Tải về
Tổng hợp đề thi học kì 1 lớp 11 tất cả các môn - Cánh diều
Toán - Văn - Anh - Lí - Hóa - Sinh
Loại hydrocarbon nào có nhiều trong thành phần của dầu thô loại paraffinic?
Đề bài
Câu 1 :
Loại hydrocarbon nào có nhiều trong thành phần của dầu thô loại paraffinic?
-
A.
Alkane
-
B.
Cycloalkane
-
C.
Alkene
-
D.
Arene
Câu 2 :
Khi đốt cháy 1 mol các chất sau đây giải phóng ra nhiệt lượng (gọi là nhiệt đốt cháy) như bảng sau:

Khi đốt 1 gam chất nào sẽ giải phóng ra nhiệt lượng lớn nhất?
-
A.
Methane
-
B.
Ethane
-
C.
Propane
-
D.
Butane
Câu 3 :
Một mẫu khí gas X chứa hỗn hợp propane và butane.
Cho các phản ứng: \({C_3}{H_8}(g) + 5{O_2}(g) \to 3C{O_2}(g) + 4{H_2}O(l)\,\,\,{\Delta _r}H_{298}^0 = - 2220\,kJ\)
\({C_4}{H_{10}}(g) + \frac{{13}}{2}{O_2}(g) \to 4C{O_2}(g) + 5{H_2}O(l)\,\,\,\,{\Delta _r}H_{298}^0 = - 2874\,kJ\)
Đốt cháy hoàn toàn 12 gam mẫu khí gas X tỏa ra nhiệt lượng 597,6 kJ. Tỉ lệ số mol của propane và butane trong X là:
-
A.
1: 3
-
B.
2:3
-
C.
1:2
-
D.
3:1
Câu 4 :
Công thức cấu tạo của sản phẩm chính A, B trong sơ đồ phản ứng sau là:

-
A.
-
B.
-
C.
-
D.
Câu 5 :
Cho các phát biểu sau:
(1) Propane và butane được sử dụng làm khí đốt;
(2) Ethene và propene được sử dụng để tổng hợp polymer;
(3) Acetylene được sử dụng làm nhiên liệu cho đèn xì oxygen-acetylene;
(4) Styrene được sử dụng tổng hợp polymer;
(5) Toluene được sử dụng tổng hợp thuốc nổ.
Số phát biểu đúng là
-
A.
5.
-
B.
2.
-
C.
3.
-
D.
4.
Câu 6 :
Hợp chất hữu cơ X có tên gọi là: 2-chloro-3-methylpentane. Công thức cấu tạo của X là:
-
A.
CH3CH2CH(Cl)CH(CH3)2.
-
B.
CH3CH(Cl)CH(CH3)CH2CH3.
-
C.
CH3CH2CH(CH3)CH2CH2Cl.
-
D.
CH3CH(Cl)CH3CH(CH3)CH3.
Câu 7 :
Cho các chất :

Thứ tự tăng dần nhiệt độ sôi của các chất là :
-
A.
I < II < III.
-
B.
II < I < III.
-
C.
III < II < I.
-
D.
II < III < I.
Câu 8 :
Sản phẩm của phản ứng thế clo (1:1, ánh sáng) vào 2,2-đimetylpropan là :
(1) CH3C(CH3)2CH2Cl (2) CH3C(CH2Cl)2CH3 (3) CH3ClC(CH3)3
-
A.
(1) ; (2).
-
B.
(2) ; (3).
-
C.
(2).
-
D.
(1).
Câu 9 :
Khi tiến hành phản ứng thế giữa alkane X với khí clo có chiếu sáng người ta thu được hỗn hợp Y chỉ chứa hai chất sản phẩm. Tỉ khối hơi của Y so với hydrogen là 35,75. Tên của X là :
-
A.
2,2-đimethylpropane.
-
B.
2-methylbutane.
-
C.
pentane.
-
D.
ethane.
Câu 10 :
Đốt cháy hoàn toàn 2,479 lít hỗn hợp A (đktc) gồm CH4, C2H6 và C3H8 thu được V lít khí CO2 (đktc) và 7,2 gam H2O. Giá trị của V là :
-
A.
5,60.
-
B.
7,437.
-
C.
4,48.
-
D.
2,24.
Câu 11 :
Nitro hoá benzene bằng hỗn hợp HNO3 đặc và H2SO4 đặc ở nhiệt độ ≤ 500C, tạo thành chất hữu cơ X. Phát biểu nào sau đây về X không đúng?
-
A.
Tên của X là nitrobenzene.
-
B.
X là chất lỏng, sánh như dầu.
-
C.
X có màu vàng.
-
D.
X tan tốt trong nước.
Câu 12 :
Nhận xét nào sau đây không đúng đối với phản ứng cộng chlorine vào benzene?
-
A.
Khó hơn phản ứng cộng chlorine vào ethylene.
-
B.
Xảy ra với điều kiện ánh sáng tử ngoại và đun nóng.
-
C.
Sản phẩm thu được là 1,2,3,4,5,6-hexachlorocyclohexane.
-
D.
Tỉ lệ mol của các chất tham gia phản ứng là 1: 1.
Câu 13 :
Tên gọi theo danh pháp thay thế của dẫn xuất halogen có công thức cấu tạo CH3 – CHCl – CH3 là
-
A.
1-chloropropane.
-
B.
2-chloropropane.
-
C.
3-chloropropane.
-
D.
propyl chloride.
Câu 14 :
Tên gọi thay thế của dẫn xuất halogen có công thức cấu tạo CH3 – CH2 – CH2Br là
-
A.
1-bromopropane.
-
B.
2-bromopropane.
-
C.
3-bromopropane.
-
D.
propyl bromide.
Câu 15 :
Công thức cấu tạo nào sau đây ứng với tên gọi không đúng?
-
A.
CH3Cl: chloromethane.
-
B.
ClCH2Br: chlorobromomethane.
-
C.
CH3CH2I: iodethane.
-
D.
CH3CH(F)CH3: 2-fluoropropane.
Câu 16 :
Cho các chất sau: C6H5CH2Cl ; CH3CHClCH3 ; CH3CH2Br ; CH2=CHCH2Cl. Tên gọi gốc - chức của các chất trên lần lượt là
-
A.
benzyl chloride; isopropyl chloride; ethyl bromide; allyl chloride.
-
B.
benzyl chloride; propyl chloride; methyl bromide; allyl chloride.
-
C.
phenyl chloride; isopropylchloride; 1,1-đibrometane; 1-chloroprop-2-ene.
-
D.
benzyl chloride; propyl chloride; 1,1-đibrometane; 1-chloroprop-2-ene.
Câu 17 :
Cho các thí nghiệm:
(a) Đun nóng C6H5CH2Cl trong dung dịch NaOH
(b) Đung nóng hỗn hợp CH3CH2CH2Cl, KOH và C2H5OH
(c) Đun nóng CH3CH2CH2Cl trong dung dịch NaOH
(d) Đun nóng hỗn hợp CH3CHClCH=CH2, KOH và C2H5OH
Có bao nhiêu thí nghiệm tạo sản phẩm chính là alcohol?
-
A.
3
-
B.
1
-
C.
4
-
D.
2
Câu 18 :
Cho các sơ đồ phản ứng theo đúng tỉ lệ mol:
(1) X + 2H2O \( \to \) Y + Ca(OH)2;
(2) Y + 2AgNO3 + 2NH3 \( \to \) R + 2NH4NO3.
(3) R + 2HCl \( \to \) Y + 2AgCl.
Biết Y là hyđrocarbon có chứa 92,31% carbon theo khối lượng. Cho các phát biểu sau:
(a) Y làm mất màu Br2 trong CCl4;
(b) Y là chất khí, ít tan trong nước;
(c) Y dùng làm nhiên liệu để hàn cắt kim loại;
(d) Trong Y có 3 liên kết đơn.
Số phát biểu đúng là
-
A.
1.
-
B.
4.
-
C.
2.
-
D.
3.
Câu 19 :
Hỗn hợp khí X gồm ethylene và propyne. Cho a mol X tác dụng với lượng dư dung dịch AgNO3 trong NH3, thu được 17,64 gam kết tủa. Mặt khác a mol X phản ứng tối đa với 0,34 mol H2. Giá trị của a?
-
A.
0,32.
-
B.
0,34.
-
C.
0,46.
-
D.
0,22.
Câu 20 :
Phân tử methane không tan trong nước vì lí do nào sau đây?
-
A.
Phân tử methane không phân cực.
-
B.
Methane là chất khí.
-
C.
Phân tử khối của methane nhỏ.
-
D.
Methane không có liên kết đôi.
Câu 21 :
Cho các chất sau :
(I) CH2=CHCH2CH2CH=CH2 (II) CH2=CHCH=CHCH2CH3
(III) CH3C(CH3)=CHCH2 (IV) CH2=CHCH2CH=CH2
(V) CH3CH2CH=CHCH2CH3 (VI) CH3C(CH3)=CHCH2CH3
(VII) CH3CH=CHCH3 (VIII) CH3CH2C(CH3)=C(C2H5)CH(CH3)2
Số chất có đồng phân hình học là :
-
A.
4.
-
B.
1.
-
C.
2.
-
D.
3.
Câu 22 :
Hợp chất 2,5-đimethylhex-1-ene ứng với CTCT nào dưới đây ?
-
A.
-
B.
-
C.
-
D.
Câu 23 :
Khi cho but-1-ene tác dụng với dung dịch HBr, theo quy tắc Maccopnhicop sản phẩm nào sau đây là sản phẩm chính ?
-
A.
CH3–CH2–CHBr–CH2Br.
-
B.
CH2Br–CH2–CH2–CH2Br.
-
C.
CH3–CH2–CHBr–CH3.
-
D.
CH3–CH2–CH2–CH2Br.
Câu 24 :
Alkene C4H8 có bao nhiêu đồng phân khi tác dụng với dung dịch HCl chỉ cho một sản phẩm hữu cơ duy nhất ?
-
A.
2.
-
B.
1.
-
C.
3.
-
D.
4.
Câu 25 :
Trùng hợp ethene, sản phẩm thu được có cấu tạo là :
-
A.
(–CH2=CH2–)n.
-
B.
(–CH2–CH2–)n.
-
C.
(–CH=CH–)n.
-
D.
(–CH3–CH3–)n .
Câu 26 :
Oxi hoá etilene bằng dung dịch KMnO4 thu được sản phẩm là :
-
A.
MnO2, C2H4(OH)2, KOH.
-
B.
C2H5OH, MnO2, KOH.
-
C.
K2CO3, H2O, MnO2.
-
D.
C2H4(OH)2, K2CO3, MnO2.
Câu 27 :
Cho hợp chất sau :
Tên gọi của hợp chất theo danh pháp IUPAC là :
-
A.
2,2-đimethylbut-1-yne.
-
B.
2,2-đimethylbut-3-yne.
-
C.
3,3-đimethylbut-1-yne.
-
D.
3,3-đimethylbut-2-yne.
Câu 28 :
Cho sơ đồ phản ứng sau :
CH3–C≡CH + AgNO3/NH3 \( \to \) X + NH4NO3
X có công thức cấu tạo là?
-
A.
CH3–C–Ag≡C–Ag.
-
B.
CH3–C≡C–Ag.
-
C.
Ag–CH2–C≡C–Ag.
-
D.
A, B, C đều có thể đúng.
Câu 29 :
Cho một số arene có công thức cấu tạo sau:

Trong số các chất trên có bao nhiêu chất là đồng phân của nhau.
-
A.
2
-
B.
4
-
C.
6
-
D.
5
Câu 30 :
Ở điều kiện thích hợp (nhiệt độ, áp suất, chất xúc tác), benzene tác dụng được với tất cả các chất trong dãy nào dưới đây?
-
A.
HCl, HNO3, Cl2, H2.
-
B.
HNO3, H2, Cl2, H2O.
-
C.
HNO3, Cl2, KMnO4, Br2.
-
D.
HNO3, H2, Cl2, O2.
Lời giải và đáp án
Câu 1 :
Loại hydrocarbon nào có nhiều trong thành phần của dầu thô loại paraffinic?
-
A.
Alkane
-
B.
Cycloalkane
-
C.
Alkene
-
D.
Arene
Đáp án : A
Dựa vào ứng dụng của hydrocarbon
Alkane có nhiều trong thành phần của dầu thô loại paraffinic
Đáp án A
Câu 2 :
Khi đốt cháy 1 mol các chất sau đây giải phóng ra nhiệt lượng (gọi là nhiệt đốt cháy) như bảng sau:

Khi đốt 1 gam chất nào sẽ giải phóng ra nhiệt lượng lớn nhất?
-
A.
Methane
-
B.
Ethane
-
C.
Propane
-
D.
Butane
Đáp án : D
Dựa vào lượng nhiệt của các chất
Lượng nhiệt của butane lớn nhất khi đốt cháy
Đáp án D
Câu 3 :
Một mẫu khí gas X chứa hỗn hợp propane và butane.
Cho các phản ứng: \({C_3}{H_8}(g) + 5{O_2}(g) \to 3C{O_2}(g) + 4{H_2}O(l)\,\,\,{\Delta _r}H_{298}^0 = - 2220\,kJ\)
\({C_4}{H_{10}}(g) + \frac{{13}}{2}{O_2}(g) \to 4C{O_2}(g) + 5{H_2}O(l)\,\,\,\,{\Delta _r}H_{298}^0 = - 2874\,kJ\)
Đốt cháy hoàn toàn 12 gam mẫu khí gas X tỏa ra nhiệt lượng 597,6 kJ. Tỉ lệ số mol của propane và butane trong X là:
-
A.
1: 3
-
B.
2:3
-
C.
1:2
-
D.
3:1
Đáp án : C
Đặt số mol của propane và butane
Gọi số mol của C3H8: a mol; C4H10: b mol
Ta có: m C3H8 + m C4H10 = 44a + 58b = 12
Khi đốt cháy X tỏa lượng nhiệt là: -2220.a + (-2874).b = -597,6
=> a = 0,075; b =0,15
Tỉ lệ a:b = 1: 2
Đáp án C
Câu 4 :
Công thức cấu tạo của sản phẩm chính A, B trong sơ đồ phản ứng sau là:

-
A.
-
B.
-
C.
-
D.
Đáp án : C

Đáp án C
Câu 5 :
Cho các phát biểu sau:
(1) Propane và butane được sử dụng làm khí đốt;
(2) Ethene và propene được sử dụng để tổng hợp polymer;
(3) Acetylene được sử dụng làm nhiên liệu cho đèn xì oxygen-acetylene;
(4) Styrene được sử dụng tổng hợp polymer;
(5) Toluene được sử dụng tổng hợp thuốc nổ.
Số phát biểu đúng là
-
A.
5.
-
B.
2.
-
C.
3.
-
D.
4.
Đáp án : A
Dựa vào tính chất hóa học của hydrocarbon
(1) đúng
(2) đúng
(3) đúng
(4) đúng
(5) đúng
Đáp án A
Câu 6 :
Hợp chất hữu cơ X có tên gọi là: 2-chloro-3-methylpentane. Công thức cấu tạo của X là:
-
A.
CH3CH2CH(Cl)CH(CH3)2.
-
B.
CH3CH(Cl)CH(CH3)CH2CH3.
-
C.
CH3CH2CH(CH3)CH2CH2Cl.
-
D.
CH3CH(Cl)CH3CH(CH3)CH3.
Đáp án : B
Dựa vào tên gọi của X để xác định cấu tạo
2-chloro-3-methylpentane: CH3CH(Cl)CH(CH3)CH2CH3.
Đáp án B
Câu 7 :
Cho các chất :

Thứ tự tăng dần nhiệt độ sôi của các chất là :
-
A.
I < II < III.
-
B.
II < I < III.
-
C.
III < II < I.
-
D.
II < III < I.
Đáp án : D
Nhiệt độ sôi của các công thức cùng công thức phân tử xác định dựa vào lực van der Waals
Các công thức cấu tạo càng cồng kềnh thì nhiệt độ sôi càng thấp
II < III < I
Đáp án D
Câu 8 :
Sản phẩm của phản ứng thế clo (1:1, ánh sáng) vào 2,2-đimetylpropan là :
(1) CH3C(CH3)2CH2Cl (2) CH3C(CH2Cl)2CH3 (3) CH3ClC(CH3)3
-
A.
(1) ; (2).
-
B.
(2) ; (3).
-
C.
(2).
-
D.
(1).
Đáp án : D
Cl2 ưu tiên thế vị trí carbon bậc cao hơn

2,2 – dimethylpropane chỉ thu được 1 sản phẩm thế với chlorine
Đáp án D
Câu 9 :
Khi tiến hành phản ứng thế giữa alkane X với khí clo có chiếu sáng người ta thu được hỗn hợp Y chỉ chứa hai chất sản phẩm. Tỉ khối hơi của Y so với hydrogen là 35,75. Tên của X là :
-
A.
2,2-đimethylpropane.
-
B.
2-methylbutane.
-
C.
pentane.
-
D.
ethane.
Đáp án : A
Dựa vào tỉ khối hơi của Y so với hydrogen để xác định công thức của sản phẩm
M Y = 35,75 . 2 = 71,5
Gọi CTTQ của alkane là: CnH2n+2. Giả sử số mol của alkane là 1 mol
CnH2n+2 + xCl2 \( \to \) CnH2n+2-xClx + xHCl
1 x
Hỗn hợp Y gồm CnH2n+2-xClx và HCl
\(\begin{array}{l}{{\bar M}_Y} = \frac{{{m_{{C_n}{H_{2n + 2 - x}}C{l_x}}} + {m_{HCl}}}}{{{n_{{C_n}{H_{2n + 2 - x}}C{l_x}}} + {n_{HCl}}}} = \frac{{14n + 2 - x + 35,5x + 36,5x}}{{1 + x}} = 71,5\\ \to x = 1;n = 5\end{array}\)
Vì X phản ứng thế với Cl2 chỉ thu được 1 sản phẩm => CTCT của X là: 2,2-đimethylpropane.
Đáp án A
Câu 10 :
Đốt cháy hoàn toàn 2,479 lít hỗn hợp A (đktc) gồm CH4, C2H6 và C3H8 thu được V lít khí CO2 (đktc) và 7,2 gam H2O. Giá trị của V là :
-
A.
5,60.
-
B.
7,437.
-
C.
4,48.
-
D.
2,24.
Đáp án : B
Dựa vào phản ứng đốt cháy alkane: n alkane = n H2O – n CO2
n A = 2,479 : 24,79 = 0,1 mol
n A = n H2O – n CO2 = 0,4 – n CO2 => n CO2 = 0,4 – 0,1 = 0,3 mol
V CO2 = 0,3 . 24,79 = 7,437 lít
Câu 11 :
Nitro hoá benzene bằng hỗn hợp HNO3 đặc và H2SO4 đặc ở nhiệt độ ≤ 500C, tạo thành chất hữu cơ X. Phát biểu nào sau đây về X không đúng?
-
A.
Tên của X là nitrobenzene.
-
B.
X là chất lỏng, sánh như dầu.
-
C.
X có màu vàng.
-
D.
X tan tốt trong nước.
Đáp án : D
Dựa vào phản ứng của benzen với HNO3

X: nitrobenzene, lỏng, màu vàng, sánh như dầu và không tan trong nước
Đáp án D
Câu 12 :
Nhận xét nào sau đây không đúng đối với phản ứng cộng chlorine vào benzene?
-
A.
Khó hơn phản ứng cộng chlorine vào ethylene.
-
B.
Xảy ra với điều kiện ánh sáng tử ngoại và đun nóng.
-
C.
Sản phẩm thu được là 1,2,3,4,5,6-hexachlorocyclohexane.
-
D.
Tỉ lệ mol của các chất tham gia phản ứng là 1: 1.
Đáp án : D
Dựa vào phản ứng cộng của benzene
Tỉ lệ mol của các chất tham gia phản ứng là 1:3
Đáp án D
Câu 13 :
Tên gọi theo danh pháp thay thế của dẫn xuất halogen có công thức cấu tạo CH3 – CHCl – CH3 là
-
A.
1-chloropropane.
-
B.
2-chloropropane.
-
C.
3-chloropropane.
-
D.
propyl chloride.
Đáp án : B
Dựa vào quy tắc đọc tên của dẫn xuất halogen
CH3 – CHCl – CH3: 2 – chloropropane
Đáp án B
Câu 14 :
Tên gọi thay thế của dẫn xuất halogen có công thức cấu tạo CH3 – CH2 – CH2Br là
-
A.
1-bromopropane.
-
B.
2-bromopropane.
-
C.
3-bromopropane.
-
D.
propyl bromide.
Đáp án : A
Dựa vào quy tắc đọc tên của dẫn xuất halogen
CH3 – CH2 – CH2Br: 1 – bromopropane
Đáp án A
Câu 15 :
Công thức cấu tạo nào sau đây ứng với tên gọi không đúng?
-
A.
CH3Cl: chloromethane.
-
B.
ClCH2Br: chlorobromomethane.
-
C.
CH3CH2I: iodethane.
-
D.
CH3CH(F)CH3: 2-fluoropropane.
Đáp án : B
Dựa vào quy tắc đọc tên của dẫn xuất halogen
ClCH2Br: chlorobromomethane.
Câu 16 :
Cho các chất sau: C6H5CH2Cl ; CH3CHClCH3 ; CH3CH2Br ; CH2=CHCH2Cl. Tên gọi gốc - chức của các chất trên lần lượt là
-
A.
benzyl chloride; isopropyl chloride; ethyl bromide; allyl chloride.
-
B.
benzyl chloride; propyl chloride; methyl bromide; allyl chloride.
-
C.
phenyl chloride; isopropylchloride; 1,1-đibrometane; 1-chloroprop-2-ene.
-
D.
benzyl chloride; propyl chloride; 1,1-đibrometane; 1-chloroprop-2-ene.
Đáp án : A
C6H5CH2Cl: benzyl chloride; CH3CHClCH3: isopropyl chloride; CH3CH2Br: ethyl bromide; CH2=CHCH2Cl: allyl chloride
Đáp án A
Câu 17 :
Cho các thí nghiệm:
(a) Đun nóng C6H5CH2Cl trong dung dịch NaOH
(b) Đung nóng hỗn hợp CH3CH2CH2Cl, KOH và C2H5OH
(c) Đun nóng CH3CH2CH2Cl trong dung dịch NaOH
(d) Đun nóng hỗn hợp CH3CHClCH=CH2, KOH và C2H5OH
Có bao nhiêu thí nghiệm tạo sản phẩm chính là alcohol?
-
A.
3
-
B.
1
-
C.
4
-
D.
2
Đáp án : D
Dựa vào tính chất hóa học của dẫn xuất halogen
(a) đúng
(b) sai, đó là phản ứng tách
(c) đúng
(d) sai, đó là phản ứng tách
Đáp án D
Câu 18 :
Cho các sơ đồ phản ứng theo đúng tỉ lệ mol:
(1) X + 2H2O \( \to \) Y + Ca(OH)2;
(2) Y + 2AgNO3 + 2NH3 \( \to \) R + 2NH4NO3.
(3) R + 2HCl \( \to \) Y + 2AgCl.
Biết Y là hyđrocarbon có chứa 92,31% carbon theo khối lượng. Cho các phát biểu sau:
(a) Y làm mất màu Br2 trong CCl4;
(b) Y là chất khí, ít tan trong nước;
(c) Y dùng làm nhiên liệu để hàn cắt kim loại;
(d) Trong Y có 3 liên kết đơn.
Số phát biểu đúng là
-
A.
1.
-
B.
4.
-
C.
2.
-
D.
3.
Đáp án : D
Xác định được X, Y theo sơ đồ phản ứng
Từ (1) => Y là C2H2; X là CaC2
Vì Y là C2H2 => R: \(AgC \equiv CAg\)
Y tác dụng với AgNO3/NH3 => Y có nối ba đầu mạch => Y làm mất màu Br2 trong CCl4 => a đúng
Y là chất khí, không tan trong nước => b sai
Y được dùng làm nhiên liệu để hàn cắt kim loại => c đúng
Trong cấu tạo Y có 3 liên kết đơn, 2 liên kết pi => d đúng
Đáp án D
Câu 19 :
Hỗn hợp khí X gồm ethylene và propyne. Cho a mol X tác dụng với lượng dư dung dịch AgNO3 trong NH3, thu được 17,64 gam kết tủa. Mặt khác a mol X phản ứng tối đa với 0,34 mol H2. Giá trị của a?
-
A.
0,32.
-
B.
0,34.
-
C.
0,46.
-
D.
0,22.
Đáp án : B
Propyne có phản ứng với dung dịch AgNO3/NH3.
\(HC \equiv C - C{H_3} + AgN{O_3} + N{H_3} \to AgC \equiv C - C{H_3}\)
n kết tủa = 17,64 : 147 = 0,12 mol => n C3H4 = 0,12 mol
Khi tác dụng với H2
\(\begin{array}{l}{C_2}{H_4} + {H_2} \to {C_2}{H_6}\\{\rm{ 0,1}} \leftarrow {\rm{ 0,1}}\\{C_3}{H_4} + 2{H_2} \to {C_3}{H_8}\\0,12 \to 0,24\end{array}\)
Đáp án B
Câu 20 :
Phân tử methane không tan trong nước vì lí do nào sau đây?
-
A.
Phân tử methane không phân cực.
-
B.
Methane là chất khí.
-
C.
Phân tử khối của methane nhỏ.
-
D.
Methane không có liên kết đôi.
Đáp án : A
Dựa vào cấu tạo của alkane
Methane không tan trong nước vì phân tử không phân cực
Đáp án A
Câu 21 :
Cho các chất sau :
(I) CH2=CHCH2CH2CH=CH2 (II) CH2=CHCH=CHCH2CH3
(III) CH3C(CH3)=CHCH2 (IV) CH2=CHCH2CH=CH2
(V) CH3CH2CH=CHCH2CH3 (VI) CH3C(CH3)=CHCH2CH3
(VII) CH3CH=CHCH3 (VIII) CH3CH2C(CH3)=C(C2H5)CH(CH3)2
Số chất có đồng phân hình học là :
-
A.
4.
-
B.
1.
-
C.
2.
-
D.
3.
Đáp án : A
Dựa vào đặc điểm của cấu tạo của alkane
II, III, VII, VIII có đồng phân hình học
Đáp án A
Câu 22 :
Hợp chất 2,5-đimethylhex-1-ene ứng với CTCT nào dưới đây ?
-
A.
-
B.
-
C.
-
D.
Đáp án : D
Dựa vào tên gọi của alkene để xác định CTCT

Câu 23 :
Khi cho but-1-ene tác dụng với dung dịch HBr, theo quy tắc Maccopnhicop sản phẩm nào sau đây là sản phẩm chính ?
-
A.
CH3–CH2–CHBr–CH2Br.
-
B.
CH2Br–CH2–CH2–CH2Br.
-
C.
CH3–CH2–CHBr–CH3.
-
D.
CH3–CH2–CH2–CH2Br.
Đáp án : C
Dựa vào quy tắc Maccopnhicop để xác định sản phẩm chính
CH2=CH-CH2-CH3 + HBr \( \to \) CH3–CH2–CHBr–CH3.
Đáp án C
Câu 24 :
Alkene C4H8 có bao nhiêu đồng phân khi tác dụng với dung dịch HCl chỉ cho một sản phẩm hữu cơ duy nhất ?
-
A.
2.
-
B.
1.
-
C.
3.
-
D.
4.
Đáp án : A
Dựa vào các đồng phân của C4H8
CH3 – CH = CH – CH3 + HCl \( \to \) CH3 – CHCl – CH2 – CH3
CH3 – CH = CH – CH3 có đồng phân hình học là cis và trans => Có 2 đồng phân
Đáp án A
Câu 25 :
Trùng hợp ethene, sản phẩm thu được có cấu tạo là :
-
A.
(–CH2=CH2–)n.
-
B.
(–CH2–CH2–)n.
-
C.
(–CH=CH–)n.
-
D.
(–CH3–CH3–)n .
Đáp án : B
CH2 = CH2 có phản ứng trùng hợp để tạo polymer

Đáp án B
Câu 26 :
Oxi hoá etilene bằng dung dịch KMnO4 thu được sản phẩm là :
-
A.
MnO2, C2H4(OH)2, KOH.
-
B.
C2H5OH, MnO2, KOH.
-
C.
K2CO3, H2O, MnO2.
-
D.
C2H4(OH)2, K2CO3, MnO2.
Đáp án : A
Dựa vào phản ứng của C2H4 với KMnO4
3CH2 = CH2 + 2KMnO4 + 4H2O \( \to \)3C2H4(OH)2 + 2MnO2 + 2KOH
Sản phẩm là: MnO2, C2H4(OH)2, KOH.
Đáp án A
Câu 27 :
Cho hợp chất sau :
Tên gọi của hợp chất theo danh pháp IUPAC là :
-
A.
2,2-đimethylbut-1-yne.
-
B.
2,2-đimethylbut-3-yne.
-
C.
3,3-đimethylbut-1-yne.
-
D.
3,3-đimethylbut-2-yne.
Đáp án : C
Dựa vào quy tắc đọc tên của alkyne

Đáp án C
Câu 28 :
Cho sơ đồ phản ứng sau :
CH3–C≡CH + AgNO3/NH3 \( \to \) X + NH4NO3
X có công thức cấu tạo là?
-
A.
CH3–C–Ag≡C–Ag.
-
B.
CH3–C≡C–Ag.
-
C.
Ag–CH2–C≡C–Ag.
-
D.
A, B, C đều có thể đúng.
Đáp án : B
Alk – 1 – yne có phản ứng thế H trong dung dịch AgNO3/NH3
CH3–C≡CH + AgNO3/NH3 \( \to \) CH3–C≡C–Ag. + NH4NO3
Đáp án B
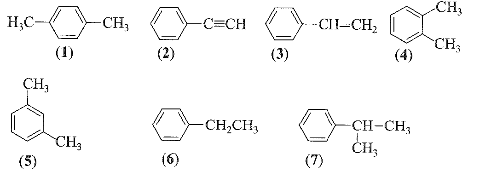
Câu 29 :
Cho một số arene có công thức cấu tạo sau:

Trong số các chất trên có bao nhiêu chất là đồng phân của nhau.
-
A.
2
-
B.
4
-
C.
6
-
D.
5
Đáp án : B
Đồng phân là những hợp chất có cùng công thức phân tử khác nhau về công thức cấu tạo
(1), (4), (5), (6) là đồng phân của nhau vì có chung công thức phân tử là C8H10
Đáp án B
Câu 30 :
Ở điều kiện thích hợp (nhiệt độ, áp suất, chất xúc tác), benzene tác dụng được với tất cả các chất trong dãy nào dưới đây?
-
A.
HCl, HNO3, Cl2, H2.
-
B.
HNO3, H2, Cl2, H2O.
-
C.
HNO3, Cl2, KMnO4, Br2.
-
D.
HNO3, H2, Cl2, O2.
Đáp án : D
Dựa vào tính chất hóa học của benzene
ở điều kiện thích hợp benzene tác dụng được với HNO3, H2, Cl2, O2
Đáp án D
Đề thi giữa kì 2 Hóa 11 Cánh diều - Đề số 4
Cho các công thức: CH4, C2H4, C2H2, C2H6, C3H8, C4H6, C5H12, C6H10, C6H6. Những công thức nào là của alkane?
Xem chi tiết
Đề thi giữa kì 2 Hóa 11 Cánh diều - Đề số 5
Cho hai hydrocarbon thơm có cùng công thức phân tử C9H12:
Xem chi tiết
Đề thi giữa kì 2 Hóa 11 Cánh diều - Đề số 6
Công thức tổng quát của alkyne là
Xem chi tiết
Đề thi giữa kì 2 Hóa 11 Cánh diều - Đề số 7
Alkane là gì?
Xem chi tiết
Đề thi giữa kì 2 Hóa 11 Cánh diều - Đề số 2
Nhận định nào sau đây sai khi nói về tính chất vật lí của alkane
Xem chi tiết
Đề thi giữa kì 2 Hóa 11 Cánh diều - Đề số 1
Alkane là hidrocarbon mạch hở trong phân tử
Xem chi tiết
>> 2K9 Học trực tuyến - Định hướng luyện thi TN THPT, ĐGNL, ĐGTD ngay từ lớp 11 (Xem ngay) cùng thầy cô giáo giỏi trên Tuyensinh247.com. Bứt phá điểm 9,10 chỉ sau 3 tháng, tiếp cận sớm các kì thi.
![]() |
![]() |
![]() |
![]() |
![]() |
![]() |
![]() |
![]() |







