Tải về
Phần I. Trắc nghiệm
Đề bài
Câu 1 :
Trong công nghiệp sản xuất đường saccharose, người ta sử dụng phương pháp nào để tách saccharose ra khỏi dung dịch nước mía ?
-
A.
Kết tinh.
-
B.
Chưng cất.
-
C.
Sắc kí.
-
D.
Chiết.
Câu 2 :
Carbohydrate X có công thức cấu tạo dưới đây:

Nhận định nào đúng khi nói về X ?
-
A.
X là saccharose.
-
B.
X không có tính khử.
-
C.
X được gọi là đường mạch nha được sản xuất từ ngũ cốc.
-
D.
X được cấu tạo từ 1 đơn vị α-glucose và 1 đơn vị β-fructose qua liên kết α-1,4-glycoside.
Câu 3 :
Nhận xét nào sau đây không đúng về xà phòng ?
-
A.
Mỗi phân tử xà phòng có một “phần” dài kị nước là những gốc hydrocarbon của acid béo.
-
B.
Nước quả bồ kết, bồ hòn không có tác dụng giặt rửa giống xà phòng.
-
C.
Cơ chế giặt rửa của xà phòng tương tự như chất giặt rửa tổng hợp.
-
D.
Mỗi phân tử xà phòng có một “phần” ưa nước là nhóm -COONa hoặc -COOK.
Câu 4 :
Công thức của ethyl ethanoate là :
-
A.
C2H5COOCH3.
-
B.
C2H5COOC2H5.
-
C.
CH3COOCH3.
-
D.
CH3COOC2H5.
Câu 5 :
Phản ứng giữa C2H5OH với CH3COOH (xúc tác H2SO4 đặc, đun nóng) là phản ứng :
-
A.
xà phòng hoá.
-
B.
ester hoá.
-
C.
thủy phân.
-
D.
trùng hợp.
Câu 6 :
Chất nào sau đây thuộc loại polysaccharide?
-
A.
Glucose.
-
B.
Maltose.
-
C.
Cellulose.
-
D.
Fructose.
Câu 7 :
Methyl butanoate là một ester có mùi táo. Khi đun nóng hỗn hợp 17,6 gam butanoic acid và 4,8 gam methyl alcohol với xúc tác H2SO4 đặc, thu được m gam methyl butanoate. Biết hiệu suất phản ứng đạt 75%. Giá trị của m là:
-
A.
15,300.
-
B.
11,475.
-
C.
24,586.
-
D.
18,765.
Câu 8 :
Xà phòng là muối sodium hoặc potassium của:
-
A.
acid béo.
-
B.
phenol.
-
C.
acid vô cơ.
-
D.
acetic acid.
Câu 9 :
Để tráng một lớp bạc lên ruột phích, người ta cho chất Z phản ứng với lượng dư dung dịch AgNO3 trong NH3, đun nóng. Chất Z là:
-
A.
glucose.
-
B.
ethanol.
-
C.
acetic acid.
-
D.
saccharose.
Câu 10 :
Phát biểu nào sau đây là không đúng khi nói về carbohydrate ?
-
A.
Công thức phân tử glucose là C6H12O6.
-
B.
Cellulose không tan trong nước, nhưng tan tốt trong dung dịch Schweizer.
-
C.
Tinh bột và cellulose là đồng phân cấu tạo của nhau.
-
D.
Sợi bông là cellulose gần như tinh khiết.
Câu 11 :
Phát biểu nào không đúng về chất béo?
-
A.
Chất béo không tan trong nước và nặng hơn nước.
-
B.
Chất béo là triester của acid béo với glycerol.
-
C.
Trong công nghiệp, chất béo được sử dụng làm nguyên liệu sản xuất xà phòng và glycerol.
-
D.
Hydrogen hóa chất béo lỏng thu được chất béo rắn. Điều này thuận lợi cho vận chuyển, bảo quản và làm nguyên liệu sản xuất bơ nhân tạo, xà phòng.
Câu 12 :
Cho các phát biểu sau đây:
(a) Glucose được gọi là đường nho do có nhiều trong quả nho chín.
(b) Chất béo là diester của glycerol với acid béo.
(c) Phân tử amylopectin có cấu trúc mạch phân nhánh.
(d) Ở nhiệt độ thường, triolein ở trạng thái rắn.
(e) Fructose có nhiều trong mật ong.
(f) Tinh bột là một trong những lương thực cơ bản của con người.
Số phát biểu đúng là
-
A.
5.
-
B.
6.
-
C.
3.
-
D.
4.
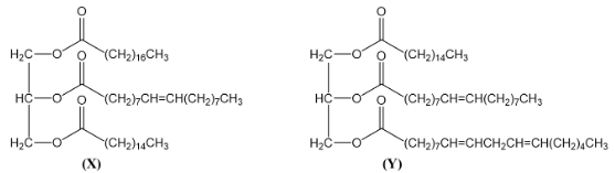
Cho hai chất X và Y có cấu trúc như hình vẽ sau:

Carbohydrate (chất đường, chất bột, chất xơ), chủ yếu gồm ba loại sau:
| Monosaccharide | Disaccharide | Polysaccharide | |||
| glucose | fructose | Saccharose | Maltose | Tinh bột | Cellulose |
Monosaccharide Disaccharide Polysaccharide
Glucose Fructose Saccharose Maltose Tinh bột Cellulose
Câu 1 :
Cho các phát biểu sau về chất béo:
(1) Dầu mỡ bôi trơn máy có chứa thành phần là chất béo.
(2) Chất béo đều không tan trong nước nhưng tan trong dung môi hữu cơ không phân cực.
(3) Thủy phân hoàn toàn 1 chất béo bất kì đều thu được sản phẩm là glycerol.
(4) Dầu, mỡ động thực vật chứa thành phần chính là chất béo.
(5) Việc sử dụng chất béo no làm thực phẩm cho con người tốt hơn chất béo không no.
Liệt kê các phát biểu đúng theo số thứ tự tăng dần. (Ví dụ 234, 12,...).
Câu 2 :
Cho các chất sau: triolein, saccharose, amylopectin, methyl acetate, fructose, cellulose. Có bao nhiêu chất bị thủy phân trong môi trường acid?
Câu 3 :
Phân tích thành phần nguyên tố của chất hữu cơ X xác định được % theo khối lượng của C, H, O lần lượt là 70,59%; 5,88%; 23,53%. Dựa vào phương pháp phổ khối (MS) xác định được phân tử khối của hợp chất là 136. Có tổng số bao nhiêu nguyên tử có trong phân tử X?
Câu 4 :
Trong công nghiệp cellulose triacetate và cellulose diacetate được dùng hỗn hợp hoặc riêng rẽ để sản xuất phim ảnh và tơ acetate. Hòa tan hai ester trên trong hỗn hợp acetone và ethanol rồi bơm dung dịch thu được qua những lỗ nhỏ thành chùm tia đồng thời thổi không khí nóng (55 –70 °C) qua chùm tia đó để làm bay hơi acetone sẽ thu được những sợi mảnh khảnh gọi là tơ acetate. Tơ acetate có tính đàn hồi, bền bỉ và đẹp. Vải Acetate cũng được dùng để tạo nhiều sản phẩm khác như là khăn trải giường, rèm cửa, áo phủ xe hơi,…
Cho cellulose phản ứng với anhydride acetic (CH3CO)2O với H2SO4 đặc thu được 6,6 gam acetic acid và 11,1 gam hỗn hợp X gồm cellulose triacetate và cellulose diacetate.
Tính % khối lượng cellulose triacetate trong hỗn hợp. (Làm tròn kết quả đến hàng phần mười).
Câu 1 :
Đường nghịch chuyển (invert sugar) là hỗn hợp gồm các lượng như nhau của fructose và glucose, được tạo ra từ quá trình thuỷ phân saccharose. Trong đời sống, đường nghịch chuyển được điều chế ở dạng siro. Loại đường này được sử dụng rộng rãi trong sản xuất thực phẩm, đồ uống do có khả năng giữ nước cùng với có vị ngọt cao hơn từ 20% – 25% so với saccharose, mang lại hương vị mới, hữu ích cho sản phẩm. Để sản xuất đường nghịch chuyển, người ta tiến hành đun sôi nhẹ dung dịch saccharose trong chảo lớn với xúc tác citric acid để làm giảm pH dung dịch xuống 1,6. Để thu được 10,5 tấn đường nghịch chuyển thì người ta phải sử dụng bao nhiêu tấn saccharose? (Làm tròn kết quả đến hàng đơn vị).
Câu 2 :
Hợp chất X có công thức phân tử C5H8O2, khi tham gia phản ứng xà phòng hóa thu được một aldehyde và một muối của carboxylic acid. Có bao nhiêu đồng phân cấu tạo thỏa mãn tính chất trên của X?
Lời giải và đáp án
Câu 1 :
Trong công nghiệp sản xuất đường saccharose, người ta sử dụng phương pháp nào để tách saccharose ra khỏi dung dịch nước mía ?
-
A.
Kết tinh.
-
B.
Chưng cất.
-
C.
Sắc kí.
-
D.
Chiết.
Đáp án : A
Dựa vào phương pháp điều chế saccharose.
Để tách saccharose ra khỏi nước mía có thể dùng phương pháp kết tinh.
Câu 2 :
Carbohydrate X có công thức cấu tạo dưới đây:

Nhận định nào đúng khi nói về X ?
-
A.
X là saccharose.
-
B.
X không có tính khử.
-
C.
X được gọi là đường mạch nha được sản xuất từ ngũ cốc.
-
D.
X được cấu tạo từ 1 đơn vị α-glucose và 1 đơn vị β-fructose qua liên kết α-1,4-glycoside.
Đáp án : C
Dựa vào cấu tạo của carbohydrate.
X là maltose được gọi là đường mạch nha được sản xuất từ ngũ cốc.
Câu 3 :
Nhận xét nào sau đây không đúng về xà phòng ?
-
A.
Mỗi phân tử xà phòng có một “phần” dài kị nước là những gốc hydrocarbon của acid béo.
-
B.
Nước quả bồ kết, bồ hòn không có tác dụng giặt rửa giống xà phòng.
-
C.
Cơ chế giặt rửa của xà phòng tương tự như chất giặt rửa tổng hợp.
-
D.
Mỗi phân tử xà phòng có một “phần” ưa nước là nhóm -COONa hoặc -COOK.
Đáp án : B
Dựa vào cấu tạo của xà phòng.
B sai vì nước quả bồ kết bồ hòn có tác dụng giặt rửa giống xà phòng.
Câu 4 :
Công thức của ethyl ethanoate là :
-
A.
C2H5COOCH3.
-
B.
C2H5COOC2H5.
-
C.
CH3COOCH3.
-
D.
CH3COOC2H5.
Đáp án : B
Dựa vào tên gọi của ester.
Công thức của ethyl ethanoate là: C2H5COOC2H5.
Câu 5 :
Phản ứng giữa C2H5OH với CH3COOH (xúc tác H2SO4 đặc, đun nóng) là phản ứng :
-
A.
xà phòng hoá.
-
B.
ester hoá.
-
C.
thủy phân.
-
D.
trùng hợp.
Đáp án : B
Dựa vào phương pháp điều chế ester.
Phản ứng giữa C2H5OH với CH3COOH (xúc tác H2SO4 đặc, đun nóng) là phản ứng: ester hoá.
Câu 6 :
Chất nào sau đây thuộc loại polysaccharide?
-
A.
Glucose.
-
B.
Maltose.
-
C.
Cellulose.
-
D.
Fructose.
Đáp án : C
Dựa vào phân loại carbohydrate.
Cellulose thuộc loại polysaccharide.
Câu 7 :
Methyl butanoate là một ester có mùi táo. Khi đun nóng hỗn hợp 17,6 gam butanoic acid và 4,8 gam methyl alcohol với xúc tác H2SO4 đặc, thu được m gam methyl butanoate. Biết hiệu suất phản ứng đạt 75%. Giá trị của m là:
-
A.
15,300.
-
B.
11,475.
-
C.
24,586.
-
D.
18,765.
Đáp án : B
Dựa vào phương pháp điều chế ester.
n butanoic acid = 17,6 : 88 = 0,2 mol
n methyl alcohol = 4,8 : 32 = 0,15 mol
n methyl butanoate = 0,15.75% = 0,1125 mol.
m methyl butanoate = 0,1125.102 = 11,475g.
Câu 8 :
Xà phòng là muối sodium hoặc potassium của:
-
A.
acid béo.
-
B.
phenol.
-
C.
acid vô cơ.
-
D.
acetic acid.
Đáp án : A
Dựa vào khái niệm của xà phòng.
Xà phòng là muối sodium hoặc potassium của acid béo.
Câu 9 :
Để tráng một lớp bạc lên ruột phích, người ta cho chất Z phản ứng với lượng dư dung dịch AgNO3 trong NH3, đun nóng. Chất Z là:
-
A.
glucose.
-
B.
ethanol.
-
C.
acetic acid.
-
D.
saccharose.
Đáp án : A
Dựa vào tính chất hoá học của glucose.
Chất Z là glucose.
Câu 10 :
Phát biểu nào sau đây là không đúng khi nói về carbohydrate ?
-
A.
Công thức phân tử glucose là C6H12O6.
-
B.
Cellulose không tan trong nước, nhưng tan tốt trong dung dịch Schweizer.
-
C.
Tinh bột và cellulose là đồng phân cấu tạo của nhau.
-
D.
Sợi bông là cellulose gần như tinh khiết.
Đáp án : C
Dựa vào cấu tạo của carbohydrate.
C sai, tinh bột và cellulose không phải đồng phân của nhau.
Câu 11 :
Phát biểu nào không đúng về chất béo?
-
A.
Chất béo không tan trong nước và nặng hơn nước.
-
B.
Chất béo là triester của acid béo với glycerol.
-
C.
Trong công nghiệp, chất béo được sử dụng làm nguyên liệu sản xuất xà phòng và glycerol.
-
D.
Hydrogen hóa chất béo lỏng thu được chất béo rắn. Điều này thuận lợi cho vận chuyển, bảo quản và làm nguyên liệu sản xuất bơ nhân tạo, xà phòng.
Đáp án : A
Dựa vào tính chất hoá học của chất béo.
A sai, chất béo nhẹ hơn nước.
Câu 12 :
Cho các phát biểu sau đây:
(a) Glucose được gọi là đường nho do có nhiều trong quả nho chín.
(b) Chất béo là diester của glycerol với acid béo.
(c) Phân tử amylopectin có cấu trúc mạch phân nhánh.
(d) Ở nhiệt độ thường, triolein ở trạng thái rắn.
(e) Fructose có nhiều trong mật ong.
(f) Tinh bột là một trong những lương thực cơ bản của con người.
Số phát biểu đúng là
-
A.
5.
-
B.
6.
-
C.
3.
-
D.
4.
Đáp án : D
Dựa vào tính chất hoá học của carbohydrate.
a) đúng
b) sai, chất béo là triester của glycerol với acid béo.
c) đúng
d) sai, triolein ở trạng thái lỏng
e) đúng
f) đúng
Cho hai chất X và Y có cấu trúc như hình vẽ sau:

Dựa vào cấu trúc của X và Y.
a) Sai, X không phải là acid béo omega – 6.
b) sai, số liên pi trong X là 4, trong Y là 6.
c) sai, X và Y không có cùng số nguyên tử C.
d) đúng
Carbohydrate (chất đường, chất bột, chất xơ), chủ yếu gồm ba loại sau:
| Monosaccharide | Disaccharide | Polysaccharide | |||
| glucose | fructose | Saccharose | Maltose | Tinh bột | Cellulose |
Monosaccharide Disaccharide Polysaccharide
Glucose Fructose Saccharose Maltose Tinh bột Cellulose
Dựa vào tính chất hoá học của carbohydrate.
a) đúng
b) sai, khi thuỷ phân hoàn toàn maltose thu được fructose.
c) đúng
d) sai, cellulose không có phản ứng với dung dịch iodine.
Câu 1 :
Cho các phát biểu sau về chất béo:
(1) Dầu mỡ bôi trơn máy có chứa thành phần là chất béo.
(2) Chất béo đều không tan trong nước nhưng tan trong dung môi hữu cơ không phân cực.
(3) Thủy phân hoàn toàn 1 chất béo bất kì đều thu được sản phẩm là glycerol.
(4) Dầu, mỡ động thực vật chứa thành phần chính là chất béo.
(5) Việc sử dụng chất béo no làm thực phẩm cho con người tốt hơn chất béo không no.
Liệt kê các phát biểu đúng theo số thứ tự tăng dần. (Ví dụ 234, 12,...).
Dựa vào tính chất của chất béo.
1. sai, dầu mỡ bôi trơn không có cùng thành phần với chất béo.
2. đúng
3. đúng
4. đúng
5. đúng
Câu 2 :
Cho các chất sau: triolein, saccharose, amylopectin, methyl acetate, fructose, cellulose. Có bao nhiêu chất bị thủy phân trong môi trường acid?
Dựa vào tính chất hoá học của carbohydrate.
Triolein, saccharose, amylopectin, methyl acetate, cellulose có phản ứng thuỷ phân trong môi trường acid.
Câu 3 :
Phân tích thành phần nguyên tố của chất hữu cơ X xác định được % theo khối lượng của C, H, O lần lượt là 70,59%; 5,88%; 23,53%. Dựa vào phương pháp phổ khối (MS) xác định được phân tử khối của hợp chất là 136. Có tổng số bao nhiêu nguyên tử có trong phân tử X?
Dựa vào cách tìm công thức phân tử.
Số nguyên tử C = $\dfrac{136.70,59\%}{12} = 8$
Số nguyên tử H = $\dfrac{136.5,88\%}{1} = 8$
Số nguyên tử O = $\dfrac{136.23,53\%}{16} = 2$
Tổng số nguuyên tử trong X là: 8 + 8 + 2 = 18.
Câu 4 :
Trong công nghiệp cellulose triacetate và cellulose diacetate được dùng hỗn hợp hoặc riêng rẽ để sản xuất phim ảnh và tơ acetate. Hòa tan hai ester trên trong hỗn hợp acetone và ethanol rồi bơm dung dịch thu được qua những lỗ nhỏ thành chùm tia đồng thời thổi không khí nóng (55 –70 °C) qua chùm tia đó để làm bay hơi acetone sẽ thu được những sợi mảnh khảnh gọi là tơ acetate. Tơ acetate có tính đàn hồi, bền bỉ và đẹp. Vải Acetate cũng được dùng để tạo nhiều sản phẩm khác như là khăn trải giường, rèm cửa, áo phủ xe hơi,…
Cho cellulose phản ứng với anhydride acetic (CH3CO)2O với H2SO4 đặc thu được 6,6 gam acetic acid và 11,1 gam hỗn hợp X gồm cellulose triacetate và cellulose diacetate.
Tính % khối lượng cellulose triacetate trong hỗn hợp. (Làm tròn kết quả đến hàng phần mười).
Dựa vào tính chất hoá học của cellulose.
n CH3COOH = 6,6 : 60 = 0,11 mol
[C6H7O2(OH)3]n + 2n (CH3CO)2O→[C6H7O2(OH)(OCOCH3)2]n + 2n CH3COOH
[C6H7O2(OH)3]n + 3n (CH3CO)2O→[C6H7O2(OCOCH3)3]n + 3n CH3COOH
Gọi số mol cellulose triacetate và cellulose diacetate lần lượt là x và y mol.
Ta có:
$\left. \left\{ \begin{array}{l}
{3\text{x} + 2y = 0,11} \\
{\text{288x} + 246y = 11,1}
\end{array} \right.\rightarrow\left\{ \begin{array}{l}
{x = 0,03} \\
{y = 0,01}
\end{array} \right. \right.$
% cellulose triacetate: $\dfrac{0,03.288}{11,1}.100 = 77,8\%$
Câu 1 :
Đường nghịch chuyển (invert sugar) là hỗn hợp gồm các lượng như nhau của fructose và glucose, được tạo ra từ quá trình thuỷ phân saccharose. Trong đời sống, đường nghịch chuyển được điều chế ở dạng siro. Loại đường này được sử dụng rộng rãi trong sản xuất thực phẩm, đồ uống do có khả năng giữ nước cùng với có vị ngọt cao hơn từ 20% – 25% so với saccharose, mang lại hương vị mới, hữu ích cho sản phẩm. Để sản xuất đường nghịch chuyển, người ta tiến hành đun sôi nhẹ dung dịch saccharose trong chảo lớn với xúc tác citric acid để làm giảm pH dung dịch xuống 1,6. Để thu được 10,5 tấn đường nghịch chuyển thì người ta phải sử dụng bao nhiêu tấn saccharose? (Làm tròn kết quả đến hàng đơn vị).
Dựa vào phản ứng thuỷ phân saccharose.
n glucose = $\dfrac{10,5}{180}$tấn mol
Saccharose → Glucose + Fructose
n saccharose = $\dfrac{10,5}{180}$: 2 tấn mol.
m saccharose = $\dfrac{10,5}{180}$: 2 . 342 = 10 tấn
Câu 2 :
Hợp chất X có công thức phân tử C5H8O2, khi tham gia phản ứng xà phòng hóa thu được một aldehyde và một muối của carboxylic acid. Có bao nhiêu đồng phân cấu tạo thỏa mãn tính chất trên của X?
Dựa vào cấu tạo của ester.
Số đồng phân cấu tạo thoả mãn là:
CH3COOCH=CH2-CH3 (1)
CH3COOC(CH3)=CH2 (2)
C2H5COOCH=CH2 (3)
Đề thi giữa kì 1 Hóa 12 Kết nối tri thức - Đề số 10
Phần I. Trắc nghiệm
Xem chi tiết
Đề thi giữa kì 1 Hóa 12 Kết nối tri thức - Đề số 8
Phần I. Trắc nghiệm
Xem chi tiết
Đề thi giữa kì 1 Hóa 12 Kết nối tri thức - Đề số 7
Phần I. Trắc nghiệm
Xem chi tiết
Đề thi giữa kì 1 Hóa 12 Kết nối tri thức - Đề số 6
Phần I. Trắc nghiệm
Xem chi tiết
Đề thi giữa kì 1 Hóa 12 Kết nối tri thức - Đề số 5
Carbohydrate là gì?
Xem chi tiết
Đề thi giữa kì 1 Hóa 12 Kết nối tri thức - Đề số 4
Phát biểu nào sau đây không đúng về ứng dụng của chất béo và các acid béo?
Xem chi tiết
Đề thi giữa kì 1 Hóa 12 Kết nối tri thức - Đề số 3
Ethyl propanoate là ester tạo nên mùi thơm đặc trưng của quả dứa. Công thức của ethyl
Xem chi tiết
Đề thi giữa kì 1 Hóa 12 Kết nối tri thức - Đề số 2
Ester X có công thức phân tử C4H8O2.
Xem chi tiết
Đề thi giữa kì 1 Hóa 12 Kết nối tri thức - Đề số 1
Công thức phân tử chung của ester no, đơn chức, mạch hở là
Xem chi tiết