Tải về
Tổng hợp đề thi học kì 1 lớp 11 tất cả các môn - Kết nối tri thức
Toán - Văn - Anh - Lí - Hóa - Sinh
Công thức tổng quát của dãy alkane là gì?
Đề bài
Câu 1 :
Công thức tổng quát của dãy alkane là gì?
-
A.
CnH2n (n là số nguyên, n >2)
-
B.
CnH2n+2 (n là số nguyên, n\( \ge \)1)
-
C.
CnH2n-2 (n là số nguyên, n > 1)
-
D.
CnH2n-1 (n là số nguyên, n\( \ge \)1)
Câu 2 :
Phân tử C5H12 có bao nhiêu đồng phân?
-
A.
4
-
B.
5
-
C.
3
-
D.
2
Câu 3 :
Công thức:
có tên gọi là:
-
A.
2 – methylbutane
-
B.
2 – dimethylbutane
-
C.
2,2 – methylpropane
-
D.
2,3 – dimethylbutane
Câu 4 :
Phân tích nguyên tố của hợp chất X cho kết quả: 84%C; 16%H về khối lượng. Phân tử khối của hợp chất X được xác định thông qua kết quả phổ khối lượng với peak ion phân tử có giá trị m/z lớn nhất là 100. Công thức của X là
-
A.
C6H14
-
B.
C7H12
-
C.
C7H14
-
D.
C7H16
Câu 5 :
Cho isohexane tác dụng với Cl2 theo tỉ lệ số mol 1: 1, số sản phẩm monochloro tối đa thu được là
-
A.
5
-
B.
4
-
C.
3
-
D.
2
Câu 6 :
Khi cracking C9H20 thu được cặp chất nào sau đây?
-
A.
H2 và C9H16
-
B.
C2H4 và C6H16
-
C.
C3H6 và C5H12
-
D.
C4H8 và C5H12
Câu 7 :
Phản ứng reforming C4H10 thu được chất nào sau đây:
-
A.

-
B.

-
C.

-
D.

Câu 8 :
Alkane Y phản ứng với chlorine tạo ra 2 dẫn xuất monochloro có tỉ khối hơi so với H2 bằng 39,25. Tên của Y là:
-
A.
butane
-
B.
propane
-
C.
iso – butane
-
D.
2 – methylbutane
Câu 9 :
Dãy các chất nào sau đây đều thuộc dãy alkene?
-
A.
CH4, C2H4, C3H6, C4H10
-
B.
C2H4, C3H6, C4H8, C5H10
-
C.
C2H2, C3H4, C4H6, C5H8
-
D.
C2H6, C3H8, C4H10, C5H12
Câu 10 :
Alkyne là những hydrocarbon có đặc điểm
-
A.
không no, mạch hở, có một liên kết ba C≡C.
-
B.
không no, mạch vòng, có một liên kết đôi C=C.
-
C.
không no, mạch hở, có một liên kết đôi C=C.
-
D.
không no, mạch hở, có hai liên kết ba C≡C.
Câu 11 :
Alkene sau có tên gọi là

-
A.
2-methylbut-2-ene.
-
B.
3-methylbut-2-ene.
-
C.
2-methybut-3-ene.
-
D.
3-methylbut-3-ene
Câu 12 :
Alkyne dưới đây có tên gọi là:

-
A.
3-methylpent-2-yne.
-
B.
2-methylhex-4-yne.
-
C.
4-methylhex-2-yne.
-
D.
3-methylhex-4-yne.
Câu 13 :
Theo quy tắc Markovnikov (Mác – cốp – nhi – cốp) khi cho công thức
tác dụng với HBr sản phẩm chính thu được là:
-
A.

-
B.

-
C.

-
D.

Câu 14 :
Cho phản ứng: 
Sản phẩm của phản ứng trên là
-
A.
CH3-CHBr2.
-
B.
CH2Br-CH2Br.
-
C.
CHBr2-CHBr2.
-
D.
CH2=CH-Br.
Câu 15 :
Cho phản ứng: CH3−C≡CH + H2O 
Sản phẩm chính của phản ứng trên là
-
A.
CH3CH2-CH=O.
-
B.
CH3-CO-CH3.
-
C.
CH2=C(CH3)-OH.
-
D.
HO-CH=CH-CH3.
Câu 16 :
Trùng hợp ethylene, sản phẩm thu được có cấu tạo là
-
A.

-
B.

-
C.

-
D.

Câu 17 :
Chất nào sau đây có đồng phân hình học?
-
A.
2-chloropropene.
-
B.
But-2-ene.
-
C.
1,2-dichloroethane.
-
D.
But-1-ene.
Câu 18 :
Một hydrocarbon X mạch hở trong phân tử có phần trăm khối lượng carbon bằng 85,714%. Trên phổ khối lượng của X có peak ion phân tử ứng với giá trị m/z = 42. Công thức phù hợp với X là
-
A.
CH2=CHCH3.
-
B.
CH3CH2CH3.
-
C.
CH3CH3
-
D.
CH≡CH
Câu 19 :
Các ankylbenzene hợp thành dãy đồng đẳng của benzene có công thức chung là
-
A.
CnH2n-6 (n ≥ 2).
-
B.
CnH2n+2 (n ≥ 6).
-
C.
CnH2n-2 (n ≥ 2).
-
D.
CnH2n-6 (n ≥ 6).
Câu 20 :
Công thức của toluene (hay methylbenzene) là
-
A.

-
B.

-
C.

-
D.

Câu 21 :
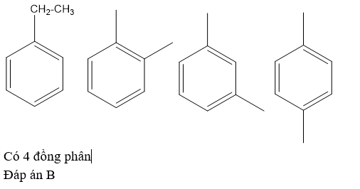
Số đồng phân hydrocarbon thơm ứng với công thức phân tử C8H10 là
-
A.
2
-
B.
4
-
C.
3
-
D.
5
Câu 22 :
Chất nào sau đây khi tác dụng với hỗn hợp HNO3 và H2SO4 đặc nóng tạo một sản phẩm mononitro hoá duy nhất?
-
A.
Benzene.
-
B.
Toluene.
-
C.
o-xylene.
-
D.
Naphthalene.
Câu 23 :
Một arene Y có phần trăm khối lượng carbon bằng 92,307%. Trên phổ khối lượng của Y có peak ion phân tử ứng với giá trị m/z = 104. Công thức cấu tạo phân tử của Y là
-
A.
C6H5CH=CH2.
-
B.
CH3C6H4CH3
-
C.
C6H5C≡CH.
-
D.
C6H5CH3
Câu 24 :
Cho phản ứng:
C6H5-CH=CH2 + KMnO4 → C6H5-COOK + K2CO3 + MnO2 + KOH + H2O
Tổng hệ số (nguyên, tối giản) tất cả các chất trong phương trình hóa học của phản ứng trên là
-
A.
27
-
B.
31
-
C.
24
-
D.
34
Câu 25 :
Tên gọi theo danh pháp thay thế của dẫn xuất halogen có công thức cấu tạo:
CH3 – CHCl – CH3 là
-
A.
1-chloropropane.
-
B.
2-chloropropane.
-
C.
3-chloropropane.
-
D.
propyl chloride.
Câu 26 :
Dẫn xuất halogen nào sau đây có đồng phân hình học?
-
A.
\(C{H_2} = CHCl.\)
-
B.
\(C{H_2} = CH - C{H_2}Br.\)
-
C.
\(C{H_3}CH = CF - C{H_3}.\)
-
D.
\({(C{H_3})_2}C = CHI.\)
Câu 27 :
Cho các phát biểu:
(a) Do phân tử phân cực nên dẫn xuất halogen không tan trong dung môi hữu cơ như hydrocarbon, ether,..
(b) Nhiều dẫn xuất halogen có hoạt tính sinh học.
(c) Trong điều kiện thường, dẫn xuất halogen có thể ở dạng rắn, lỏng hay khí tùy thuộc vào khối lượng phân tử, bản chất và số lượng nguyên tử halogen.
(d) Nhiều dẫn xuất halogen được sử dụng trong tổng hợp các hợp chất hữu cơ.
(e) do liên kết C-X (X là F, Cl, Br, I) không phân cực nên dẫn xuất halogen dễ tham gia vào nhiều phản ứng hóa học
Số phát biểu đúng là
-
A.
3
-
B.
5
-
C.
4
-
D.
2
Câu 28 :
Có thể phân biệt acetylene, ethylene và methane bằng hóa chất nào sau đây?
-
A.
KMnO4 và NaOH.
-
B.
KMnO4 và quỳ tím.
-
C.
AgNO3/NH3.
-
D.
Br2 và AgNO3/NH3.
Câu 29 :
Một bình gas sử dụng trong hộ gia đình X có chứa 12 kg khí hóa lỏng (LPG) gồm propane và butane với tỉ lệ mol tương ứng là 2 : 3. Khi đốt cháy hoàn toàn, 1 mol propane tỏa ra lượng nhiệt là 2220 kJ và 1 mol butane tỏa ra lượng nhiệt là 2850 kJ. Trung bình, lượng nhiệt tiêu thụ từ đốt khí gas của hộ gia đình X là 10000 kJ/ngày và sau 45 ngày gia đình X dùng hết bình gas trên. Hiệu suất sử dụng nhiệt của hộ gia đình X gần nhất với giá trị nào sau đây?
-
A.
62,5%
-
B.
75,6%
-
C.
70,8%
-
D.
67,3%
Câu 30 :
Khi đốt cháy hoàn toàn 0,35 mol hỗn hợp khí gồm CH4, C2H6, C3H8 thu được 0,75 mol khí CO2 và x gam H2O. Giá trị của x là:
-
A.
6,3
-
B.
13,5
-
C.
18,0
-
D.
19,8
Lời giải và đáp án
Câu 1 :
Công thức tổng quát của dãy alkane là gì?
-
A.
CnH2n (n là số nguyên, n >2)
-
B.
CnH2n+2 (n là số nguyên, n\( \ge \)1)
-
C.
CnH2n-2 (n là số nguyên, n > 1)
-
D.
CnH2n-1 (n là số nguyên, n\( \ge \)1)
Đáp án : B
Dựa vào khái niệm của alkane và các chất trong dãy alkane
Dãy alkane là những hydrocarbon no, mạch hở có công thức tổng quát là CnH2n+2 (n là số nguyên, n\( \ge \)1)
Đáp án B
Câu 2 :
Phân tử C5H12 có bao nhiêu đồng phân?
-
A.
4
-
B.
5
-
C.
3
-
D.
2
Đáp án : C
Viết đồng phân của C5H12

Câu 3 :
Công thức:
có tên gọi là:
-
A.
2 – methylbutane
-
B.
2 – dimethylbutane
-
C.
2,2 – methylpropane
-
D.
2,3 – dimethylbutane
Đáp án : D
Dựa vào quy tắc gọi tên của dãy alkane

có tên: 2,3 – dimethylbutane
Đáp án D
Câu 4 :
Phân tích nguyên tố của hợp chất X cho kết quả: 84%C; 16%H về khối lượng. Phân tử khối của hợp chất X được xác định thông qua kết quả phổ khối lượng với peak ion phân tử có giá trị m/z lớn nhất là 100. Công thức của X là
-
A.
C6H14
-
B.
C7H12
-
C.
C7H14
-
D.
C7H16
Đáp án : D
Dựa vào % khối lượng các nguyên tố của X và phân tử khối
\(C:H = \frac{{\% C}}{{12}}:\frac{{\% H}}{1} = \frac{{84}}{{12}}:\frac{{16}}{1} = 7:16\)
CTĐGN: (C7H16)n
Vì peak ion phân tử có giá trị m/z lớn nhất là 100 => M (C7H16)n = 100n = 100 => n = 1
Đáp án D
Câu 5 :
Cho isohexane tác dụng với Cl2 theo tỉ lệ số mol 1: 1, số sản phẩm monochloro tối đa thu được là
-
A.
5
-
B.
4
-
C.
3
-
D.
2
Đáp án : A
Mỗi C khác nhau trong công thức cấu tạo của isopentane sẽ thu được 1 monochloro khác nhau

Câu 6 :
Khi cracking C9H20 thu được cặp chất nào sau đây?
-
A.
H2 và C9H16
-
B.
C2H4 và C6H16
-
C.
C3H6 và C5H12
-
D.
C4H8 và C5H12
Đáp án : D
Khi cracking alkane thu được các cặp alkane, alkene hoặc H2 tương ứng

Câu 7 :
Phản ứng reforming C4H10 thu được chất nào sau đây:
-
A.

-
B.

-
C.

-
D.

Đáp án : C
Refoming alkane thu được các hydrocarbon mạch nhánh, hydrocarbon không no

Câu 8 :
Alkane Y phản ứng với chlorine tạo ra 2 dẫn xuất monochloro có tỉ khối hơi so với H2 bằng 39,25. Tên của Y là:
-
A.
butane
-
B.
propane
-
C.
iso – butane
-
D.
2 – methylbutane
Đáp án : B
Dựa vào tỉ khối hơi của sản phẩm so với H2 để xác định Y và dựa vào phản ứng của Y với Cl2
Gọi CTTQ sản phẩm monochloro là: CnH2n+1Cl
M CnH2n+1Cl = 39,25 . 2 = 78,5 => 12n + 2n + 1 + 35,5 = 78,5 => n = 3
Y là propane
Đáp án B
Câu 9 :
Dãy các chất nào sau đây đều thuộc dãy alkene?
-
A.
CH4, C2H4, C3H6, C4H10
-
B.
C2H4, C3H6, C4H8, C5H10
-
C.
C2H2, C3H4, C4H6, C5H8
-
D.
C2H6, C3H8, C4H10, C5H12
Đáp án : B
Dựa vào CTTQ của dãy alkene: CnH2n (n\( \ge 2\))
Với n = 2 => CTPT: C2H4
Tương tự như vậy ta có dãy chất: C2H4, C3H6, C4H8, C5H10
Đáp án B
Câu 10 :
Alkyne là những hydrocarbon có đặc điểm
-
A.
không no, mạch hở, có một liên kết ba C≡C.
-
B.
không no, mạch vòng, có một liên kết đôi C=C.
-
C.
không no, mạch hở, có một liên kết đôi C=C.
-
D.
không no, mạch hở, có hai liên kết ba C≡C.
Đáp án : A
Dựa vào khái niệm của alkyne
Alkyne là những hydrocarbon có đặc điểm không no, mạch hở, có một liên kết ba C≡C.
Đáp án A
Câu 11 :
Alkene sau có tên gọi là

-
A.
2-methylbut-2-ene.
-
B.
3-methylbut-2-ene.
-
C.
2-methybut-3-ene.
-
D.
3-methylbut-3-ene
Đáp án : A
Dựa vào cách đọc tên của alkene

Câu 12 :
Alkyne dưới đây có tên gọi là:

-
A.
3-methylpent-2-yne.
-
B.
2-methylhex-4-yne.
-
C.
4-methylhex-2-yne.
-
D.
3-methylhex-4-yne.
Đáp án : C
Dựa vào cách đọc tên của alkyne
: 4 – methylhex – 2 – yne
Đáp án C
Câu 13 :
Theo quy tắc Markovnikov (Mác – cốp – nhi – cốp) khi cho công thức
tác dụng với HBr sản phẩm chính thu được là:
-
A.

-
B.

-
C.

-
D.

Đáp án : C
Dựa vào quy tắc Markovnikov

Câu 14 :
Cho phản ứng: 
Sản phẩm của phản ứng trên là
-
A.
CH3-CHBr2.
-
B.
CH2Br-CH2Br.
-
C.
CHBr2-CHBr2.
-
D.
CH2=CH-Br.
Đáp án : B
Dựa vào tỉ lệ mol giữa alkyne và HBr

Câu 15 :
Cho phản ứng: CH3−C≡CH + H2O 
Sản phẩm chính của phản ứng trên là
-
A.
CH3CH2-CH=O.
-
B.
CH3-CO-CH3.
-
C.
CH2=C(CH3)-OH.
-
D.
HO-CH=CH-CH3.
Đáp án : B
Alkyne khi phản ứng cộng với H2O tạo ra keton (C = O)

Câu 16 :
Trùng hợp ethylene, sản phẩm thu được có cấu tạo là
-
A.

-
B.

-
C.

-
D.

Đáp án : B
Dựa vào nguyên tắc trùng hợp hydrocarbon không no

Câu 17 :
Chất nào sau đây có đồng phân hình học?
-
A.
2-chloropropene.
-
B.
But-2-ene.
-
C.
1,2-dichloroethane.
-
D.
But-1-ene.
Đáp án : B
Trong phân tử alkene nếu mỗi nguyên tử carbon của liên kết đôi liên kết với hai nguyên tử hoặc hai nhóm nguyên tử khác nhau thì sẽ có đồng phân hình học
But – 2 – ene có 2 đồng phân hình học là: 
Câu 18 :
Một hydrocarbon X mạch hở trong phân tử có phần trăm khối lượng carbon bằng 85,714%. Trên phổ khối lượng của X có peak ion phân tử ứng với giá trị m/z = 42. Công thức phù hợp với X là
-
A.
CH2=CHCH3.
-
B.
CH3CH2CH3.
-
C.
CH3CH3
-
D.
CH≡CH
Đáp án : A
Dựa vào % khối lượng của C để xác định hydrocarbon X
%H = 100% - 85,714% = 14,286%
C : H = \(\frac{{\% C}}{{12}}:\frac{{\% H}}{1} = \frac{{85.714}}{{12}}:\frac{{14,286}}{1} = 1:2\)
CTĐGN: (CH2)n. Vì M (CH2)n = 42 => n = 3
CTPT: C3H6
Đáp án A
Câu 19 :
Các ankylbenzene hợp thành dãy đồng đẳng của benzene có công thức chung là
-
A.
CnH2n-6 (n ≥ 2).
-
B.
CnH2n+2 (n ≥ 6).
-
C.
CnH2n-2 (n ≥ 2).
-
D.
CnH2n-6 (n ≥ 6).
Đáp án : D
Dựa vào các chất cùng đồng đẳng alkylbenzene
CTTQ của dãy ankylbenzene là: CnH2n-6 (n ≥ 6).
Đáp án D
Câu 20 :
Công thức của toluene (hay methylbenzene) là
-
A.

-
B.

-
C.

-
D.

Đáp án : B
Dựa vào tên gọi của toluene
Toluene (methylbenzene) có CTPT: C7H14: 
Đáp án B
Câu 21 :
Số đồng phân hydrocarbon thơm ứng với công thức phân tử C8H10 là
-
A.
2
-
B.
4
-
C.
3
-
D.
5
Đáp án : B
Viết đồng phân hydrocarbon thơm của C8H10

Câu 22 :
Chất nào sau đây khi tác dụng với hỗn hợp HNO3 và H2SO4 đặc nóng tạo một sản phẩm mononitro hoá duy nhất?
-
A.
Benzene.
-
B.
Toluene.
-
C.
o-xylene.
-
D.
Naphthalene.
Đáp án : A
Hydrocarbon thơm có phản ứng nitro hóa khi tác dụng với hỗn hợp HNO3 và H2SO4 đặc nóng

Benzene chỉ tạo ra một sản phẩm mononitro hóa duy nhất vì cả 3 vị trí o, p, m đều như nhau
Đáp án A
Câu 23 :
Một arene Y có phần trăm khối lượng carbon bằng 92,307%. Trên phổ khối lượng của Y có peak ion phân tử ứng với giá trị m/z = 104. Công thức cấu tạo phân tử của Y là
-
A.
C6H5CH=CH2.
-
B.
CH3C6H4CH3
-
C.
C6H5C≡CH.
-
D.
C6H5CH3
Đáp án : A
Dựa vào % khối lượng carbon để xác định Y
%H = 100% - 92,307% = 7,693%
C : H = \(\frac{{\% C}}{{12}}:\frac{{\% H}}{1} = \frac{{92,307}}{{12}}:\frac{{7,693}}{1} = 1:1\)
CTĐGN: (CH)n. Vì M(CH)n = 104 => n = 8 => CTPT: C8H8
Số liên kết bội trong phân tử Y là: k = \(\frac{{2.8 - 8 + 2}}{2} = 5\). Vì Y là một arene nên Y bao gồm 1 vòng benzene và 1 liên kết đôi
Đáp án A
Câu 24 :
Cho phản ứng:
C6H5-CH=CH2 + KMnO4 → C6H5-COOK + K2CO3 + MnO2 + KOH + H2O
Tổng hệ số (nguyên, tối giản) tất cả các chất trong phương trình hóa học của phản ứng trên là
-
A.
27
-
B.
31
-
C.
24
-
D.
34
Đáp án : D
Dựa vào cân bằng electron để cân bằng phương trình
\(\begin{array}{l}{C_6}{H_5}{C^{ - 1}}H = {C^{ - 2}}{H_2} \to {C_6}{H_5}{C^{ - 3}}OOK + {K_2}{C^{ + 4}}{O_3} + 10e|x3\\M{n^{ + 7}} + 3e \to M{n^{ + 4}}|x10e\\ \to 3{C_6}{H_5}CH = C{H_2} + 10KMn{O_4} \to 3{C_6}{H_5}COOK + 3{K_2}C{O_3} + KOH\end{array}\)
Tổng hệ số cân bằng: 3 + 10 + 3 + 3 + 1 + 10 + 4 = 34
Đáp án D
Câu 25 :
Tên gọi theo danh pháp thay thế của dẫn xuất halogen có công thức cấu tạo:
CH3 – CHCl – CH3 là
-
A.
1-chloropropane.
-
B.
2-chloropropane.
-
C.
3-chloropropane.
-
D.
propyl chloride.
Đáp án : B
Dựa vào quy tắc đọc tên của dẫn xuất halogen
CH3 – CHCl – CH3: 2 – chloropropane
Đáp án B
Câu 26 :
Dẫn xuất halogen nào sau đây có đồng phân hình học?
-
A.
\(C{H_2} = CHCl.\)
-
B.
\(C{H_2} = CH - C{H_2}Br.\)
-
C.
\(C{H_3}CH = CF - C{H_3}.\)
-
D.
\({(C{H_3})_2}C = CHI.\)
Đáp án : C
Trong phân tử alkene nếu mỗi nguyên tử carbon của liên kết đôi liên kết với hai nguyên tử hoặc hai nhóm nguyên tử khác nhau thì sẽ có đồng phân hình học
\(C{H_3}CH = CF - C{H_3}.\) có đồng phân hình học là: 
Câu 27 :
Cho các phát biểu:
(a) Do phân tử phân cực nên dẫn xuất halogen không tan trong dung môi hữu cơ như hydrocarbon, ether,..
(b) Nhiều dẫn xuất halogen có hoạt tính sinh học.
(c) Trong điều kiện thường, dẫn xuất halogen có thể ở dạng rắn, lỏng hay khí tùy thuộc vào khối lượng phân tử, bản chất và số lượng nguyên tử halogen.
(d) Nhiều dẫn xuất halogen được sử dụng trong tổng hợp các hợp chất hữu cơ.
(e) do liên kết C-X (X là F, Cl, Br, I) không phân cực nên dẫn xuất halogen dễ tham gia vào nhiều phản ứng hóa học
Số phát biểu đúng là
-
A.
3
-
B.
5
-
C.
4
-
D.
2
Đáp án : A
Dựa vào lí thuyết của dẫn xuất halogen
a sai vì dẫn xuất halogen không tan trong nước và tan nhiều trong dung môi hữu cơ
b) đúng
c) đúng
d) đúng
e) sai vì C – X phân cực
đáp án A
Câu 28 :
Có thể phân biệt acetylene, ethylene và methane bằng hóa chất nào sau đây?
-
A.
KMnO4 và NaOH.
-
B.
KMnO4 và quỳ tím.
-
C.
AgNO3/NH3.
-
D.
Br2 và AgNO3/NH3.
Đáp án : D
Dựa vào tính chất hóa học của các chất
Acetylene có liên kết 3 đầu mạch nên để nhận biết có thể dụng AgNO3/NH3 tạo kết tủa vàng
Sau đó nhận biết ethylene bằng Br2 vì C2H4 làm mất màu dung dịch Br2
CH4 không phản ứng
Đáp án D
Câu 29 :
Một bình gas sử dụng trong hộ gia đình X có chứa 12 kg khí hóa lỏng (LPG) gồm propane và butane với tỉ lệ mol tương ứng là 2 : 3. Khi đốt cháy hoàn toàn, 1 mol propane tỏa ra lượng nhiệt là 2220 kJ và 1 mol butane tỏa ra lượng nhiệt là 2850 kJ. Trung bình, lượng nhiệt tiêu thụ từ đốt khí gas của hộ gia đình X là 10000 kJ/ngày và sau 45 ngày gia đình X dùng hết bình gas trên. Hiệu suất sử dụng nhiệt của hộ gia đình X gần nhất với giá trị nào sau đây?
-
A.
62,5%
-
B.
75,6%
-
C.
70,8%
-
D.
67,3%
Đáp án : B
\(\left\{ \begin{array}{l}{n_{C3H8}} = 2x{\rm{ mol}}\\{n_{C4H10}} = 3x{\rm{ mol}}\end{array} \right. \Rightarrow {m_{{\rm{ khi gas}}}} = 44.2x + 58.3x = 12000 \Rightarrow x = 45,8 \Rightarrow \left\{ \begin{array}{l}{n_{C3H8}} = 91,6{\rm{ mol}}\\{n_{C4H10}} = 137,4{\rm{ mol}}\end{array} \right.\)
Lượng nhiệt tỏa ra khi đốt cháy hết 12kg khí gas trên là 91,6.2220 + 137,4 . 2850 = 594942 KJ
Lượng nhiệt hộ gia đình X đã tiêu thụ là: 45.10000 = 450000 KJ
=> Hiệu suất sử dụng của hộ gia đình X là: \(H = \frac{{450000}}{{594942}}.100\% = 75,64\% \)
Đáp án B
Câu 30 :
Khi đốt cháy hoàn toàn 0,35 mol hỗn hợp khí gồm CH4, C2H6, C3H8 thu được 0,75 mol khí CO2 và x gam H2O. Giá trị của x là:
-
A.
6,3
-
B.
13,5
-
C.
18,0
-
D.
19,8
Đáp án : D
Dựa vào phản ứng đốt cháy alkane: n H2O – n CO2 = n alkane
n H2O – n CO2 = n alkane => n H2O = 0,75 + 0,35 = 1,1 mol => m H2O = 19,8g
Đáp án D
Đề thi giữa kì 2 Hóa 11 Kết nối tri thức - Đề số 2
Alkene là những hydrocarbon không no, mạch hở, có công thức chung là
Xem chi tiết
Đề thi giữa kì 2 Hóa 11 Kết nối tri thức - Đề số 3
Các Alkane như: CH4, C2H6, C3H8¬, … hợp thành dãy nào dưới đây?
Xem chi tiết
Đề thi giữa kì 2 Hóa 11 Kết nối tri thức - Đề số 4
Hợp chất thuộc loại dẫn xuất halogen của hydrocarbon là
Xem chi tiết
Đề thi giữa kì 2 Hóa 11 Kết nối tri thức - Đề số 5
Alkane là các hyđrocarbon
Xem chi tiết
Đề thi giữa kì 2 Hóa 11 Kết nối tri thức - Đề số 6
Công thức tổng quát của alkyne là
Xem chi tiết
Đề thi giữa kì 2 Hóa 11 Kết nối tri thức - Đề số 7
Alkane là
Xem chi tiết
>> 2K9 Học trực tuyến - Định hướng luyện thi TN THPT, ĐGNL, ĐGTD ngay từ lớp 11 (Xem ngay) cùng thầy cô giáo giỏi trên Tuyensinh247.com. Bứt phá điểm 9,10 chỉ sau 3 tháng, tiếp cận sớm các kì thi.
![]() |
![]() |
![]() |
![]() |
![]() |
![]() |
![]() |
![]() |







