 mol
n NaOH = n ester = 0,03 mol
M X = \(\frac{{2,64}}{{0,03}} = 88\).
Công thức phân tử của ester X là: C4H8O2.
Đáp án B
Câu 8 :
Chất nào sau đây là thành phần chính của chất giặt rửa tổng hợp?
-
A.
C15H31COONa
-
B.
(C17H35COO)2Ca.
-
C.

-
D.
C17H35COOK
Đáp án : C
Dựa vào khái niệm của chất giặt rửa tổng hợp
là thành phần của chất giặt rửa tổng hợp
Câu 9 :
Phát biểu nào sau đây về xà phòng là đúng?
-
A.
Xà phòng có thành phần chính là muối sodium hoặc potassium của carboxylic acid.
-
B.
Các phân tử xà phòng đều có đầu kị nước gắn với đuôi dài ưa nước.
-
C.
Xà phòng mất tính giặt rửa khi sử dụng với nước cứng.
-
D.
Nhược điểm của xà phòng là khó bị phân hủy hoặc phân hủy chậm, do đó gây hại cho hệ sinh thái.
Đáp án : C
Dựa vào cấu tạo của xà phòng.
Xà phòng mất tính giặt rửa khi sử dụng với nước cứng.
Đáp án C
Câu 10 :
Không nên dùng xà phòng khi giặt rửa với nước cứng vì
-
A.
cần dùng lượng nước nhiều hơn.
-
B.
gây ô nhiễm môi trường.
-
C.
ion Ca2+, Mg2+ làm giảm độ bền sợi vải.
-
D.
xuất hiện kết tủa làm giảm tác dụng giặt rửa của xà phòng.
Đáp án : D
Dựa vào ứng dụng của xà phòng
Vì xuất hiện kết tủa làm giảm tác dụng giặt rửa của xà phòng.
Đáp án D
Câu 11 :
Glucose và fructose thuộc loại carbohydrate nào sau đây?
-
A.
Monosaccharide
-
B.
Disaccharide.
-
C.
Polysaccharide
-
D.
Oligosaccharide.
Đáp án : A
Dựa vào phân loại carbohydrate.
Glucose và fructose thuộc loại monosaccharide.
Đáp án A
Câu 12 :
Dung dịch glucose không có tính chất hóa học nào sau đây?
-
A.
Phản ứng với Cu(OH)2.
-
B.
Phản ứng với thuốc thửu Tollens.
-
C.
Phản ứng với nước bromine.
-
D.
Phản ứng thủy phân.
Đáp án : D
Dựa vào tính chất hóa học của glucose.
Dung dịch glucose không tham gia phản ứng thủy phân
Đáp án D
Câu 13 :
Trong các phát biểu sau đây, phát biểu nào không đúng?
-
A.
Glucose và fructose là hai đồng phân cấu tạo.
-
B.
Saccharose và maltose là hai đồng phân cấu tạo.
-
C.
Tinh bột và cellulose là hai đồng phân cấu tạo.
-
D.
Glucose, fructose, saccharose, maltose, tinh bột, cellulose đều là carbohydrate.
Đáp án : C
Dựa vào phân loại carbohydrate.
Tinh bột và cellulose không phải là hai đồng phân cấu tạo do số lượng mắt xích khác nhau.
Đáp án C
Câu 14 :
Cho các phát biểu sau về glucose và fructose:
(1) Glucose và fructose là hai đồng phân lập thể.
(2) Fructose còn được gọi là đường trái cây và là carbohydrate tự nhiên có vị ngọt nhất.
(3) Glucose là carbohydrate mà có thể sử dụng làm nhiên liệu.
(4) Người mắc bệnh đái tháo đường có lượng glucose trong máu cao hơn mức bình thường.
Số phát biểu đúng là
-
A.
1
-
B.
2
-
C.
3
-
D.
4
Đáp án : C
Dựa vào ứng dụng của glucose và fructose.
(1) sai, glucose và fructose là hai đồng phân cấu tạo.
(2) đúng
(3) đúng
(4) đúng
Đáp án C
Câu 15 :
Quan sát cấu trúc phân tử carbohydrate X được cho dưới đây:

Phát biểu nào sau đây là đúng về carbohydrate X?
-
A.
X có nhiều trong trái cây chín.
-
B.
X chỉ có cấu trúc mạch không phân nhánh.
-
C.
X có vị ngọt hơn glucose.
-
D.
X là thành phần chính của các loại hạt như ngô, gạo, đậu, ...
Đáp án : B
Dựa vào cấu trúc của tinh bột và cellulose.
Cấu trúc trên có mạch không phân nhánh.
Đáp án B
Câu 16 :
Cho các phát biểu sau về carbohydrate:
a) Saccharose và fructose không phải là đường khử.
b) Amylopectin phân nhánh là do sự xuất hiện của liên kết \(\alpha - \)1,6 – glycoside.
c) Cellulose không phân nhánh do chỉ xuất hiện liên kết \(\beta - \)1,4 – glycoside.
d) Số nhóm – OH trong phân tử saccharose là 8.
Số phát biểu đúng là
-
A.
1
-
B.
2
-
C.
3
-
D.
4
Đáp án : C
Dựa vào cấu tạo của carbohydrate.
a) sai, fructose có khả năng mở vòng nên frucose là đường khử.
b) đúng
c) đúng
d) đúng
Đáp án C
Câu 17 :
Thuỷ phân 1 kg gạo chứa 75% tinh bột trong môi trường acid. Biết hiệu suất phản ứng đạt 80% thì lượng glucose thu được là
-
A.
222,2 g
-
B.
1041,7 g
-
C.
666,7 g
-
D.
888,6g
Đáp án : C
Dựa vào tính chất hóa học của tinh bột.
Khối lượng tinh bột là: 1.75% = 0,75kg

Câu 18 :
Thuỷ phân hoàn toàn 11,44 gam ester no, đơn chức, mạch hở X với 100 mL dung dịch NaOH 1,3 M (vừa đủ) thu được 5,98 gam một alcohol Y. Tên gọi của X là
-
A.
ethyl formate.
-
B.
ethyl acetate.
-
C.
ethyl propionate.
-
D.
propyl acetate.
Đáp án : B
Dựa vào tính chất hóa học của ester.
n NaOH = 0,1.1,3 = 0,13 mol
n ester = n NaOH = 0,13 mol
M ester = 11,44 : 0,13 = 88amu
M alcohol = 5,98 : 0,13 = 46amu
Công thức X là : CH3COOC2H5
Tên gọi X là : ethyl acetate.
Đáp án B
Cấu trúc phân tử saccharose và maltose được cho dưới đây:

Phân tử Saccharose không còn nhóm – OH hemiacetal và nhóm – OH hemiketal.
Phân tử Saccharose và maltose đều không có khả năng mở vòng.
Phân tử Saccharose tạo bởi một đơn vị \(\beta - \)glucose và một đơn vị \(\alpha - \)fructose, liên kết với nhau qua nguyên tử oxygen giữa C1 của đơn vị \(\beta - \)glucose và C4 của đơn vị \(\alpha - \)fructose.
Saccharose và maltose đều là các disaccharide.
Phân tử Saccharose không còn nhóm – OH hemiacetal và nhóm – OH hemiketal.
Phân tử Saccharose và maltose đều không có khả năng mở vòng.
Phân tử Saccharose tạo bởi một đơn vị \(\beta - \)glucose và một đơn vị \(\alpha - \)fructose, liên kết với nhau qua nguyên tử oxygen giữa C1 của đơn vị \(\beta - \)glucose và C4 của đơn vị \(\alpha - \)fructose.
Saccharose và maltose đều là các disaccharide.
Dựa vào cấu tạo của saccharose và maltose.
a. đúng
b. sai, maltose có khả năng mở vòng.
c. sai, Saccharose tạo bởi 1 đơn vị \(\alpha \)-glucose và \(\beta \)-fructose
d. đúng
Phổ khối lượng của ester E được cho dưới đây:

Ester E có khối lượng phân tử là M = 60.
E là ester của methyl alcohol.
Nhiệt độ sôi của E cao hơn ethyl alcohol.
Xà phòng hóa E bằng dung dịch NaOH thu được muối có công thức CHO2Na
Ester E có khối lượng phân tử là M = 60.
E là ester của methyl alcohol.
Nhiệt độ sôi của E cao hơn ethyl alcohol.
Xà phòng hóa E bằng dung dịch NaOH thu được muối có công thức CHO2Na
Dựa vào tính chất hóa học của ester.
a) đúng
b) đúng
c) sai, vì ester không có liên kết hydrogen nên nhiệt độ sôi của E thấp hơn ethyl alcohol.
d) đúng
Cho các chất sau:

Sodium palmitate và sodium laurylsulfate đều là thành phần chính của xà phòng.
Sodium palmitate và sodium laurylsulfate đếu có tính năng giặt rửa.
Sodium palmitate và sodium laurylsulfate đều tạo muối khó tan trong nước cứng.
Sodium palmitate và sodium laurylsulfate đều có đầu ưa nước gắn với đuôi kị nước.
Sodium palmitate và sodium laurylsulfate đều là thành phần chính của xà phòng.
Sodium palmitate và sodium laurylsulfate đếu có tính năng giặt rửa.
Sodium palmitate và sodium laurylsulfate đều tạo muối khó tan trong nước cứng.
Sodium palmitate và sodium laurylsulfate đều có đầu ưa nước gắn với đuôi kị nước.
Dựa vào cấu tạo và tính giặt rửa của xà phòng.
a. sai, sodium laurylsulfate là thành phần chính là chất giặt rửa.
b. đúng
c. sai, chỉ sodium palmitate tạo muối khó tan trong nước cứng.
d. đúng
Carbohydrate có nhiều ứng dụng trong đời sống:
Cellulose là thành phần chính của cấu trúc tế bào thực vật.
Tinh bột là nguồn cung cấp năng lượng quan trọng của con người.
Fructose là đường có nhiều trong mật ong và trái cây.
Glucose là sản phẩm duy nhất của quá trình quang hợp.
Cellulose là thành phần chính của cấu trúc tế bào thực vật.
Tinh bột là nguồn cung cấp năng lượng quan trọng của con người.
Fructose là đường có nhiều trong mật ong và trái cây.
Glucose là sản phẩm duy nhất của quá trình quang hợp.
Dựa vào ứng dụng của carbohydrate.
a. Đúng
b. Đúng
c. Đúng
d. Sai, tinh bột là sản phẩm của quá trình quang hợp.
Câu 1 :
Một nhóm học sinh muốn thử nghiệm phản ứng tráng bạc lên kính bằng nguyên liệu đầu là glucose. Giả sử lớp bạc có diện tích là 100 cm2 và độ dày là 0,5μm. Biết rằng khối lượng riêng của bạc là 10,49 g/cm3 và khối lượng mol của glucose là 180g/mol. Tính lượng glucose cần dùng với giả thiết hiệu suất phản ứng là 100%.
Dựa vào phản ứng tráng bạc của glucose.
Số mol Ag = \(\frac{{100.0,{{5.10}^{ - 4}}.10,49}}{{108}} = 0,{4856.10^{ - 3}}mol\)
Khối lượng glucose = \(\frac{{0,{{4856.10}^{ - 3}}.180}}{2} = 0,044g\)
Câu 2 :
Chỉ số xà phòng là số miligam KOH dùng để xà phòng hóa hết triglycerid và trung hòa hết lượng acid tự do trong 1 g chất béo. Một chất béo chứa 3,55% stearic acid và 89% tristearin về khối lượng, còn lại là các chất không tham gia phản ứng với KOH. Tính chỉ số xà phòng hóa của chất béo trên.
Dựa vào phản ứng của chất béo với KOH.
Khối lượng stearic acid trong 1 g chất béo là: 1.3,55% = 0,0355g
Khối lượng tristearin trong 1 g chất béo là: 1.89% = 0,89g
n stearic acid = 0,0355 : 284 = 0,000125 mol; n tristearin = 0,89 : 890 = 0,001 mol
n KOH = 0,000125 + 0,001.3 = 0,003125 mol
m KOH = 0,003125.56 =0,175g = 175mg
Chỉ số xà phòng hóa của chất béo là 175
Câu 3 :
Trong các chất: phenol, ethyl acetate, ethyl alcohol, acetic acid. Số chất tác dụng được với dung dịch NaOH là?
Dựa vào tính chất hóa học của ester.
Phenol, ethyl acetate, acetic acid tác dụng với dung dịch NaOH.
Đáp án 3
Câu 4 :
Cho dãy các chất sau: glucose, fructose, saccharose, cellulose, tinh bột. Số chất có khả năng thủy phân trong môi trường acid, đun nóng?
Các chất disaccharide và polysaccharide có tham gia phản ứng thủy phân.
Saccharose, cellulose, tinh bột có tham gia phản ứng thủy phân.
Đáp án 3
Đề thi giữa kì 1 Hóa 12 Chân trời sáng tạo - Đề số 5
Phát biểu nào sau đây là không đúng?
Xem chi tiết
Đề thi giữa kì 1 Hóa 12 Chân trời sáng tạo - Đề số 6
Phần I. Trắc nghiệm
Xem chi tiết
Đề thi giữa kì 1 Hóa 12 Chân trời sáng tạo - Đề số 7
Phần I, Trắc nghiệm
Xem chi tiết
Đề thi giữa kì 1 Hóa 12 Chân trời sáng tạo - Đề số 8
Phần I. Trắc nghiệm
Xem chi tiết
Đề thi giữa kì 1 Hóa 12 Chân trời sáng tạo - Đề số 9
Phần I. Trắc nghiệm
Xem chi tiết
Đề thi giữa kì 1 Hóa 12 Chân trời sáng tạo - Đề số 10
Phần I. Trắc nghiệm
Xem chi tiết
Đề thi giữa kì 1 Hóa 12 Chân trời sáng tạo - Đề số 3
Chất nào sau đây là ester?
Xem chi tiết
Đề thi giữa kì 1 Hóa 12 Chân trời sáng tạo - Đề số 2
Tên gọi của ester CH3COOCH3 là
Xem chi tiết
Đề thi giữa kì 1 Hóa 12 Chân trời sáng tạo - Đề số 1
Benzyl acetate là ester có mùi thơm của hoa nhài.
Xem chi tiết