Tải về
Tổng hợp đề thi học kì 1 lớp 11 tất cả các môn - Chân trời sáng tạo
Toán - Văn - Anh - Lí - Hóa - Sinh
Tính chất nào sau đây không phải tính chất vật lí của sulfur?
Đề bài
Câu 1 :
Tính chất nào sau đây không phải tính chất vật lí của sulfur?
-
A.
Màu vàng ở điều kiện thường.
-
B.
Thể rắn ở điều kiện thường.
-
C.
Không tan trong benzene.
-
D.
Không tan trong nước.
Câu 2 :
Tính chất hóa học cơ bản của đơn chất sulfur là
-
A.
Khử mạnh.
-
B.
Oxi hóa mạnh.
-
C.
Vừa có tính khử vừa có tính oxi hóa.
-
D.
Trơ về mặt hóa học.
Câu 3 :
Số oxi hóa của sulfur trong phân tử SO2 là
-
A.
+ 4.
-
B.
- 2.
-
C.
+ 6.
-
D.
0.
Câu 4 :
Để chứng minh SO2 là một oxide acid, người ta cho SO2 phản ứng với chất nào sau đây?
-
A.
Dung dịch bromine.
-
B.
Dung dịch kiềm.
-
C.
Dung dịch KMnO4.
-
D.
Dung dịch sulfuric acid.
Câu 5 :
Cho 0,96g Cu phản ứng hoàn toàn với dung dịch H2SO4 đặc, nóng, dư thu được V lít khí SO2 (đkc, sản phẩm khử duy nhất). Giá trị của V là
-
A.
0,37185 lít.
-
B.
1,1156 lít.
-
C.
0,7437 lít.
-
D.
0,1853 lít.
Câu 6 :
Trong công nghiệp người ta điều chế H2SO4 từ quặng pirit sắt có thành phần chính là FeS2 theo sơ đồ sau FeS2 → SO2 → SO3 → H2SO4. Biết hiệu của cả quá trình là 80%. Khối lượng H2SO4 98% điều chế được từ 1 tấn quặng chứa 60% FeS2 là
-
A.
0,3125 tấn.
-
B.
0,384 tấn.
-
C.
0,6 tấn.
-
D.
0,45 tấn.
Câu 7 :
Cho các chất: CaC2, CO2, HCOOH, C2H6O, CH3COOH, CH3Cl, NaCN, K2CO3.Số hợp chất hữu cơ trong các chất trên là bao nhiêu ?
-
A.
4
-
B.
5
-
C.
3
-
D.
2
Câu 8 :
Có bao nhiêu chất thuộc loại hydrocarbon trong dãy sau : (1) CH2=CH-Cl; (2) CH3-CH(CH3)2; (3) HCHO; (4) C2H5Br; (5) CH3COOH; (6) C6H6 ?
-
A.
4
-
B.
3
-
C.
2
-
D.
1
Câu 9 :
Hợp chất hữu cơ nào sau đây thể hiện tính chất hóa học đặc trưng của nhóm chức của carboxylic acid ?
-
A.
C17H33COOH.
-
B.
CH3COONa.
-
C.
HCOOCH3.
-
D.
CH2=CH-CHO.
Câu 10 :
Một hợp chất hữu cơ X chứa đồng thời hai nhóm chức alcohol và ketone. Khi đó, hợp chất X sẽ
-
A.
chỉ thể hiện các tính chất hoá học đặc trưng của alcohol.
-
B.
chỉ thể hiện các tính chất hoá học đặc trưng của ketone
-
C.
chỉ thể hiện các tính chất hoá học đặc trưng của ketone
-
D.
không thể hiện tính chất hoá học đặc trưng của cả alcohol và ketone.
Câu 11 :
Phổ IR của chất A được cho như Hình 8.2.

A có thể là chất nào trong số các chất sau:
-
A.
CH3CH2–COOH
-
B.
CH3CH2CH2–CHO
-
C.
CH3CH2NH–CH2CH3
-
D.
CH3COCH2CH3
Câu 12 :
Benzaldehyde là chất lỏng không màu, để lâu có màu vàng, mùi hạnh nhân, được dùng điều chế chất thơm, phẩm nhuộm loại triphenylmethane, … Khi phân tích benzaldehyde, các nguyên tố C, H, O có phần trăm khối lượng tương ứng là 79,24%; 5,66% và 15,1%. Và phổ khối lượng của benzaldehyde như sau:

Công thức phân tử của benzaldehyde là
-
A.
C7H6O.
-
B.
C7H8O.
-
C.
C6H6O.
-
D.
C8H8O.
Câu 13 :
Nguyên tắc của phương pháp chưng cất là :
-
A.
Dựa trên nhiệt độ sôi khác nhau của các chất.
-
B.
Dựa trên độ tan khác nhau của các chất.
-
C.
Dựa trên khối lượng khác nhau của các chất.
-
D.
Dựa trên thể tích khác nhau của các chất.
Câu 14 :
Phương pháp chưng cất dùng để tinh chế
-
A.
Chất lỏng.
-
B.
Chất rắn.
-
C.
Chất khí.
-
D.
Chất keo.
Câu 15 :
Cách chiết chất lỏng –chất lỏng cần có mấy bước ?
-
A.
3
-
B.
4
-
C.
5
-
D.
2
Câu 16 :
Đối với hỗn hợp chất rắn, người ta đã dựa vào độ tan khác nhau và sự thay đổi độ tan khác nhau theo nhiệt độ của chúng để tách và tinh chế. Phương pháp trên gọi là phương pháp :
-
A.
Chưng cất.
-
B.
Chiết.
-
C.
Kết tinh.
-
D.
Sắc kí cột.
Câu 17 :
Công thức phân tử chất Y có công thức cấu tạo dạng khung phân tử như sau là:

-
A.
C3H3O2Br2
-
B.
C3H4O2Br2
-
C.
C3H5O2Cl2
-
D.
C2H5O2Br2
Câu 18 :
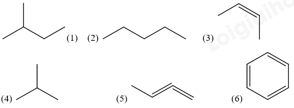
Có bao nhiêu hợp chất hữu cơ trong các chất đây có mạch carbon phân nhánh?

-
A.
2
-
B.
3
-
C.
4
-
D.
5
Câu 19 :
Từ phổ MS của acetone, người ta xác định được ion phân tử [CH3COCH3] có giá trị m/z lớn nhất bằng 58. Vậy phân tử khối của acetone là
-
A.
56
-
B.
57
-
C.
59
-
D.
58
Câu 20 :
Theo thuyết cấu tạo hóa học, chất nào sau đây là đúng về hóa trị của carbon?
-
A.
CH≡CH-CH2-CH3.
-
B.
CH3-CH2-CH2-CH(CH3)2.
-
C.
HO-CH3-CH=O.
-
D.
CH3-CH=CH2-CH3.
Câu 1 :
(2 điểm): Trộn 250ml dung dịch 0,10M và 0,01M với 250ml dung dịch xM và 0,02M. Thu m gam kết tủa và 500ml dung dịch có pH = 12. Xác định giá trị của m và x?
Câu 2 :
(2 điểm): Từ tinh dầu hồi, người ta tách được anethol – một chất thơm được dùng sản xuất kẹo cao su. Để xác định công thức phân tử của hợp chất này người ta phân tích nguyên tố và đo phổ khối lượng. Kết quả phân tích được cho trong bảng sau:
|
%C |
%H |
%O |
Gía trị m/z của peak ion phân tử [M+] |
|
81,08% |
8,1% |
còn lại |
148 |
Lập công thức phân tử của anethol.
Lời giải và đáp án
Câu 1 :
Tính chất nào sau đây không phải tính chất vật lí của sulfur?
-
A.
Màu vàng ở điều kiện thường.
-
B.
Thể rắn ở điều kiện thường.
-
C.
Không tan trong benzene.
-
D.
Không tan trong nước.
Đáp án : C
Dựa vào tính chất vật lí của sulfur
Tính chất vật lí của sulfur là chất rắn có màu vàng tự nhiên, không tan trong nước nhưng tan nhiều trong các dung môi hữu cơ như benzen, rượu,…
Đáp án C
Câu 2 :
Tính chất hóa học cơ bản của đơn chất sulfur là
-
A.
Khử mạnh.
-
B.
Oxi hóa mạnh.
-
C.
Vừa có tính khử vừa có tính oxi hóa.
-
D.
Trơ về mặt hóa học.
Đáp án : C
Dựa vào tính chất hóa học của sulfur
Tính chất hóa học cơ bản của đơn chất sulfur là vừa có tính khử vừa có tính oxi hóa.
Đáp án C
Câu 3 :
Số oxi hóa của sulfur trong phân tử SO2 là
-
A.
+ 4.
-
B.
- 2.
-
C.
+ 6.
-
D.
0.
Đáp án : A
Dựa vào quy tắc xác định số oxi hóa
Số oxi hóa của sulfur trong phân tử SO2 là: +4
Đáp án A
Câu 4 :
Để chứng minh SO2 là một oxide acid, người ta cho SO2 phản ứng với chất nào sau đây?
-
A.
Dung dịch bromine.
-
B.
Dung dịch kiềm.
-
C.
Dung dịch KMnO4.
-
D.
Dung dịch sulfuric acid.
Đáp án : B
Để chứng minh dung dịch có tính acid dùng dung dịch kiềm
SO2 + NaOH \( \to \) NaHSO3
SO2 + 2NaOH \( \to \) Na2SO3 + H2O
Đáp án B
Câu 5 :
Cho 0,96g Cu phản ứng hoàn toàn với dung dịch H2SO4 đặc, nóng, dư thu được V lít khí SO2 (đkc, sản phẩm khử duy nhất). Giá trị của V là
-
A.
0,37185 lít.
-
B.
1,1156 lít.
-
C.
0,7437 lít.
-
D.
0,1853 lít.
Đáp án : A
nCu=0,96/64= 0,015 mol
Cu + 2H2SO4 \( \to \) CuSO4 + SO2 + 2H2O
0,015 mol \( \to \) 0,015 mol \( \to \) VSO2 = 0,015.24,79=0,37185 lít
Đáp án A
Câu 6 :
Trong công nghiệp người ta điều chế H2SO4 từ quặng pirit sắt có thành phần chính là FeS2 theo sơ đồ sau FeS2 → SO2 → SO3 → H2SO4. Biết hiệu của cả quá trình là 80%. Khối lượng H2SO4 98% điều chế được từ 1 tấn quặng chứa 60% FeS2 là
-
A.
0,3125 tấn.
-
B.
0,384 tấn.
-
C.
0,6 tấn.
-
D.
0,45 tấn.
Đáp án : A
Đổi 1 tấn = 1000 kg.
mFeS2= 1000.60% = 600 kg.
Cứ 120 kg FeS2 thì điều chế được 48,5 kg H2SO4
⇒Cứ 600 kg FeS2 thì điều chế được x (g) H2SO4
⇒x = 49.600/120 = 245 kg.
Mà H = 80% nên: ⇒ mH2SO4 = 245.80% = 306,25 kg.
⇒mdd H2SO4(98%)= 392/98% = 312.5 kg = 0,3125 tấn.
Đáp án A
Câu 7 :
Cho các chất: CaC2, CO2, HCOOH, C2H6O, CH3COOH, CH3Cl, NaCN, K2CO3.Số hợp chất hữu cơ trong các chất trên là bao nhiêu ?
-
A.
4
-
B.
5
-
C.
3
-
D.
2
Đáp án : A
Hợp chất hữu cơ là hợp chất của carbon (trừ một số hợp chất như carbon monoxide, carbon dioxide, muối carbonate, cyanide, carbide,…).
HCOOH, C2H6O, CH3COOH, CH3Cl là hợp chất hữu cơ
Đáp án A
Câu 8 :
Có bao nhiêu chất thuộc loại hydrocarbon trong dãy sau : (1) CH2=CH-Cl; (2) CH3-CH(CH3)2; (3) HCHO; (4) C2H5Br; (5) CH3COOH; (6) C6H6 ?
-
A.
4
-
B.
3
-
C.
2
-
D.
1
Đáp án : C
Hydrocarbon là hợp chất hữu cơ gồm nguyên tố carbon và hydrogen
(2), (6) là các hydrocarbon
Câu 9 :
Hợp chất hữu cơ nào sau đây thể hiện tính chất hóa học đặc trưng của nhóm chức của carboxylic acid ?
-
A.
C17H33COOH.
-
B.
CH3COONa.
-
C.
HCOOCH3.
-
D.
CH2=CH-CHO.
Đáp án : A
Nhóm chức carboxylic acid là –COOH
C17H33COOH chứa nhóm chức carboxylic acid
Câu 10 :
Một hợp chất hữu cơ X chứa đồng thời hai nhóm chức alcohol và ketone. Khi đó, hợp chất X sẽ
-
A.
chỉ thể hiện các tính chất hoá học đặc trưng của alcohol.
-
B.
chỉ thể hiện các tính chất hoá học đặc trưng của ketone
-
C.
chỉ thể hiện các tính chất hoá học đặc trưng của ketone
-
D.
không thể hiện tính chất hoá học đặc trưng của cả alcohol và ketone.
Đáp án : C
Hợp chất hữu cơ thể hiện tính chất hóa học của các nhóm chức
Hợp chất hữu cơ X chứa đồng thời hai nhóm chức alcohol và ketone thể hiện tính chất của 2 nhóm chức
Đáp án C
Câu 11 :
Phổ IR của chất A được cho như Hình 8.2.

A có thể là chất nào trong số các chất sau:
-
A.
CH3CH2–COOH
-
B.
CH3CH2CH2–CHO
-
C.
CH3CH2NH–CH2CH3
-
D.
CH3COCH2CH3
Đáp án : A
Dựa vào các vùng tín hiệu đặc trưng của nhóm chức
Hợp chất hữu cơ có vùng tín hiệu ở 3281 cm-1 và 2986 cm-1 là tín hiệu đặc trưng của nhóm carboxylic acid (-COOH)
Đáp án A
Câu 12 :
Benzaldehyde là chất lỏng không màu, để lâu có màu vàng, mùi hạnh nhân, được dùng điều chế chất thơm, phẩm nhuộm loại triphenylmethane, … Khi phân tích benzaldehyde, các nguyên tố C, H, O có phần trăm khối lượng tương ứng là 79,24%; 5,66% và 15,1%. Và phổ khối lượng của benzaldehyde như sau:

Công thức phân tử của benzaldehyde là
-
A.
C7H6O.
-
B.
C7H8O.
-
C.
C6H6O.
-
D.
C8H8O.
Đáp án : A
CTTQ: CxHyOz
Ta có:
\(\begin{array}{l}\frac{{x.12}}{{79,24}} = \frac{{y.1}}{{5,66}} = \frac{{z.16}}{{15,1}} = \frac{{106}}{{100}} = 1,06\\ \Rightarrow x:y:z = \frac{{1,06.79,24}}{{12}}:\frac{{1,06.5,66}}{1}:\frac{{1,06.15,1}}{{16}} = 7:6:1\end{array}\)
CTPT: C7H6O
=> Đáp án A
Câu 13 :
Nguyên tắc của phương pháp chưng cất là :
-
A.
Dựa trên nhiệt độ sôi khác nhau của các chất.
-
B.
Dựa trên độ tan khác nhau của các chất.
-
C.
Dựa trên khối lượng khác nhau của các chất.
-
D.
Dựa trên thể tích khác nhau của các chất.
Đáp án : A
Dựa vào nguyên tắc của phương pháp chưng cất
Nguyên tắc của phương pháp chưng cất là dựa trên nhiệt độ sôi khác nhau của các chất
Đáp án A
Câu 14 :
Phương pháp chưng cất dùng để tinh chế
-
A.
Chất lỏng.
-
B.
Chất rắn.
-
C.
Chất khí.
-
D.
Chất keo.
Đáp án : A
Phương pháp chưng cất dùng để tinh chế chất lỏng
Đáp án A
Câu 15 :
Cách chiết chất lỏng –chất lỏng cần có mấy bước ?
-
A.
3
-
B.
4
-
C.
5
-
D.
2
Đáp án : B
Dựa vào các thao tác thực hiện phương pháp chiết
Gồm 4 bước
Đáp án B
Câu 16 :
Đối với hỗn hợp chất rắn, người ta đã dựa vào độ tan khác nhau và sự thay đổi độ tan khác nhau theo nhiệt độ của chúng để tách và tinh chế. Phương pháp trên gọi là phương pháp :
-
A.
Chưng cất.
-
B.
Chiết.
-
C.
Kết tinh.
-
D.
Sắc kí cột.
Đáp án : C
Phương pháp kết tinh dựa trên sự thay đổi độ tan khác nhau theo nhiệt độ của chúng để tách và tinh chế
Đáp án C
Câu 17 :
Công thức phân tử chất Y có công thức cấu tạo dạng khung phân tử như sau là:

-
A.
C3H3O2Br2
-
B.
C3H4O2Br2
-
C.
C3H5O2Cl2
-
D.
C2H5O2Br2
Đáp án : B
Đáp án B
Câu 18 :
Có bao nhiêu hợp chất hữu cơ trong các chất đây có mạch carbon phân nhánh?

-
A.
2
-
B.
3
-
C.
4
-
D.
5
Đáp án : A
Hóa trị của carbon là IV trong hợp chất hữu cơ
(1), (4) có mạch phân nhánh
Câu 19 :
Từ phổ MS của acetone, người ta xác định được ion phân tử [CH3COCH3] có giá trị m/z lớn nhất bằng 58. Vậy phân tử khối của acetone là
-
A.
56
-
B.
57
-
C.
59
-
D.
58
Đáp án : D
Dựa vào giá trị m/z lớn nhất
Vì giá trị m//z lớn nhất = 58 => phân tử khối của acetone = 58
Câu 20 :
Theo thuyết cấu tạo hóa học, chất nào sau đây là đúng về hóa trị của carbon?
-
A.
CH≡CH-CH2-CH3.
-
B.
CH3-CH2-CH2-CH(CH3)2.
-
C.
HO-CH3-CH=O.
-
D.
CH3-CH=CH2-CH3.
Đáp án : D
Hóa trị của carbon là IV trong hợp chất hữu cơ
CH3-CH=CH2-CH3.
Câu 1 :
(2 điểm): Trộn 250ml dung dịch 0,10M và 0,01M với 250ml dung dịch xM và 0,02M. Thu m gam kết tủa và 500ml dung dịch có pH = 12. Xác định giá trị của m và x?
\({{\rm{n}}_{{{\rm{H}}^{\rm{ + }}}}}{\rm{ = 0,25}}{\rm{.0,1 + 0,25}}{\rm{.0,01}}{\rm{.2 = 0,03(mol);}}\) \({{\rm{n}}_{{\rm{O}}{{\rm{H}}^{\rm{ - }}}}}{\rm{ = 0,25x}}{\rm{.2 + 0,25}}{\rm{.0,02 = 0,5x + 0,005 (mol)}}{\rm{.}}\)
Ta có phản ứng: \({{\rm{H}}^{\rm{ + }}}{\rm{ + O}}{{\rm{H}}^{\rm{ - }}}{\rm{ }} \to {{\rm{H}}_{\rm{2}}}{\rm{O}}\)
\({{\rm{n}}_{{\rm{O}}{{\rm{H}}^{\rm{ - }}}{\rm{du}}}}{\rm{ = }}{{\rm{n}}_{{\rm{O}}{{\rm{H}}^{\rm{ - }}}}}{\rm{ - }}{{\rm{n}}_{{{\rm{H}}^{\rm{ + }}}}}{\rm{ = 0,5x + 0,005 - 0,03 = 0,5x - 0,025 (mol)}}{\rm{.}}\)
Giá trị \({\rm{pOH}}\) sau phản ứng: \({\rm{pOH = 14 - 12 = 2}}{\rm{.}}\)
Thể tích dung dịch sau phản ứng: \({\rm{V = 0,25 + 0,25 = 0,5(l)}}\)
Nồng độ \({\rm{O}}{{\rm{H}}^{\rm{ - }}}\)dư sau phản ứng: \({\rm{O}}{{\rm{H}}^{\rm{ - }}}{\rm{ = }}\frac{{{\rm{0,5x - 0,025}}}}{{{\rm{0,5}}}}{\rm{ = 1}}{{\rm{0}}^{{\rm{ - 2}}}}{\rm{ }} \to {\rm{ x = 0,06(M)}}\)
\({{\rm{n}}_{{\rm{SO}}_{\rm{4}}^{{\rm{2 - }}}}}{\rm{ = 0,0025(mol);}}\) \({{\rm{n}}_{{\rm{B}}{{\rm{a}}^{{\rm{2 + }}}}}}{\rm{ = 0,03(mol)}}{\rm{.}}\)
Xét phản ứng tạo kết tủa: \({\rm{B}}{{\rm{a}}^{{\rm{2 + }}}}{\rm{ + SO}}_{\rm{4}}^{{\rm{2 - }}}{\rm{ }} \to {\rm{ BaSO}}_{\rm{4}}^{}\)
\({{\rm{n}}_{{\rm{BaSO}}_{\rm{4}}^{}}}{\rm{ = }}{{\rm{n}}_{{\rm{SO}}_{\rm{4}}^{{\rm{2 - }}}}}{\rm{ = 0,0025(mol) }} \to {\rm{ m = 0,0025}}{\rm{.233 = 0,5825(gam)}}\)
Câu 2 :
(2 điểm): Từ tinh dầu hồi, người ta tách được anethol – một chất thơm được dùng sản xuất kẹo cao su. Để xác định công thức phân tử của hợp chất này người ta phân tích nguyên tố và đo phổ khối lượng. Kết quả phân tích được cho trong bảng sau:
|
%C |
%H |
%O |
Gía trị m/z của peak ion phân tử [M+] |
|
81,08% |
8,1% |
còn lại |
148 |
Lập công thức phân tử của anethol.
%O = 100% - 81,08% - 8,1% = 10,82%
C : H : O = \(\frac{{\% C}}{{12}}:\frac{{\% H}}{1}:\frac{{\% O}}{{16}} = \frac{{81,08}}{{12}}:\frac{{8,1}}{1}:\frac{{10,82}}{{16}} = 6,7:8,1:0,67 = 10:12:1\)
CTĐGN là: (C10H12O)n. Vì giá trị m/z của peak ion phân tử [M+] = 148
=> M(C10H12O)n = 148 => n = 1
CTPT: C10H12O
Đề thi học kì 1 Hóa 11 Chân trời sáng tạo - Đề số 6
Cho các nhận định sau:
Xem chi tiết
Đề thi học kì 1 Hóa 11 Chân trời sáng tạo - Đề số 7
Chất nào dưới đây không là chất điện li?
Xem chi tiết
Đề thi học kì 1 Hóa 11 Chân trời sáng tạo - Đề số 8
Mưa acid có thể bắt nguồn từ núi lửa, cháy rừng
Xem chi tiết
Đề thi học kì 1 Hóa 11 Chân trời sáng tạo - Đề số 9
Cho cân bằng sau: H2(g) + I2(g)
Xem chi tiết
Đề thi học kì 1 Hóa 11 Chân trời sáng tạo - Đề số 10
Chất nào sau đây không có cùng công thức đơn giản nhất là C2H2?
Xem chi tiết
Đề thi học kì 1 Hóa 11 Chân trời sáng tạo - Đề số 4
Nếu ta dẫn khí SO2 từ từ đến dư vào dung dịch brom sẽ có phản ứng hóa học xảy ra kèm hiện tượng gì sau đây?
Xem chi tiết
Đề thi học kì 1 Hóa 11 Chân trời sáng tạo - Đề số 3
Cấu hình electron của nguyên tử S (Z=16) là:
Xem chi tiết
Đề thi học kì 1 Hóa 11 Chân trời sáng tạo - Đề số 2
Nguyên tố Sulfur có các số oxi hóa sau :
Xem chi tiết
Đề thi học kì 1 Hóa 11 Chân trời sáng tạo - Đề số 1
Dùng dung môi lỏng hòa tan chất hữu cơ để tách chúng ra khỏi hỗn hợp rắn là phương pháp:
Xem chi tiết
Đề cương ôn tập học kì 1 Hóa 11 - Chân trời sáng tạo
Phản ứng thuận nghịch là phản ứng
Xem chi tiết
>> 2K9 Học trực tuyến - Định hướng luyện thi TN THPT, ĐGNL, ĐGTD ngay từ lớp 11 (Xem ngay) cùng thầy cô giáo giỏi trên Tuyensinh247.com. Bứt phá điểm 9,10 chỉ sau 3 tháng, tiếp cận sớm các kì thi.
![]() |
![]() |
![]() |
![]() |
![]() |
![]() |
![]() |
![]() |







