Tải về
Tổng hợp đề thi học kì 1 lớp 11 tất cả các môn - Cánh diều
Toán - Văn - Anh - Lí - Hóa - Sinh
Alkane là gì?
Đề bài
Câu 1 :
Alkane là
-
A.
những hợp chất mà trong phân tử chỉ có liên kết đơn.
-
B.
hydrocarbon mạch hở chỉ có liên kết đơn trong phân tử.
-
C.
hydrocarbon có các liên kết đơn trong phân tử.
-
D.
hydrocarbon có ít nhất một liên kết đơn trong phân tử.
Câu 2 :
Biogas (khí sinh học) được sinh ra từ quá trình phân hủy kị khí các chất thải của gia súc, rơm rạ, rác thải hữu cơ, … Nó có thể được dùng để đun nấu, chạy máy phát điện sinh hoạt gia đình. Thành phần chính của biogas là
-
A.
nitrogen.
-
B.
carbon dioxide.
-
C.
ammonia.
-
D.
methane.
Câu 3 :
Nhiệt độ nóng chảy và nhiệt độ sôi của một số alkane được cho ở bảng sau đây:
|
Alkane |
Nhiệt độ nóng chảy (oC) |
Nhiệt độ sôi (oC) |
|
Propane |
–187,7 |
–42,1 |
|
Butane |
–138,3 |
–0,5 |
|
Pentane |
–129,7 |
36,1 |
|
Hexane |
–95,3 |
68,7 |
Số alkane tồn tại ở thể khí ở điều kiện thường trong bảng trên là
-
A.
1
-
B.
2
-
C.
3
-
D.
4
Câu 4 :
Mô hình phân tử methane được biểu diễn như hình bên.

Phát biểu nào sau đây đúng?
-
A.
Nguyên tử carbon trong phân tử methane nằm ở một hình tứ diện.
-
B.
Bốn liên kết C–H trong phân tử methane không giống nhau.
-
C.
Liên kết cộng hóa trị trong phân tử ethane kém bền và kém phân cực.
-
D.
Phân tử ethane có 4 nguyên tử hydrogen
Câu 5 :
Công thức chung của alkyne là
-
A.
CnH2n (n>1).
-
B.
CnH2n (n>1).
-
C.
CnH2n–2 (n≥2).
-
D.
CnH2n (n>2).
Câu 6 :
Trong các chất dưới đây, chất nào là hydrocarbon không no?
-
A.
CH4.
-
B.
CH3 – CH3.
-
C.
CH2 = CH2.
-
D.
CH3 – CH2 – CH3.
Câu 7 :
Nhận xét nào đúng về nhiệt độ nóng chảy và nhiệt độ sôi của các alkene theo chiều tăng số nguyên tử?
-
A.
Nhiệt độ nóng chảy thường tăng dần, nhiệt độ sôi thường giảm dần.
-
B.
Nhiệt độ nóng chảy và nhiệt độ sôi tăng dần.
-
C.
Nhiệt độ nóng chảy và nhiệt độ sôi giảm dần.
-
D.
Nhiệt độ nóng chảy thường giảm dần, nhiệt độ sôi thường tăng dần.
Câu 8 :
Liên kết đôi C=C trong phân tử CH2=CH2 gồm
-
A.
một liên kết σ và hai liên kết π.
-
B.
năm liên kết σ và một liên kết π.
-
C.
bốn liên kết σ và một liên kết π.
-
D.
một liên kết σ và một liên kết π.
Câu 9 :
Công thức nào đây là công thức phân tử của một arene?
-
A.
C7H10.
-
B.
C8H8.
-
C.
C7H14.
-
D.
C6H8.
Câu 10 :
Benzene là nguyên liệu quan trọng để sản xuất các alkylbenzene sulfonate mạch không nhánh là thành phần chính của bột giặt. Số nguyên tử H trong phân tử benzene là
-
A.
7.
-
B.
8.
-
C.
6.
-
D.
10.
Câu 11 :
Đun nóng hỗn hợp gồm CH3CH2CH2Cl và KOH trong C2H5OH thu được alkene X. Sản phẩm chính thu được khi cho X tác dụng với Br2 là
-
A.
CH3CH2CH2Br.
-
B.
CH3CHBrCH3.
-
C.
CH3CH2CHBr2.
-
D.
CH3CHBrCH2Br.
Câu 12 :
Cho chuyển hóa :

Chất Y trong chuyển hóa trên là
-
A.
o–CH3C6H4ONa.
-
B.
p–CH3C6H4OH.
-
C.
C6H5CH2OH.
-
D.
p–ClC6H4CH3.
Các hợp chất hữu cơ X, Y, Z có công thức cấu tạo như sau:

a. X, Y, Z đều là đồng đẳng của nhau
b. Nhỏ 1 mL X vào ống nghiệm chứa 2 mL dung dịch thuốc tím (KMnO4), lắc đều ống nghiệm sau đó đun nóng (đồng thời lắc đều) trong khoảng vài phút. Kết thúc thí nghiệm thu được dung dịch trong suốt.
c. Nhỏ 1 mL Y vào ống nghiệm chứa 2 mL dung dịch thuốc tím (KMnO4), lắc đều ống nghiệm sau đó đun nóng (đồng thời lắc đều) trong khoảng vài phút. Kết thúc thí nghiệm, màu tím của dung dịch trong ống nghiệm ban đầu nhạt đi (hoặc mất màu).
d. Z tác dụng được với nước bromine, làm mất màu dung dịch thuốc tím ở điều kiện thường.
Chất (X) có công thức cấu tạo như sau:

a. Tên của (X) là vinyl chloride.
b. Trùng hợp (X) thu được polymer dùng để làm ống nước, vỏ bọc dây điện.
c. (X) có đồng phân hình học.
d. Chất CH2=CHBr là đồng phân của (X).
Cho các đồng phân mạch hở, không phân nhánh của C4H8 tác dụng với H2O (H2SO4, t0) thì thu được tối đa bao nhiêu sản phẩm?
Đáp án:
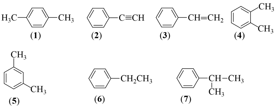
Cho các hydrocarbon có công thức cấu tạo như sau:

Trong số các chất trên, có bao nhiêu chất là đồng phân cấu tạo của nhau?
Đáp án:
Đun sôi 6,45 gam một dẫn xuất monochloro X trong dung dịch NaOH dư đến khi phản ứng hoàn toàn. Acid hóa bằng dung dịch HNO3 sau đó thêm vào dung dịch một lượng dư AgNO3 thấy có 14,35 gam kết tủa. Phân tử khối của X là bao nhiêu amu?
Cho khối lượng nguyên tử của các nguyên tố (amu): C = 12; H = 1; Cl = 35,5; Ag = 108; N = 14; Na = 23.
Đáp án:
Có bao nhiêu phân tử alkane (có số nguyên tử C < 5) thực hiện phản ứng thế với Cl2 chỉ một sản phẩm thế monochloro.
Đáp án:
Một loại polyethylene có phân tử khối là 50000. Trong polymer trên có bao nhiêu đơn vị –CH2–CH2–?
Đáp án:
Câu 1 :
Một của hàng có 10 máy photocopy. Bình quân mỗi máy sử dụng liên tục 12 giờ/ngày. Trong một tháng (30 ngày), có bao nhiêu gam cumene tối đa phát thải từ 1000 cửa hàng có quy mô trên?
Câu 2 :
Một bình gas (khí hóa lỏng) sử dụng trong hộ gia đình X chứa 12 kg hỗn hợp propane và butane với tỉ lệ mol 1 : 2. Khi đốt cháy hoàn toàn, 1 mol propane tỏa ra lượng nhiệt là 2220 kJ và 1 mol butane tỏa ra lượng nhiệt là 2850 kJ. Trung bình, lượng nhiệt tiêu thụ từ đốt khí gas của hộ gia đình X là 11 000 kJ/ngày và hiệu suất sử dụng nhiệt là 80%. Sau bao nhiều ngày hộ gia đình X sử dụng hết bình gas trên? Kết quả làm tròn đến hàng đơn vị.
Lời giải và đáp án
Câu 1 :
Alkane là
-
A.
những hợp chất mà trong phân tử chỉ có liên kết đơn.
-
B.
hydrocarbon mạch hở chỉ có liên kết đơn trong phân tử.
-
C.
hydrocarbon có các liên kết đơn trong phân tử.
-
D.
hydrocarbon có ít nhất một liên kết đơn trong phân tử.
Đáp án : B
Dựa vào khái niệm của alkane.
Alkane là hợp chất hydrocarbon mạch hở chỉ chứa liên kết đơn trong phân tử.
Đáp án B
Câu 2 :
Biogas (khí sinh học) được sinh ra từ quá trình phân hủy kị khí các chất thải của gia súc, rơm rạ, rác thải hữu cơ, … Nó có thể được dùng để đun nấu, chạy máy phát điện sinh hoạt gia đình. Thành phần chính của biogas là
-
A.
nitrogen.
-
B.
carbon dioxide.
-
C.
ammonia.
-
D.
methane.
Đáp án : D
Dựa vào ứng dụng của alkane.
Thành phần chính của biogas là methane.
Đáp án D
Câu 3 :
Nhiệt độ nóng chảy và nhiệt độ sôi của một số alkane được cho ở bảng sau đây:
|
Alkane |
Nhiệt độ nóng chảy (oC) |
Nhiệt độ sôi (oC) |
|
Propane |
–187,7 |
–42,1 |
|
Butane |
–138,3 |
–0,5 |
|
Pentane |
–129,7 |
36,1 |
|
Hexane |
–95,3 |
68,7 |
Số alkane tồn tại ở thể khí ở điều kiện thường trong bảng trên là
-
A.
1
-
B.
2
-
C.
3
-
D.
4
Đáp án : B
Dựa vào nhiệt độ sôi, nhiệt nóng chảy của alkane.
Propane và butane tồn tại ở thể khí do nhiệt độ sôi thấp.
Đáp án B
Câu 4 :
Mô hình phân tử methane được biểu diễn như hình bên.

Phát biểu nào sau đây đúng?
-
A.
Nguyên tử carbon trong phân tử methane nằm ở một hình tứ diện.
-
B.
Bốn liên kết C–H trong phân tử methane không giống nhau.
-
C.
Liên kết cộng hóa trị trong phân tử ethane kém bền và kém phân cực.
-
D.
Phân tử ethane có 4 nguyên tử hydrogen
Đáp án : A
Dựa vào mô hình phân tử methane.
A đúng
B sai, bốn liên kết C – H trong phân tử methane giống nhau.
C, D sai vì đang nói đến ethane.
Đáp án A
Câu 5 :
Công thức chung của alkyne là
-
A.
CnH2n (n>1).
-
B.
CnH2n (n>1).
-
C.
CnH2n–2 (n≥2).
-
D.
CnH2n (n>2).
Đáp án : C
Dựa vào công thức chung của alkyne.
Công thức chung của alkyne là: CnH2n–2 (n≥2).
Đáp án C
Câu 6 :
Trong các chất dưới đây, chất nào là hydrocarbon không no?
-
A.
CH4.
-
B.
CH3 – CH3.
-
C.
CH2 = CH2.
-
D.
CH3 – CH2 – CH3.
Đáp án : C
Hydrocarbon không no chứa liên kết bội.
CH2 = CH2 thuộc hydrocarbon không no do có chứa 1 liên kết đôi.
Đáp án C
Câu 7 :
Nhận xét nào đúng về nhiệt độ nóng chảy và nhiệt độ sôi của các alkene theo chiều tăng số nguyên tử?
-
A.
Nhiệt độ nóng chảy thường tăng dần, nhiệt độ sôi thường giảm dần.
-
B.
Nhiệt độ nóng chảy và nhiệt độ sôi tăng dần.
-
C.
Nhiệt độ nóng chảy và nhiệt độ sôi giảm dần.
-
D.
Nhiệt độ nóng chảy thường giảm dần, nhiệt độ sôi thường tăng dần.
Đáp án : B
Dựa vào tính chất vật lí của alkene.
Nhiệt đội sôi, nhiệt độ nóng chảy tăng dần do khối lượng phân tử tăng.
Đáp án B
Câu 8 :
Liên kết đôi C=C trong phân tử CH2=CH2 gồm
-
A.
một liên kết σ và hai liên kết π.
-
B.
năm liên kết σ và một liên kết π.
-
C.
bốn liên kết σ và một liên kết π.
-
D.
một liên kết σ và một liên kết π.
Đáp án : D
Dựa vào cấu tạo của ethene.
Liên kết đôi C = C gồm một liên kết σ và một liên kết π.
Đáp án D
Câu 9 :
Công thức nào đây là công thức phân tử của một arene?
-
A.
C7H10.
-
B.
C8H8.
-
C.
C7H14.
-
D.
C6H8.
Đáp án : B
Dựa vào khái niệm của arene.
C8H8 có chứa 1 vòng benzene nên thuộc dãy arene.
Đáp án B
Câu 10 :
Benzene là nguyên liệu quan trọng để sản xuất các alkylbenzene sulfonate mạch không nhánh là thành phần chính của bột giặt. Số nguyên tử H trong phân tử benzene là
-
A.
7.
-
B.
8.
-
C.
6.
-
D.
10.
Đáp án : C
Dựa vào công thức phân tử của benzene.
Có 6 nguyên tử H trong phân tử benzene.
Đáp án C
Câu 11 :
Đun nóng hỗn hợp gồm CH3CH2CH2Cl và KOH trong C2H5OH thu được alkene X. Sản phẩm chính thu được khi cho X tác dụng với Br2 là
-
A.
CH3CH2CH2Br.
-
B.
CH3CHBrCH3.
-
C.
CH3CH2CHBr2.
-
D.
CH3CHBrCH2Br.
Đáp án : D
Dựa vào tính chất hóa học của dẫn xuất halogen.

Câu 12 :
Cho chuyển hóa :

Chất Y trong chuyển hóa trên là
-
A.
o–CH3C6H4ONa.
-
B.
p–CH3C6H4OH.
-
C.
C6H5CH2OH.
-
D.
p–ClC6H4CH3.
Đáp án : C
Dựa vào tính chất hóa học của alkybenzene.

Các hợp chất hữu cơ X, Y, Z có công thức cấu tạo như sau:

a. X, Y, Z đều là đồng đẳng của nhau
b. Nhỏ 1 mL X vào ống nghiệm chứa 2 mL dung dịch thuốc tím (KMnO4), lắc đều ống nghiệm sau đó đun nóng (đồng thời lắc đều) trong khoảng vài phút. Kết thúc thí nghiệm thu được dung dịch trong suốt.
c. Nhỏ 1 mL Y vào ống nghiệm chứa 2 mL dung dịch thuốc tím (KMnO4), lắc đều ống nghiệm sau đó đun nóng (đồng thời lắc đều) trong khoảng vài phút. Kết thúc thí nghiệm, màu tím của dung dịch trong ống nghiệm ban đầu nhạt đi (hoặc mất màu).
d. Z tác dụng được với nước bromine, làm mất màu dung dịch thuốc tím ở điều kiện thường.
a. X, Y, Z đều là đồng đẳng của nhau
b. Nhỏ 1 mL X vào ống nghiệm chứa 2 mL dung dịch thuốc tím (KMnO4), lắc đều ống nghiệm sau đó đun nóng (đồng thời lắc đều) trong khoảng vài phút. Kết thúc thí nghiệm thu được dung dịch trong suốt.
c. Nhỏ 1 mL Y vào ống nghiệm chứa 2 mL dung dịch thuốc tím (KMnO4), lắc đều ống nghiệm sau đó đun nóng (đồng thời lắc đều) trong khoảng vài phút. Kết thúc thí nghiệm, màu tím của dung dịch trong ống nghiệm ban đầu nhạt đi (hoặc mất màu).
d. Z tác dụng được với nước bromine, làm mất màu dung dịch thuốc tím ở điều kiện thường.
Dựa vào tính chất hóa học của arene.
a) sai, vì Z không thuộc đồng đẳng của benzene.
b) sai, X không bị oxi hóa với thuốc tím.
c) đúng.
d) đúng
Chất (X) có công thức cấu tạo như sau:

a. Tên của (X) là vinyl chloride.
b. Trùng hợp (X) thu được polymer dùng để làm ống nước, vỏ bọc dây điện.
c. (X) có đồng phân hình học.
d. Chất CH2=CHBr là đồng phân của (X).
a. Tên của (X) là vinyl chloride.
b. Trùng hợp (X) thu được polymer dùng để làm ống nước, vỏ bọc dây điện.
c. (X) có đồng phân hình học.
d. Chất CH2=CHBr là đồng phân của (X).
a) đúng
b) đúng
c) sai, X không có đồng phân hình học.
d) sai, vì CH2=CHBr chứa Br nên không phải đồng phân của X
Cho các đồng phân mạch hở, không phân nhánh của C4H8 tác dụng với H2O (H2SO4, t0) thì thu được tối đa bao nhiêu sản phẩm?
Đáp án:
Đáp án:
Dựa vào tính chất hóa học của alkene.
Thu được tối đa 2 sản phẩm theo quy tắc cộng markcopnhicop.
Cho các hydrocarbon có công thức cấu tạo như sau:

Trong số các chất trên, có bao nhiêu chất là đồng phân cấu tạo của nhau?
Đáp án:
Đáp án:
Dựa vào đồng đẳng các hydrocarbon.
(1), (4), (5), (6) là các đồng phân cấu tạo của nhau vì có cùng CTPT C8H10.
Đáp án 4
Đun sôi 6,45 gam một dẫn xuất monochloro X trong dung dịch NaOH dư đến khi phản ứng hoàn toàn. Acid hóa bằng dung dịch HNO3 sau đó thêm vào dung dịch một lượng dư AgNO3 thấy có 14,35 gam kết tủa. Phân tử khối của X là bao nhiêu amu?
Cho khối lượng nguyên tử của các nguyên tố (amu): C = 12; H = 1; Cl = 35,5; Ag = 108; N = 14; Na = 23.
Đáp án:
Đáp án:
Dựa vào tính chất hóa học của alkane.
m kết tủa = m AgCl = 14,35 g => n AgCl = 14,35 : 143,5 = 0,1 mol
n AgCl = n X = 0,1 mol => MX = 6,45 : 0,1 = 64,5 amu
Đáp án 64,5
Có bao nhiêu phân tử alkane (có số nguyên tử C < 5) thực hiện phản ứng thế với Cl2 chỉ một sản phẩm thế monochloro.
Đáp án:
Đáp án:
Dựa vào tính chất hóa học của alkane.
CH4, CH3 – CH3 là các alkane chỉ có 1 sản phẩm thế monochloro khi tham gia phản ứng thế với Cl2.
Đáp án 2
Một loại polyethylene có phân tử khối là 50000. Trong polymer trên có bao nhiêu đơn vị –CH2–CH2–?
Đáp án:
Đáp án:
Tính số mắt xích ethylene có trong polyethylene.
Số mắt xích = 50000 : 28 = 1786
Câu 1 :
Một của hàng có 10 máy photocopy. Bình quân mỗi máy sử dụng liên tục 12 giờ/ngày. Trong một tháng (30 ngày), có bao nhiêu gam cumene tối đa phát thải từ 1000 cửa hàng có quy mô trên?
Trong 1 tháng, 1 của hàng với quy mô 10 máy photocopy sử dụng liên tục: 10.12.30 = 3600 (giờ)
Như vậy, trong 1 tháng, 1 của hàng với quy mô như trên phát thải tối đa:
220.3600 = 792000 (μg) = 0,792 (g)
Vậy 1000 cửa hàng trong 1 tháng phát thải tối đa là: 1000.0,792 = 792 (g) cumene
Câu 2 :
Một bình gas (khí hóa lỏng) sử dụng trong hộ gia đình X chứa 12 kg hỗn hợp propane và butane với tỉ lệ mol 1 : 2. Khi đốt cháy hoàn toàn, 1 mol propane tỏa ra lượng nhiệt là 2220 kJ và 1 mol butane tỏa ra lượng nhiệt là 2850 kJ. Trung bình, lượng nhiệt tiêu thụ từ đốt khí gas của hộ gia đình X là 11 000 kJ/ngày và hiệu suất sử dụng nhiệt là 80%. Sau bao nhiều ngày hộ gia đình X sử dụng hết bình gas trên? Kết quả làm tròn đến hàng đơn vị.
Gọi số mol C3H8 và số mol C4H10 là 2a, ta có: 44a + 58.2a = 12.1000 Þ a = 75 mol
Nhiệt tỏa ta khi đốt cháy 12 kg gas trên là Q = 75.2220 + 150.2850 = 594000 (kJ)
Vì H = 80% \( \Rightarrow \) nhiệt sử dụng thực tế là 594000.80% = 475200 kJ
Số ngày sử dụng hết bình gas = \(\frac{{475200}}{{11000}} \approx 43\) (ngày)
Đề thi giữa kì 2 Hóa 11 Cánh diều - Đề số 6
Công thức tổng quát của alkyne là
Xem chi tiết
Đề thi giữa kì 2 Hóa 11 Cánh diều - Đề số 5
Cho hai hydrocarbon thơm có cùng công thức phân tử C9H12:
Xem chi tiết
Đề thi giữa kì 2 Hóa 11 Cánh diều - Đề số 4
Cho các công thức: CH4, C2H4, C2H2, C2H6, C3H8, C4H6, C5H12, C6H10, C6H6. Những công thức nào là của alkane?
Xem chi tiết
Đề thi giữa kì 2 Hóa 11 Cánh diều - Đề số 3
Loại hydrocarbon nào có nhiều trong thành phần của dầu thô loại paraffinic?
Xem chi tiết
Đề thi giữa kì 2 Hóa 11 Cánh diều - Đề số 2
Nhận định nào sau đây sai khi nói về tính chất vật lí của alkane
Xem chi tiết
Đề thi giữa kì 2 Hóa 11 Cánh diều - Đề số 1
Alkane là hidrocarbon mạch hở trong phân tử
Xem chi tiết
>> 2K9 Học trực tuyến - Định hướng luyện thi TN THPT, ĐGNL, ĐGTD ngay từ lớp 11 (Xem ngay) cùng thầy cô giáo giỏi trên Tuyensinh247.com. Bứt phá điểm 9,10 chỉ sau 3 tháng, tiếp cận sớm các kì thi.
![]() |
![]() |
![]() |
![]() |
![]() |
![]() |
![]() |
![]() |







