Tải về
Tổng hợp đề thi học kì 1 lớp 11 tất cả các môn - Chân trời sáng tạo
Toán - Văn - Anh - Lí - Hóa - Sinh
Dãy nào sau đây chỉ gồm các chất thuộc dãy đồng đẳng của methane.
Đề bài
Câu 1 :
Dãy nào sau đây chỉ gồm các chất thuộc dãy đồng đẳng của methane.
-
A.
C2H2, C3H4, C4H6, C5H8
-
B.
CH4, C2H2, C3H4, C4H10
-
C.
CH4, C2H6, C4H10, C5H12
-
D.
C2H6, C3H8, C5H10, C6H12
Câu 2 :
Hydrocarbon X là một trong hai chất chủ yếu gây hiệu ứng nhà kính. Trong tự nhiên X được sinh ra từ quá trình phân hủy xác động thực vật trong điều kiện thiếu không khí. Đồng đẳng kế tiếp của X của CTPT là:
-
A.
C2H6
-
B.
C3H8
-
C.
CH4
-
D.
C2H2
Câu 3 :
Alkane A có 16,28% khối lượng H trong phân tử. Số đồng phân cấu tạo của A là:
-
A.
3
-
B.
4
-
C.
5
-
D.
6
Câu 4 :
Một đồng phân của C6H14 có công thức cấu tạo như sau:

Bậc của nguyên tử carbon số 3 trong mạch chính là:
-
A.
bậc III
-
B.
bậc II
-
C.
bậc IV
-
D.
bậc I
Câu 5 :
Alkane X có công thức cấu tạo như sau:

Tên của X là
-
A.
3 – ethypentane
-
B.
3 – ethylhexane
-
C.
Hexane
-
D.
4 – methylpentane
Câu 6 :
Cho các chất sau: (X) 1 – chloropropane và (Y) 2 – chloropropane. Sản phẩm của phản ứng monochlorine hóa propane là
-
A.
X
-
B.
Y
-
C.
cả hai chất
-
D.
chất khác X, Y
Câu 7 :
Hợp chất A sau đây có thể tạo được bao nhiêu dẫn xuất monobromo?

-
A.
2
-
B.
3
-
C.
4
-
D.
5
Câu 8 :
Phát biểu nào sau đây không đúng về phản ứng reforming alkane?
-
A.
Chuyển alkane mạch không phân nhánh thành các alkane mạch phân nhánh
-
B.
Chuyển alkane mạch không phân nhánh thành các hydrocarbon mạch vòng
-
C.
Số nguyên tử carbon của chất tham gia và của sản phẩm bằng nhau.
-
D.
Nhiệt độ của sản phẩm lớn hơn nhiều so với alkane tham gia phản ứng
Câu 9 :
Trong số các chất sau, chất nào có thể là sản phẩm của phản ứng reforming hexane?
-
A.
-
B.
-
C.
-
D.
Câu 10 :
Khi cho alkane X (trong phân tử có phần trăm khối lượng hydrogen bằng 16,28%) tác dụng với chlorine theo tỉ lệ số mol 1:1 (trong điều kiện chiếu sáng), chỉ thu được 2 dẫn xuất monochloro đồng phân của nhau. Tên của X là:
-
A.
butane
-
B.
2,3 – dimethylbutane
-
C.
3 – methylpentane
-
D.
2 – methylpropane
Câu 11 :
Alkene sau có tên gọi là

-
A.
2-methylbut-2-ene.
-
B.
3-methylbut-2-ene.
-
C.
2-metybut-3-ene.
-
D.
3-methylbut-3-ene.
Câu 12 :
Alkyne dưới đây có tên gọi là

-
A.
1,4-đimethylpent-2-yne.
-
B.
5-methylhept-3-yne.
-
C.
1,4-đimethylhex-2-yne.
-
D.
4-methylhex-3-yne.
Câu 13 :
Cho phản ứng:
Sản phẩm chính của phản ứng trên là:
-
A.
CH3COCH2CH3
-
B.
CH3CH2OHCH2CH3
-
C.
CH3CH2CH2CHO
-
D.
CH3COCH3
Câu 14 :
Alkyne nào sau đây không có nguyên tử hydrogen linh động?
-
A.
CH3−C≡CH.
-
B.
CH3CH2−C≡CH.
-
C.
CH3−C≡C−CH3.
-
D.
HC≡CH.
Câu 15 :
Chất nào sau đây không phản ứng được với AgNO3/NH3?
-
A.
but-2-yne.
-
B.
propyne.
-
C.
acetylene.
-
D.
but-1-yne.
Câu 16 :
Cho các alkene sau: CH3−CH=CH−CH3 (X); CH3−CH=CH2 (Y); CH2=CH2 (Z); CH2=C(CH3)2 (T); (CH3)2C=C(CH3)2 (U). Những alkene nào khi cộng hợp với HBr chỉ tạo ra một sản phẩm hữu cơ?
-
A.
X, Z, T.
-
B.
Y, T, U.
-
C.
X, Z, U.
-
D.
Y, Z, T.
Câu 17 :
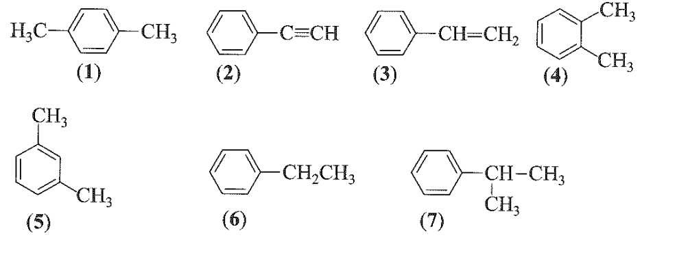
Cho một số arene có công thức cấu tạo sau:

Trong số các chất trên có bao nhiêu chất là đồng phân của nhau.
-
A.
2
-
B.
4
-
C.
6
-
D.
5
Câu 18 :
Cho 30 mL dung dịch HNO3 đặc và 25 mL dung dịch H2SO4 đặc vào bình cầu ba cổ có lắp ống sinh hàn, phễu nhỏ giọt và nhiệt kế rồi làm lạnh hỗn hợp đến 30 °C. Cho từng giọt benzene vào hỗn hợp phản ứng, đồng thời lắc đều và giữ nhiệt độ ở 60 °C trong 1 giờ. Để nguội bình, sau đó rót hỗn hợp phản ứng vào phễu chiết, hỗn hợp tách thành hai lớp. Tách bỏ phần acid ở bên dưới. Rửa phần chất lỏng còn lại bằng dung dịch sodium carbonate, sau đó rửa bằng nước, thu được chất lỏng nặng hơn nước, có màu vàng nhạt. Kết luận nào sau đây về phản ứng trên là không đúng?
-
A.
Chất lỏng màu vàng nhạt là nitrobenzene.
-
B.
Sulfuric acid có vai trò chất xúc tác.
-
C.
Đã xảy ra phản ứng thế vào vòng benzene.
-
D.
Nitric acid đóng vai trò là chất oxi hoá.
Câu 19 :
Chất lỏng X có khả năng làm nhạt màu dung dịch KMnO4, ở điều kiện thường. X là chất nào trong các chất sau đây?
-
A.
Benzene.
-
B.
Toluene.
-
C.
Styrene.
-
D.
Naphtalene.
Câu 20 :
Khi đốt cháy hoàn toàn V lít hỗn hợp khí gồm CH4, C2H6, C3H8 (đkc) thu được 44g CO2 và 28,8g H2O. Giá trị của V là:
-
A.
9,916
-
B.
12,395
-
C.
14,874
-
D.
17,353
Câu 21 :
Thực hiện phản ứng tách HCl từ dẫn xuất CH3CH2CH2Cl thu được alkene X. Đem alkene X cộng hợp bromine thu được sản phẩm chính nào sau đây
-
A.
CH3CH2CH2Br.
-
B.
CH3CHBrCH3.
-
C.
CH3CH2CHBr2.
-
D.
CH3CHBrCH2Br.
Câu 22 :
Cho các phát biểu:
(a) Do phân tử phân cực nên dẫn xuất halogen không tan trong dung môi hữu cơ như hydrocarbon, ether,..
(b) Nhiều dẫn xuất halogen có hoạt tính sinh học.
(c) Trong điều kiện thường, dẫn xuất halogen có thể ở dạng rắn, lỏng hay khí tùy thuộc vào khối lượng phân tử, bản chất và số lượng nguyên tử halogen.
(d) Nhiều dẫn xuất halogen được sử dụng trong tổng hợp các hợp chất hữu cơ.
(e) do liên kết C-X (X là F, Cl, Br, I) không phân cực nên dẫn xuất halogen dễ tham gia vào nhiều phản ứng hóa học
Số phát biểu đúng là
-
A.
3
-
B.
5
-
C.
4
-
D.
2
Câu 23 :
Sản phẩm chính khi cho CH3CHBrCHCH3 tác dụng với KOH đặc trong C2H5OH là:
-
A.
CH3CHOHCHCH3
-
B.
CH3CH=CH-CH3
-
C.
CH2=CH-CH2-CH3
-
D.
CH3COCH2-CH3
Câu 24 :
Một loại bình gas có chứa 13 kg khí thiên nhiên có thành phần chính là khí methane, ethane và một số thành phần khác, trong đó tỉ lệ thể tích của methane : ethane là 85 : 15 (thành phần khác không đáng kể). Khi đốt cháy hoàn toàn, 1 mol methane cháy tỏa ra lượng nhiệt là 802 kJ và 1 mol ethane cháy tỏa lượng nhiệt là 1428 kJ. Trung bình, lượng nhiệt tiêu thụ từ đốt khí gas trên của một hộ gia đình X là 10000 kJ/ngày, hiệu suất sử dụng nhiệt là 63%, giá của bình gas trên là 450000 đồng. Số tiền một hộ gia đình X cần trả cho việc mua gas trong một tháng (30 ngày) gần nhất với giá trị nào sau đây?
-
A.
345000 đồng.
-
B.
297000 đồng.
-
C.
414000 đồng.
-
D.
333000 đồng.
Câu 25 :
Hỗn hợp X gồm propylen và một alkyne A có tỉ lệ mol 1:1. Lấy 0,3 mol X tác dụng với dung dịch AgNO3/NH3 dư thu được 46,2g kết tủa. A là:
-
A.
but – 1 – yne
-
B.
but – 2 – yne
-
C.
Acetylene
-
D.
Pent – 1 – yne
Lời giải và đáp án
Câu 1 :
Dãy nào sau đây chỉ gồm các chất thuộc dãy đồng đẳng của methane.
-
A.
C2H2, C3H4, C4H6, C5H8
-
B.
CH4, C2H2, C3H4, C4H10
-
C.
CH4, C2H6, C4H10, C5H12
-
D.
C2H6, C3H8, C5H10, C6H12
Đáp án : C
Đồng đẳng là những hợp chất hữu cơ hơn kém nhau 1 hay nhiều nhóm – CH2, có tính chất hóa học tương tự nhau
Đồng đẳng của methane: C2H6, C3H8, C4H10, C5H12
Đáp án C
Câu 2 :
Hydrocarbon X là một trong hai chất chủ yếu gây hiệu ứng nhà kính. Trong tự nhiên X được sinh ra từ quá trình phân hủy xác động thực vật trong điều kiện thiếu không khí. Đồng đẳng kế tiếp của X của CTPT là:
-
A.
C2H6
-
B.
C3H8
-
C.
CH4
-
D.
C2H2
Đáp án : A
Hydrocarbon X gây hiệu ứng nhà kính là CH4
CH4 là một trong hai chất gây hiệu ứng nhà kính và được sinh ra từ quá trình phân hủy xác động thực vật trong điều kiện thiếu không khí. Đồng đẳng kết tiếp của CH4 là C2H6
Đáp án A
Câu 3 :
Alkane A có 16,28% khối lượng H trong phân tử. Số đồng phân cấu tạo của A là:
-
A.
3
-
B.
4
-
C.
5
-
D.
6
Đáp án : C
Dựa vào % khối lượng H để xác định alkane A
% H = \(\begin{array}{l}\frac{{2n + 2}}{{12n + 2n + 1}}.100 = 16,28\% \\ \to n = 6\end{array}\)

Đáp án C
Câu 4 :
Một đồng phân của C6H14 có công thức cấu tạo như sau:

Bậc của nguyên tử carbon số 3 trong mạch chính là:
-
A.
bậc III
-
B.
bậc II
-
C.
bậc IV
-
D.
bậc I
Đáp án : C
Dựa vào cách xác định bậc carbon
Nguyên tử carbon số 3 liên kết với 3 nguyên tử carbon xung quanh => bậc III
Đáp án C
Câu 5 :
Alkane X có công thức cấu tạo như sau:

Tên của X là
-
A.
3 – ethypentane
-
B.
3 – ethylhexane
-
C.
Hexane
-
D.
4 – methylpentane
Đáp án : A
Dựa vào quy tắc gọi tên của alkane

3 – ethylpentane
Đáp án A
Câu 6 :
Cho các chất sau: (X) 1 – chloropropane và (Y) 2 – chloropropane. Sản phẩm của phản ứng monochlorine hóa propane là
-
A.
X
-
B.
Y
-
C.
cả hai chất
-
D.
chất khác X, Y
Đáp án : C
Dựa vào tính chất hóa học của alkane
CH3-CH2-CH3 + Cl2 \( \to \)CH2Cl – CH2 – CH3 (1)
CH3-CH2-CH3 + Cl2 \( \to \)CH3 – CHCl – CH3 (2)
Đáp án C
Câu 7 :
Hợp chất A sau đây có thể tạo được bao nhiêu dẫn xuất monobromo?

-
A.
2
-
B.
3
-
C.
4
-
D.
5
Đáp án : C
Dựa vào tính chất hóa học của alkane

Đáp án C
Câu 8 :
Phát biểu nào sau đây không đúng về phản ứng reforming alkane?
-
A.
Chuyển alkane mạch không phân nhánh thành các alkane mạch phân nhánh
-
B.
Chuyển alkane mạch không phân nhánh thành các hydrocarbon mạch vòng
-
C.
Số nguyên tử carbon của chất tham gia và của sản phẩm bằng nhau.
-
D.
Nhiệt độ của sản phẩm lớn hơn nhiều so với alkane tham gia phản ứng
Đáp án : D
Phản ứng reforming alkane làm thay đổi mạch hydrocarbon thành mạch nhánh hoặc mạch vòng
Sau khi phản ứng reforming alkane thu được các hydrocarbon có cùng số carbon nên nhiệt độ sản phẩm so với alkane không chênh lệch nhau
Đáp án D
Câu 9 :
Trong số các chất sau, chất nào có thể là sản phẩm của phản ứng reforming hexane?
-
A.
-
B.
-
C.
-
D.
Đáp án : D
Hexane có CTPT: C6H14
C6H14 có phản ứng reforming tạo vòng benzen
Đáp án D
Câu 10 :
Khi cho alkane X (trong phân tử có phần trăm khối lượng hydrogen bằng 16,28%) tác dụng với chlorine theo tỉ lệ số mol 1:1 (trong điều kiện chiếu sáng), chỉ thu được 2 dẫn xuất monochloro đồng phân của nhau. Tên của X là:
-
A.
butane
-
B.
2,3 – dimethylbutane
-
C.
3 – methylpentane
-
D.
2 – methylpropane
Đáp án : B
Dựa vào % khối lượng H để xác định CTPT X
%H = \(\begin{array}{l}\frac{{2n + 2}}{{12n + 2n + 2}}.100 = 16,28\% \\ \to n = 6\end{array}\)
Dựa vào các đồng phân của C6H14 tác dụng với Cl2 thu được 2 dẫn xuất monochloro

2,3 – dimethylbutane khi tác dụng với Cl2 thu được 2 dẫn xuất monochloro.
Đáp án B
Câu 11 :
Alkene sau có tên gọi là

-
A.
2-methylbut-2-ene.
-
B.
3-methylbut-2-ene.
-
C.
2-metybut-3-ene.
-
D.
3-methylbut-3-ene.
Đáp án : A
Dựa vào quy tắc đọc tên của alkene

Đáp án A
Câu 12 :
Alkyne dưới đây có tên gọi là

-
A.
1,4-đimethylpent-2-yne.
-
B.
5-methylhept-3-yne.
-
C.
1,4-đimethylhex-2-yne.
-
D.
4-methylhex-3-yne.
Đáp án : B
Dựa vào quy tắc đọc tên của alkyne

5 – methylhept – 3 – yne
Đáp án B
Câu 13 :
Cho phản ứng:
Sản phẩm chính của phản ứng trên là:
-
A.
CH3COCH2CH3
-
B.
CH3CH2OHCH2CH3
-
C.
CH3CH2CH2CHO
-
D.
CH3COCH3
Đáp án : A
Dựa vào phản ứng hydrate hóa của alkyne tạo ketone

Đáp án A
Câu 14 :
Alkyne nào sau đây không có nguyên tử hydrogen linh động?
-
A.
CH3−C≡CH.
-
B.
CH3CH2−C≡CH.
-
C.
CH3−C≡C−CH3.
-
D.
HC≡CH.
Đáp án : C
Alkyne có H liên kết với nguyên tử C ở nối ba => nguyên tử H linh động
CH3−C≡C−CH3 không còn H liên kết với C ở nối ba nên không có H linh động
Đáp án C
Câu 15 :
Chất nào sau đây không phản ứng được với AgNO3/NH3?
-
A.
but-2-yne.
-
B.
propyne.
-
C.
acetylene.
-
D.
but-1-yne.
Đáp án : A
Alk – 1 – yne có phản ứng với AgNO3/NH3
But – 2 – yne không có H linh động nên không có phản ứng với AgNO3/NH3
Đáp án A
Câu 16 :
Cho các alkene sau: CH3−CH=CH−CH3 (X); CH3−CH=CH2 (Y); CH2=CH2 (Z); CH2=C(CH3)2 (T); (CH3)2C=C(CH3)2 (U). Những alkene nào khi cộng hợp với HBr chỉ tạo ra một sản phẩm hữu cơ?
-
A.
X, Z, T.
-
B.
Y, T, U.
-
C.
X, Z, U.
-
D.
Y, Z, T.
Đáp án : C
Những sản phẩm có trục đối xứng cao khi tham gia phản ứng cộng sẽ thu được 1 sản phẩm
(X); (Z); U có trục đối xứng cao
Đáp án C
Câu 17 :
Cho một số arene có công thức cấu tạo sau:

Trong số các chất trên có bao nhiêu chất là đồng phân của nhau.
-
A.
2
-
B.
4
-
C.
6
-
D.
5
Đáp án : B
Đồng phân là những hợp chất hữu cơ có cùng công thức phân tử khác nhau về công thức cấu tạo
(1); (2); (5); (6) là những đồng phân của nhau
Đáp án B
Câu 18 :
Cho 30 mL dung dịch HNO3 đặc và 25 mL dung dịch H2SO4 đặc vào bình cầu ba cổ có lắp ống sinh hàn, phễu nhỏ giọt và nhiệt kế rồi làm lạnh hỗn hợp đến 30 °C. Cho từng giọt benzene vào hỗn hợp phản ứng, đồng thời lắc đều và giữ nhiệt độ ở 60 °C trong 1 giờ. Để nguội bình, sau đó rót hỗn hợp phản ứng vào phễu chiết, hỗn hợp tách thành hai lớp. Tách bỏ phần acid ở bên dưới. Rửa phần chất lỏng còn lại bằng dung dịch sodium carbonate, sau đó rửa bằng nước, thu được chất lỏng nặng hơn nước, có màu vàng nhạt. Kết luận nào sau đây về phản ứng trên là không đúng?
-
A.
Chất lỏng màu vàng nhạt là nitrobenzene.
-
B.
Sulfuric acid có vai trò chất xúc tác.
-
C.
Đã xảy ra phản ứng thế vào vòng benzene.
-
D.
Nitric acid đóng vai trò là chất oxi hoá.
Đáp án : D
Bezene có phản ứng thế với HNO3

Sản phẩm thu được là nitrobenzen: chất lỏng màu vàng
H2SO4 đặc có vai trò chất xúc tác
Nhóm thế - NO2 vào vòng benzene
HNO3 đóng vai trò là acid trong phản ứng
Đáp án D
Câu 19 :
Chất lỏng X có khả năng làm nhạt màu dung dịch KMnO4, ở điều kiện thường. X là chất nào trong các chất sau đây?
-
A.
Benzene.
-
B.
Toluene.
-
C.
Styrene.
-
D.
Naphtalene.
Đáp án : C
Những hydrocarbon không no, các arene có mạch nhánh có phản ứng làm mất màu dung dịch KMnO4 ở nhiệt độ thường hoặc đun nóng.

Đáp án C
Câu 20 :
Khi đốt cháy hoàn toàn V lít hỗn hợp khí gồm CH4, C2H6, C3H8 (đkc) thu được 44g CO2 và 28,8g H2O. Giá trị của V là:
-
A.
9,916
-
B.
12,395
-
C.
14,874
-
D.
17,353
Đáp án : C
Dựa vào phản ứng đối cháy alkane
n CO2 = 44 : 44 = 1 mol
n H2O = 28,8 : 18 = 1,6 mol
n alkane = n H2O – n CO2 = 1,6 – 1 = 0,6 mol
V hỗn hợp = 0,6 . 24,79 = 14,874 lít
Câu 21 :
Thực hiện phản ứng tách HCl từ dẫn xuất CH3CH2CH2Cl thu được alkene X. Đem alkene X cộng hợp bromine thu được sản phẩm chính nào sau đây
-
A.
CH3CH2CH2Br.
-
B.
CH3CHBrCH3.
-
C.
CH3CH2CHBr2.
-
D.
CH3CHBrCH2Br.
Đáp án : D
Dựa vào tính chất hóa học của dẫn xuất halogen

Đáp án D
Câu 22 :
Cho các phát biểu:
(a) Do phân tử phân cực nên dẫn xuất halogen không tan trong dung môi hữu cơ như hydrocarbon, ether,..
(b) Nhiều dẫn xuất halogen có hoạt tính sinh học.
(c) Trong điều kiện thường, dẫn xuất halogen có thể ở dạng rắn, lỏng hay khí tùy thuộc vào khối lượng phân tử, bản chất và số lượng nguyên tử halogen.
(d) Nhiều dẫn xuất halogen được sử dụng trong tổng hợp các hợp chất hữu cơ.
(e) do liên kết C-X (X là F, Cl, Br, I) không phân cực nên dẫn xuất halogen dễ tham gia vào nhiều phản ứng hóa học
Số phát biểu đúng là
-
A.
3
-
B.
5
-
C.
4
-
D.
2
Đáp án : A
Dựa vào tính chất của dẫn xuất halogen
(a) sai, dẫn xuất halogen không tan trong nước mà tan trong dung môi hữu cơ
(b) đúng
(c) đúng
(d) đúng
(e) sai, vì liên kết C – X phân cực
Đáp án A
Câu 23 :
Sản phẩm chính khi cho CH3CHBrCHCH3 tác dụng với KOH đặc trong C2H5OH là:
-
A.
CH3CHOHCHCH3
-
B.
CH3CH=CH-CH3
-
C.
CH2=CH-CH2-CH3
-
D.
CH3COCH2-CH3
Đáp án : B
Phản ứng giữa dẫn xuất halogen tác dụng với KOH đặc trong C2H5OH là phản ứng tách tạo alkene

Đáp án B
Câu 24 :
Một loại bình gas có chứa 13 kg khí thiên nhiên có thành phần chính là khí methane, ethane và một số thành phần khác, trong đó tỉ lệ thể tích của methane : ethane là 85 : 15 (thành phần khác không đáng kể). Khi đốt cháy hoàn toàn, 1 mol methane cháy tỏa ra lượng nhiệt là 802 kJ và 1 mol ethane cháy tỏa lượng nhiệt là 1428 kJ. Trung bình, lượng nhiệt tiêu thụ từ đốt khí gas trên của một hộ gia đình X là 10000 kJ/ngày, hiệu suất sử dụng nhiệt là 63%, giá của bình gas trên là 450000 đồng. Số tiền một hộ gia đình X cần trả cho việc mua gas trong một tháng (30 ngày) gần nhất với giá trị nào sau đây?
-
A.
345000 đồng.
-
B.
297000 đồng.
-
C.
414000 đồng.
-
D.
333000 đồng.
Đáp án : D
Gọi \(\left\{ \begin{array}{l}{n_{C{H_4}}} = 17a\,mol\\{n_{{C_2}{H_6}}} = 3a\,mol\end{array} \right. \to 17a.16 + 3a.30 = 13.1000 \to a \approx 35,9\,mol \to \left\{ \begin{array}{l}{n_{C{H_4}}} = 610,3\,mol\\{n_{{C_2}{H_6}}} = 107,7\,mol\end{array} \right.\)
13 kg gas tỏa ra lượng nhiệt là: \(802.610,3 + 1428.107,7 = 643256,2\,kJ\)
Vậy hộ gia đình trên sẽ sử dụng hết bình gas 13 kg trong: \(\frac{{643256,2\,.63\% }}{{10000}} \approx 40,5\) ngày.
Số tiền hộ gia đình X cần trả trong 1 tháng là : (30.450000):40,5 = 333000 đồng
Câu 25 :
Hỗn hợp X gồm propylen và một alkyne A có tỉ lệ mol 1:1. Lấy 0,3 mol X tác dụng với dung dịch AgNO3/NH3 dư thu được 46,2g kết tủa. A là:
-
A.
but – 1 – yne
-
B.
but – 2 – yne
-
C.
Acetylene
-
D.
Pent – 1 – yne
Đáp án : A
Dựa vào phản ứng thế H linh động ở vị trí liên kết ba đầu mạch
Gọi CTTQ của alkyne A là: CnH2n-2
n C3H4 + n A = 0,3 => n C3H4 = n A = 0,15 mol
giả sử alkyne A không có phản ứng với AgNO3/NH3
\(HC \equiv C - C{H_3} + AgN{O_3} + N{H_3} \to AgC \equiv C - C{H_3} + N{H_4}N{O_3} + {H_2}{\rm{O}}\)(1)
0,15 0,15
m kết tủa (1) = 0,15. 147 = 22,05 < khối lượng kết tủa đề cho => Loại
=> Cả C3H4 và alkyne A đều có phản ứng với AgNO3/NH3
Từ phản ứng (1) => m kết tủa (2) = 46,2 – 22,05 = 24,15g => M kết tủa (2) = 24,15 : 0,15 = 161
CnH2n-2 + AgNO3 + NH3 \( \to \)CnH2n-3Ag + NH4NO3 + H2O
M CnH2n-3Ag = 161 => n = 4 => Alkyne A là but – 1 – yne
Đáp án A
Đề thi giữa kì 2 Hóa 11 Chân trời sáng tạo - Đề số 6
Công thức tổng quát của alkyne là
Xem chi tiết
Đề thi giữa kì 2 Hóa 11 Chân trời sáng tạo - Đề số 7
Alkane là gì?
Xem chi tiết
Đề thi giữa kì 2 Hóa 11 Chân trời sáng tạo - Đề số 4
Alkane (CH3)2CH–CH3 có tên theo danh pháp thay thế là
Xem chi tiết
Đề thi giữa kì 2 Hóa 11 Chân trời sáng tạo - Đề số 3
Phản ứng tiêu biểu của alkane là
Xem chi tiết
Đề thi giữa kì 2 Hóa 11 Chân trời sáng tạo - Đề số 2
Đặc điểm nào sau đây là của hydrocarbon no?
Xem chi tiết
Đề thi giữa kì 2 Hóa 11 Chân trời sáng tạo - Đề số 1
Methane tan ít trong dung môi nào sau đây?
Xem chi tiết
>> 2K9 Học trực tuyến - Định hướng luyện thi TN THPT, ĐGNL, ĐGTD ngay từ lớp 11 (Xem ngay) cùng thầy cô giáo giỏi trên Tuyensinh247.com. Bứt phá điểm 9,10 chỉ sau 3 tháng, tiếp cận sớm các kì thi.
![]() |
![]() |
![]() |
![]() |
![]() |
![]() |
![]() |
![]() |







