Tải về
Vỏ nguyên tử được tạo bởi
Tổng hợp đề thi học kì 1 lớp 7 tất cả các môn - Kết nối tri thức
Toán - Văn - Anh - Khoa học tự nhiên...
Đề bài
Câu 1: Vỏ nguyên tử được tạo bởi
A. một hay nhiều protron chuyển động xung quanh hạt nhân.
B. một hay nhiều electron chuyển động xung quanh hạt nhân.
C. một hay nhiều neutron chuyển động xung quanh hạt nhân.
D. nhiều electron chuyển động xung quang hạt nhân.
Câu 2: Cho mô hình cấu tạo của hydrogen và helium
Cho các nhận định sau:
(a) EHe = 2EH.
(b) Số PHe = EHe = 2.
(c) Số đơn vị điện tích hạt nhân trong H là 1.
(d) Số NH = 0, NHe = 1.
(e) Điện tích hạt nhân trong nguyên tử He là +2.
Số nhận định đúng là
A. 1. B. 2. C. 3. D. 4.
Câu 3: Trong hạt nhân nguyên từ fluorine có 9 proton. Số electron ở lớp ngoài cùng của vỏ nguyên tử fluorine là
A. 2. B. 3. C. 5. D. 7.
Câu 4: Cho mô hình nguyên tử của 3 nguyên tử khác nhau
Từ mô hình của 3 nguyên tử, cho biết
A. chúng đều thuộc một nguyên tố hóa học.
B. chúng có khối lượng tính theo amu là giống nhau
C. chúng có cùng số proton.
D. chúng thuộc 3 nguyên tố khác nhau.
Câu 5: Kí hiệu nào sau đây là kí hiệu hóa học của nguyên tố magnesium?
A. MG. B. Mg. C. mg. D. mG.
Câu 6: Nguyên tử lithium có 3 electron. Số proton trong lithium là
A. 3. B. 4. C. 5. D. 6.
Câu 7: Khối lượng một nguyên tử của nguyên tố oxygen là 16 amu, biết oxygen có 8 neutron. Số electron của oxygen là
A. 8. B. 9. C. 10. D. 11.
Câu 8: Nguyên tố X thuộc chu kì 2, nhóm IIA. Số proton trong X là
A. 4. B. 5. C. 6. D. 7.
Câu 9: Nguyên tử của nguyên tố X có tổng số hạt là 40, trong đó số hạt mang điện nhiều hơn số hạt không mang điện là 12 hạt. Vị trí và tính chất của X trong tuần hoàn là
A. chu kì 2, nhóm IIA, là phi kim. B. chu kì 2, nhóm IIA, là kim loại.
C. chu kì 3, nhóm IIIA, là kim loại. D. chu kì 3, nhóm IIIA, là phi kim
Câu 10: Trong hạt nhân nguyên tử của nguyên tố silicon có 14 proton, vỏ nguyên tử silicon có 3 lớp electron. Mô hình cấu tạo nào dưới đây của nguyên tử silicon?

Câu 11: Đơn vị tốc độ là
A. km.h B. m.s C. km/h D. s/m
Câu 12: Một vật chuyển động thẳng đều với tốc độ 5 m/s. Thời gian để vật chuyển động hết quãng đường 0,5 km là
A. 50s B. 500s C. 100s D. 10s
Câu 13: Đường sắt Hà Nội – Đà Nẵng dài khoảng 880 km. Nếu tốc độ trung bình của một tàu hỏa là 55 km/h thì thời gian tàu chạy từ Hà Nội đến Đà Nẵng là
A. 8 h. B. 16 h. C. 24 h. D. 32 h.
Câu 14: Một ô tô lên dốc với tốc độ 12 km/h, khi xuống lại dốc đó, ô tô này chuyển động nhanh gấp đôi khi lên dốc. Tốc độ trung bình của ô tô trong cả hai đoạn đường lên dốc và xuống dốc là
A. 22,5 km/h. B. 20 km/h. C. 30 km/h. D. 16 km/h.
Câu 15: Camera của một thiết bị bắn tốc độ ghi được thời gian một ô tô chạy từ vạch mốc 1 sang vạch mốc 2, cách nhau 10 m là 0,50 s. Hỏi ô tô có vượt quá tốc độ cho phép là 60 km/h không?
A. Ô tô không vượt quá tốc độ cho phép.
B. Ô tô vượt quá tốc độ cho phép.
C. Không đủ điều kiện để kết luận.
D. Không có tốc độ cho phép.
Câu 16: Một con rái cá bơi trên một dòng sông được quãng đường 100m trong 40s, sau đó nó thả mình trôi theo dòng nước 50m trong 40s. Đồ thị quãng đường – thời gian của rái cá được cho ở hình dưới đây. Tốc độ bơi của rái cá trong 40s đầu là:
A. 1,25m/s B. 2m/s C. 1m/s D. 2,5m/s
Câu 17: Khi gõ tay xuống mặt bàn, ta nghe thấy âm. Trong trường hợp này, vật nào đã dao động phát ra âm?
A. Mặt bàn dao động phát ra âm.
B. Tay ta gõ vào bàn nên tay đã dao động phát ra âm.
C. Cả tay ta và mặt bàn đều dao động phát ra âm.
D. Lớp không khí giữa tay ta và mặt bàn dao động phát ra âm.
Câu 18: Khi nhạc sĩ chơi đàn ghita, ta nghe thấy tiếng nhạc. Vậy đâu là nguồn âm?
A. Tay bấm dây đàn. B. Tay gảy dây đàn. C. Hộp đàn. D. Dây đàn.
Câu 19: Âm thanh được tạo ra nhờ
A. nhiệt. B. điện. C. ánh sáng. D. dao động.
Câu 20: Một người nhìn thấy tia chớp trước khi nghe thấy tiếng sấm 5 s. Cho rằng thời gian ánh sáng truyền từ chỗ phát ra tiếng sấm đến mắt ta là không đáng kể và tốc độ truyền âm trong không khí là 340 m/s. Người đó đứng cách nơi phát ra tiếng sấm một khoảng là
A. 1700 m. B. 850 m. C. 3400 m. D. 1000 m.
Câu 21: Nước có tính chất gì?
A. Nước (không tinh khiết) có tính dẫn điện và dẫn nhiệt tốt.
B. Nước có khả năng kết hợp với các chất hoá học để tạo thành nhiều hợp chất khác nhau.
C. Nước hòa tan được dầu.
D. Cả 2 phương án A, B đều đúng.
Câu 22: Vai trò của các chất dinh dưỡng đối với cơ thể sinh vật là
A. Cung cấp nguyên liệu cấu tạo nên các thành phần của tế bào, giúp cơ thể sinh trưởng và phát triển.
B. Cung cấp năng lượng.
C. Tham gia điều hòa các hoạt động sống của tế bào và cơ thể.
D. Tất cả các đáp án trên.
Câu 23: Quá trình trao đổi khí ở thực vật diễn ra vào thời gian nào trong ngày?
A. Buổi tối. B. Sáng sớm. C. Buổi chiều. D. Suốt cả ngày đêm.
Câu 24: Động vật đơn bào hay đa bào có tổ chức thấp (ruột khoang, giun tròn, giun dẹp) hô hấp bằng
A. Mang. B. Phổi. C. Qua bề mặt cơ thể. D. Bằng hệ thống ống khí.
Câu 25: Cơ thể ở trạng thái nghỉ ngơi có tiêu dùng năng lượng không? Tại sao?
A. Năng lượng cơ thể bị thất thoát qua hô hấp trong quá trình nghỉ ngơi.
B. Khi cơ thể nghỉ ngơi sẽ không tiêu tốn năng lượng.
C. Các cơ quan trong cơ thể vẫn hoạt động trong quá trình nghỉ ngơi, vẫn tiêu tốn năng lượng.
D. Cơ thể sinh vật chỉ thực hiện tích trữ năng lượng trong qus trình nghỉ ngơi.
Câu 26: Vì sao trong khẩu phần ăn, chúng ta nên chú trọng đến rau và hoa quả tươi?
A. Vì những loại thức ăn này chứa nhiều chất xơ, giúp cho hoạt động tiêu hoá và hấp thụ thức ăn được dễ dàng hơn.
B. Vì những loại thực phẩm này cung cấp đầy đủ tất cả các nhu cầu dinh dưỡng cần thiết của con người.
C. Vì những loại thức phẩm này giúp bổ sung vitamin và khoáng chất, tạo điều khiện thuận lợi cho hoạt động chuyển hoá vật chất và năng lượng của cơ thể.
D. Phương án A, C đúng.
Câu 27: Tại sao nói: “Các hệ cơ quan trong cơ thể có mối quan hệ mật thiết với nhau”?
A. Cơ thể sống là một thể thống nhất gồm các cơ quan và hệ cơ quan hoạt động riêng biệt với các chức năng nhất định.
B. Cơ thể sống là một hệ kín gồm gồm các cơ quan và hệ cơ quan hoạt động riêng biệt với các chức năng nhất định.
C. Cơ thể sống là một thể tống nhất gồm các cơ quan và hệ cơ quan luôn hoạt động thống nhất với nhau.
D. Cơ thể sống là mọ hệ kín gồm các cơ quan và hệ cơ quan luôn hoạt động thống nhất với nhau.
Câu 28: Quá trình quang hợp sẽ bị giảm hoặc ngừng hẳn khi nhiệt độ
A. Nhiệt độ quá cao (trên 40°C)
B. Nhiệt độ quá cao (trên 50°C)
C. Nhiệt độ quá thấp (dưới 10°C)
D. Cả hai phương án A, C đều đúng.
Câu 29: Phát biểu nào sau đây đúng khi nói về sản phẩm của hô hấp tế bào?
A. Sản phẩm của hô hấp tế bào gồm Oxi, nước và năng lượng (ATP + nhiệt).
B. Sản phẩm của hô hấp tế bào gồm Khí carbon dioxide, đường và năng lượng (ATP + nhiệt).
C. Sản phẩm của hô hấp tế bào gồm Nước, khí carbon dioxide và đường.
D. Sản phẩm của hô hấp tế bào gồm Nước, đường và năng lượng (ATP + nhiệt).
Câu 30: Vì sao có thể giữ được các loại thực phẩm (thịt, cá, các loại hạt, ...) lâu ngày trong túi hút chân không?
A. Khi hút chân không, lượng CO2 trong túi đựng gần như bằng 0, do đó quá trình hô hấp tế bào của các loài vi sinh vật phân hủy thịt, cá bị ức chế nên có thể giữ được các loại thực phẩm lâu ngày mà không bị hư hỏng.
B. Khi hút chân không, lượng O2 trong túi đựng gần như bằng 0, do đó quá trình hô hấp tế bào của các loài vi sinh vật phân hủy thịt, cá bị ức chế nên có thể giữ được các loại thực phẩm lâu ngày mà không bị hư hỏng.
C. Cả hai phương án trên đều sai.
D. Cả hai phương án trên đều đúng.
Đáp án
|
1.B |
2.D |
3.D |
4.A |
5.B |
6.A |
7.A |
8.A |
9.C |
10.A |
|
11.C |
12.C |
13.B |
14.D |
15.B |
16.D |
17.A |
18.D |
19.D |
20.A |
|
21.D |
22.D |
23.D |
24.C |
25.B |
26.D |
27.C |
28.D |
29.B |
30.B |
Câu 1 (NB):
Phương pháp:
Dựa vào cấu tạo vỏ nguyên tử.
Cách giải:
Vỏ nguyên tử được cấu tạo bởi một hay nhiều electron chuyển động xung quanh hạt nhân.
Chọn B.
Câu 2 (VD):
Phương pháp:
Đếm số electron xung quang hạt nhân ⇒ số E
Trong nguyên tử E = P = số đơn vị điện tích hạt nhân.
Cách giải:
EH = PH = 1
NH = 0
EHe = PHe = 2
NHe = 2
⇒ EHe = 2EH
(a) đúng.
(b) đúng.
(c) đúng.
(d) sai, vì NHe = 2
(e) đúng.
Chọn D.
Câu 3 (TH):
Phương pháp:
Theo mô hình nguyên tử Rơ – dơ – pho – Bo
+ Các electron được sắp xếp lần lượt vào các lớp theo chiều từ gần hạt nhân ra ngoài.
+ Mỗi lớp có số electron tối đa xác đinh, như lớp thứ nhất có tối đa 2 electron, lớp thứ hai có tối đa 8 electron,…
Cách giải:
Nguyên tử có số proton bằng 9 ⇒ số electron bằng 9.
- Sắp xếp electron:
+ Điền electron từ hạt nhân ra ngoài
Lớp thứ nhất có tối đa 2 electron ⇒ nguyên tử có 2 electron lớp thứ nhất, còn lại 7 electron điền vào các lớp tiếp theo.
Lớp thứ hai có tối đa 8 electron ⇒ điền 7 electron còn lại vào lớp thứ 2.
⇒ số electron lớp ngoài cùng là 7.
Chọn D.
Câu 4 (TH):
Phương pháp:
Nguyên tố hóa học là tập hợp những nguyên tử có cùng số proton.
Cách giải:
Từ mô hình 3 nguyên tử, các nguyên tử đều có cùng số proton là 6 ⇒ 3 nguyên tử thuộc cùng một nguyên tố hóa học.
Chọn A.
Câu 5 (NB):
Phương pháp:
Dựa vào kí hiệu hóa học.
Cách giải:
Nguyên tố magnesium có kí hiệu là Mg.
Chọn B.
Câu 6 (TH):
Phương pháp:
Trong nguyên tử số proton = số electron.
Cách giải:
ELi = 3 ⇒ PLi = 3
Chọn A.
Câu 7 (TH):
Phương pháp:
- Khối lượng nguyên tử tập trung ở hạt nhân nguyên tử ⇒ mnguyên tử ≈ mP + mN
- Khối lượng của 1 proton bằng khối lượng của neutron và xấp xỉ bằng 1 amu.
- Trong nguyên tử E = P.
Cách giải:
MOxygen ≈ mP + mN = 1. P + 1. 8 = 16 (amu)
⇒ P = E = 8 (hạt)
Chọn A.
Câu 8 (TH):
Phương pháp:
Dựa vào chu kì ⟹ số lớp e.
Dựa vào nhóm ⟹ Số e lớp ngoài cùng.
Từ 2 dữ kiện này ⟹ Số proton của X.
Cách giải:
X nằm ở chu kì 2 ⟹ X có 2 lớp e.
X thuộc nhóm IIA ⟹ Có 2 e lớp ngoài cùng.
Mà lớp thứ nhất có tối đa 2 e, lớp thứ 2 có tối đa 2e.
⟹ Vậy X có 4e.
⟹ Số proton của X là 4.
Chọn A.
Câu 9 (VDC):
Phương pháp:
- Tổng số hạt = 2.P + N
- Tổng số hạt mang điện = P + E = 2P
- Số hạt không mang điện N.
- Từ Z ⇒ E
Dựa vào số lớp e ⟹ Chu kì của nguyên tố.
Dựa vào số e lớp ngoài cùng ⟹ Nguyên tố thuộc nhóm nào.
Biết vị trí sẽ biết được tính kim loại hay phi kim của nguyên tố.
Cách giải:
Tổng số hạt của X = E + P + N = 2P + N = 40
Do số hạt mang điện nhiều hơn số hạt không mang điện là 12
⇒ 2P – N = 12
⇒ N = 2P – 12 (2)
Thế (2) vào (1) ⇒ 2P + 2P -12 = 40
⇒ 4P = 52 ⇒ P = 13
Đối với 1 nguyên tố thuộc 20 nguyên tố đầu, lớp thứ nhất có tối đa 2e, lớp thứ 2 có tối đa 8e, lớp thứ 3 có tối đa 8e và lớp thứ 4 còn lại.
Mà X có 13e = 2 + 8 + 3 ⟹ X có 3 lớp e ⟹ X nằm chu kì 3.
⟹X có 3 e lớp ngoài cùng ⟹ X thuộc nhóm IIIA ⟹ X là kim loại.
Chọn C.
Câu 10 (TH):
Phương pháp:
Theo mô hình nguyên tử Rơ – dơ – pho – Bo
+ Các electron được sắp xếp lần lượt vào các lớp theo chiều từ gần hạt nhân ra ngoài.
+ Mỗi lớp có số electron tối đa xác đinh, như lớp thứ nhất có tối đa 2 electron, lớp thứ hai có tối đa 8 electron,…
Cách giải:
+ Điền electron từ hạt nhân ra ngoài
Lớp thứ nhất có tối đa 2 electron ⇒ nguyên tử có 2 electron lớp thứ nhất, còn lại 12 electron điền vào các lớp tiếp theo.
Lớp thứ hai có tối đa 8 electron ⇒ nguyên tử có 8 electron lớp thứ 2 còn lại 4 electron điền vào lớp thứ 3.
Lớp thứ 3 có tối đa 18 electron ⇒ điền 4 electron còn lại vào lớp thứ 3.
Chọn A.
Câu 11 (TH):
Phương pháp:
Tốc độ: v =s/t
Đơn vị của tốc độ tính theo đơn vị của quãng đường và thời gian.
Cách giải:
Đơn vị của tốc độ là m/s hoặc km/h.
Chọn C.
Câu 12 (VD):
Phương pháp:
Công thức tính tốc độ: v= s/t => t = s/v
Cách giải:
Đổi 0,5 km = 500m
Thời gian để vật chuyển động hết quãng đường 0,5km là:

Chọn C.
Câu 13 (VD):
Phương pháp:
Công thức tính thời gian: t = s/v
Cách giải:
Thời gian tàu chạy từ Hà Nội đến Đà Nẵng là:

Chọn B.
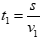
Câu 14 (VDC):
Phương pháp:
Công thức tính tốc độ trung bình: 
Cách giải:
Gọi quãng đường dốc là s
Thời gian ô tô lên dốc là: 
Thời gian ô tô xuống dốc là: 
Tốc độ trung bình của ô tô trong cả hai đoạn đường là:

Chọn D.
Câu 15 (VD):
Phương pháp:
Tốc độ chuyển động: v = s/t
Cách giải:
Tốc độ của ô tô là:

Nhận xét: ô tô chạy quá tốc độ cho phép
Chọn B.
Câu 16 (VD):
Phương pháp:
Trên đoạn thẳng đồ thị biểu diễn cùng tính chất chuyển động.
+ Xác định trên trục Os quãng đường vật di chuyển.
+ Xác định trên trục Ot khoảng thời gian tương ứng.
+ Tốc độ của vật: v = s/t
Cách giải:
Tốc độ bơi của rái cá: 
Chọn D.
Câu 17 (VD):
Phương pháp:
Nguồn âm là nguồn phát ra âm, các nguồn âm đều dao động.
Cách giải:
Khi gõ tay xuống mặt bàn, ta nghe thấy âm là do mặt bàn dao động phát ra âm.
Chọn A.
Câu 18 (VD):
Phương pháp:
Nguồn âm là nguồn phát ra âm, các nguồn âm đều dao động.
Cách giải:
Dây đàn dao động phát ra âm thanh → nguồn âm là dây đàn
Chọn D.
Câu 19 (TH):
Phương pháp:
Nguồn âm là nguồn phát ra âm, các nguồn âm đều dao động.
Cách giải:
Âm thanh được tạo ra nhờ các vật dao động
Chọn D.
Câu 20 (VDC):
Phương pháp:
Quãng đường: s = v.t
Cách giải:
Thời gian tiếng sấm truyền trong không khí là:
t = 5 (s)
Khoảng cách từ người đó đến nơi phát ra tiếng sấm là:

Chọn A.
Câu 21 (NB):
Phương pháp:
Nước là một chất lỏng không có hình dạng nhất định, không màu, không mùi, không vị; có nhiệt độ sôi ở 100oC và đông đặc ở 0oC. Nước là một dung môi phân cực có khả năng hoà tan nhiều chất, (không tinh khiết) có tính dẫn điện và dẫn nhiệt tốt, có khả năng kết hợp với các chất hoá học để tạo thành nhiều hợp chất khác nhau.
Cách giải:
Nước (không tinh khiết) có tính dẫn điện và dẫn nhiệt tốt, có khả năng kết hợp với các chất hoá học để tạo thành nhiều hợp chất khác nhau.
Chọn D.
Câu 22 (NB):
Phương pháp:
Xem lại lý thuyết vai trò của các chất dinh dưỡng.
Cách giải:
Các chất dinh dưỡng có vai trò cung cấp nguyên liệu cấu tạo nên các thành phần của tế bào, giúp cơ thể sinh trưởng và phát triển.
Chọn D.
Câu 23 (NB):
Phương pháp:
Ở thực vật, trao đổi khí được thực hiện trong cả quá trình quang hợp và hô hấp.
Cách giải:
Quá trình quang hợp diễn ra khi có ánh sáng, quá trình hô hấp diễn ra cả ngày và đêm.
Chọn D.
Câu 24 (NB):
Phương pháp:
Xem lại lý thuyết trao đổi khí ở động vật.
Cách giải:
Động vật đơn bào và một số động vật đa bào như ruột khoang, giun tròn, giun dẹp, … trao đổi khí qua bề mặt cơ thể.
Chọn C.
Câu 25 (TH):
Phương pháp:
Khi cơ thể nghỉ ngơi vẫn sẽ tiêu tốn năng lượng.
Cách giải:
Khi cơ thể nghỉ ngơi các cơ quan trong cơ thể vẫn cần duy trì hoạt động như hệ tuần hoàn, hệ hô hấp, hệ tiêu hóa, … Các cơ quan này cần sử dụng năng lượng để hoạt động.
Chọn B.
Câu 26 (TH):
Phương pháp:
Trong khẩu phần ăn, chúng ta nên chú trọng đến rau và hoa quả tươi vì:
- Những loại thức ăn này chứa nhiều chất xơ, giúp cho hoạt động tiêu hoá và hấp thụ thức ăn được dễ dàng hơn.
- Những loại thức phẩm này giúp bổ sung vitamin và khoáng chất, tạo điều khiện thuận lợi cho hoạt động chuyển hoá vật chất và năng lượng của cơ thể
Cách giải:
Các đáp án đúng là A và C.
Chọn D.
Câu 27 (TH):
Phương pháp:
Cơ thể sống là một khối thống nhất. Sự hoạt động của các cơ quan trong một hệ cũng như sự hoạt động của các hệ cơ quan trong cơ thể đều luôn luôn thống nhất với nhau.
Cách giải:
Cơ thể sống là một khối thống nhất. Hoạt động của các cơ quan trong một hệ cũng như hoạt động của các hệ cơ quan trong cơ thể luôn thống nhất với nhau.
Chọn C.
Câu 28 (TH):
Phương pháp:
Nhiệt độ quá cao hay quá thấp sẽ làm giảm hoặc ngừng hẳn quá trình quang hợp.
Cách giải:
Nhiệt độ thuận lợi nhất cho hầu hết các loài cây quang hợp là từ 25oC đến 35oC. Nhiệt độ quá cao (trên 40oC) hay quá thấp (dưới 10oC) sẽ làm giảm hoặc ngừng hẳn quá trình quang hợp.
Chọn D.
Câu 29 (TH):
Phương pháp:
Phương trình hô hấp tế bào:

Cách giải:
Sản phẩm của hô hấp tế bào gồm khí carbon dioxide, đường và năng lượng (ATP + nhiệt).
Chọn B.
Câu 30 (VD):
Phương pháp:
Khi hút chân không đã loại bỏ hoàn toàn không khí, khí oxygen trong thức ăn.
Cách giải:
Có thể giữ được các loại thực phẩm (thịt, cá, các loại hạt,…) lâu ngày trong túi hút chân vì: Khi hút chân không đã loại bỏ hoàn toàn không khí, khí oxygen trong thức ăn. Khi đó quá trình hô hấp không diễn ra làm chậm quá trình phát triển của thực phẩm. Ngoài ra làm hạn chế sự phát triển của vi khuẩn, nấm mốc,…gây hỏng thực phẩm.
Chọn B.
Tải về