Tải về
Tổng hợp đề thi học kì 1 lớp 8 tất cả các môn - Kết nối tri thức
Toán - Văn - Anh - Khoa học tự nhiên
Trong phản ứng: Magnesium + sulfuric acid → magnesium sulfate + khí hydrogen. Magnesium sulfate là
Đề bài
Câu 1 :
Trong phản ứng: Magnesium + sulfuric acid \( \to \)magnesium sulfate + khí hydrogen. Magnesium sulfate là
-
A.
chất phản ứng
-
B.
sản phẩm
-
C.
chất xúc tác
-
D.
chất khí
Câu 2 :
Trường hợp nào sau đây không xảy ra phản ứng hóa học?
-
A.
Đốt cao su có mùi hắc rất khó chịu.
-
B.
Trên bề mặt các hồ tôi vôi để lâu ngày sẽ có lớp màng mỏng màu trắng.
-
C.
Quả bóng bay trên cao rồi nổ tung.
-
D.
Khi chiên trứng gà nếu đun quá lửa sẽ có mùi khét.
Câu 3 :
Dung dịch là gì?
-
A.
Hỗn hợp đồng nhất của chất tan và nước.
-
B.
Hỗn hợp đồng nhất của chất tan và dung môi.
-
C.
Hỗn hợp chất tan và nước.
-
D.
Hỗn hợp chất tan và dung môi
Câu 4 :
Trộn 100 ml dung dịch NaOH 1M với 150ml dung dịch NaOH aM, thu được dung dịch có nồng độ 1,6M. Giá trị của a là
-
A.
0,5.
-
B.
1,0.
-
C.
1,5.
-
D.
2,0.
Câu 5 :
Điền chất cần tìm và hệ số thích hợp: FeO + CO → X + CO2
-
A.
Fe2O3 và 1:2:3:1
-
B.
Fe và 1:1:1:1
-
C.
Fe3O4 và 1:2:1:1
-
D.
FeC và 1:1:1:1
Câu 6 :
Khi đốt than (thành phần chính là carbon), phương trình hóa học xảy ra như sau:
C + O2 → CO2. Nếu đem đốt 3,6 gam carbon thì lượng khí carbon dioxide (CO2) sinh ra sau phản ứng ở điều kiện chuẩn là
-
A.
82,47 lít.
-
B.
8,247 lít.
-
C.
7,437 lít.
-
D.
74,37 lít.
Câu 7 :
Cho miếng đồng (Cu) dư vào 200 mL dung dịch AgNO3, thu được muối Cu(NO3)2 và Ag bám vào miếng đồng. Khối lượng Cu phản ứng là 6,4 g. Khối lượng Ag tạo ra là
-
A.
8,8g.
-
B.
10,8g.
-
C.
15,2g.
-
D.
21,6g.
Câu 8 :
Để điều chế CO2 trong phòng thí nghiệm, người ta cho đá vôi (rắn) phản ứng với dung dịch hydrochloric acid. Phản ứng xảy ra như sau:
CaCO3 + 2HCl → CaCl2 + H2O + CO2.
Biện pháp nào sau đây không làm phản ứng xảy ra nhanh hơn?
-
A.
Đập nhỏ đá vôi.
-
B.
Tăng nhiệt độ phản ứng.
-
C.
Thêm CaCl2 vào dung dịch.
-
D.
Dùng HCl nồng độ cao hơn.
Câu 9 :
Dãy chất nào sau đây làm quỳ tìm chuyển sang màu đỏ
-
A.
NaOH, NaCl, HCl
-
B.
HNO3, CH3COOH, CaCl2
-
C.
H2SO4, HCl, HNO3
-
D.
BaSO3, H3PO4, KCl
Câu 10 :
Cho m g bột sắt tác dụng với 200ml dung dịch H2SO4 0,1M. Khối lượng m là?
-
A.
11,2g
-
B.
1,12g
-
C.
0,56g
-
D.
5,6g
Câu 11 :
Dãy chất nào sau đây gồm base không tan?
-
A.
NaOH, Fe(OH)2, Cu(OH)2
-
B.
KOH, Ca(OH)2, Mg(OH)2
-
C.
Fe(OH)3, Mg(OH)2, Al(OH)3
-
D.
Ba(OH)2, Zn(OH)2, Cu(OH)2
Câu 12 :
Nung nóng Al(OH)3 thu được aluminium oxide. Công thức hóa học của oxide là?
-
A.
AlO3
-
B.
Al2O3
-
C.
Al2O
-
D.
AlO
Câu 13 :
Cho sơ đồ phản ứng sau:
? + 2HCl → ZnCl2 + H2
Chất thích hợp để điền vào vị trí dấu hỏi là
-
A.
Zn(OH)2.
-
B.
ZnO.
-
C.
Zn.
-
D.
ZnCO3.
Câu 14 :
Chất nào sau đây trong phân kali, cung cấp nguyên tố đa lượng cho cây trồng?
-
A.
MgCl2.
-
B.
Na2CO3.
-
C.
Ca(HCO3)2.
-
D.
KCl.
Câu 15 :
Khối lượng riêng của nhôm là bao nhiêu?
-
A.
1300,6 kg/m³
-
B.
2700 N
-
C.
2700 kg/m³
-
D.
2700 N/m³
Câu 16 :
Đặt một bao gạo 60kg lên một ghế 4 chân có khối lượng 4kg. Diện tích tiếp xúc với mặt đất của mỗi chân ghế là 8cm2. Áp suất mà gạo và ghế tác dụng lên mặt đất là:
-
A.
p = 20000N/m2
-
B.
p = 2000000N/m2
-
C.
p = 200000N/m2
-
D.
Là một giá trị khác
Câu 17 :
Cùng một lực như nhau tác dụng lên hai vật khác nhau. Diện tích tác dụng của lực lên vật A lớn gấp đôi diện tích lực tác dụng lên vật B.
-
A.
Áp suất tác dụng lên vật A lớn gấp đôi áp suất tác dụng lên vật B
-
B.
Áp suất tác dụng lên vật B lớn gấp đôi áp suất tác dụng lên vật A
-
C.
Áp suất tác dụng lên hai vật như nhau
-
D.
Áp suất tác dụng lên vật A lớn gấp bốn lần áp suất tác dụng lên vật B
Câu 18 :
Muốn đo khối lượng riêng của quả cầu bằng sắt người ta dùng những dụng cụ gì?
-
A.
Chỉ cần dùng một cái cân
-
B.
Chỉ cần dùng một lực kế
-
C.
Cần dùng một cái cân và bình chia độ
-
D.
Chỉ cần dùng một bình chia độ
Câu 19 :
Đơn vị của áp lực là:
-
A.
N/m2
-
B.
Pa
-
C.
N
-
D.
N/cm2
Câu 20 :
Trong công thức tính lực đẩy Archimedes: FA = dV, V là:
-
A.
Thể tích của vật
-
B.
Thể tích chất lỏng chứa vật
-
C.
Thể tích phần chất lỏng bị vật chiếm chỗ
-
D.
Thể tích phần chất lỏng không bị vật chiếm chỗ
Câu 21 :
Chọn câu sai.
-
A.
Với cánh tay đòn không đổi, lực càng lớn thì tác dụng làm quay càng lớn.
-
B.
Cánh tay đòn càng lớn thì tác dụng làm quay càng bé.
-
C.
Moment lực tác dụng vào một vật quay quanh một trục cố định làm thay đổi tốc độ góc của vật.
-
D.
Mọi vật quay quanh một trục đều có mức quán tính.
Câu 22 :
Khối lượng riêng của sắt là 7800kg/m³. Vậy, 1kg sắt sẽ có thể tích vào khoảng
-
A.
12,8 cm3
-
B.
128 cm3.
-
C.
1280 cm3.
-
D.
12800 cm3.
Câu 23 :
Đơn vị đo áp suất là:
-
A.
N/m2
-
B.
N/m3
-
C.
kg/m3
-
D.
N
Câu 24 :
Một cục nước đá đang nổi trong bình nước. Mực nước trong bình thay đổi như thế nào khi cục nước đá tan hết:
-
A.
Tăng
-
B.
Giảm
-
C.
Không đổi
-
D.
Không xác định được
Câu 25 :
Dùng đòn bẩy được lợi về lực khi
-
A.
Khoảng cách OO1=OO2
-
B.
Khoảng cách OO1>OO2
-
C.
Khoảng cách OO1 < OO2
-
D.
Tất cả đều sai
Câu 26 :
Người ta đo được khối lượng của 200 ml nước là 200 g. Khối lượng riêng của nước tính theo đơn vị g/l là
-
A.
D = 1000 g/l.
-
B.
D = 1 g/l.
-
C.
D = 4 g/l.
-
D.
D = 4 000 g/l.
Câu 27 :
Một lực F nằm trong mặt phẳng vuông góc với trục quay và không cắt trục quay. Moment của lực F đối với trục quay là đại lượng đặc trưng cho tác dụng làm quay của lực quanh trục ấy được đo bằng
-
A.
tích của lực tác dụng với cánh tay đòn.
-
B.
tích của tốc độ góc và lực tác dụng.
-
C.
thương của lực tác dụng với cánh tay đòn.
-
D.
thương của lực tác dụng với tốc độ góc.
Câu 28 :
1 đưa một hòn đá nặng dời chỗ sang bên cạnh, người ta thường sử dụng
-
A.
Ròng rọc cố định
-
B.
Mặt phẳng nghiêng
-
C.
Đòn bảy
-
D.
Mặt phẳng nghiêng và đòn bẩy
Câu 1 :
Cho 100 mL dung dịch AgNO3 vào 50 g dung dịch 1,9% muối chloride của một kim loại M hoá trị II, phản ứng vừa đủ thu được 2,87 g kết tủa AgCl. Biết PTHH của phản ứng là:
MgCl2 + 2AgNO3 → M(NO3)2 + 2AgCl (rắn)
a) Xác định kim loại M.
b) Xác định nồng độ mol của dung dịch AgNO3.
Câu 2 :
Một bạn muốn biết viên nước đá nổi hay chìm trong dầu (dầu có khối lượng riêng 0,800 g/ml) nên đã tiến hành thí nghiệm bằng cách thả viên nước đá vào trong 110 cm3 dầu và thu được kết quả như hình 14.2.

a) Xác định khối lượng riêng của nước đá.
b) Xác định khối lượng riêng của nước.
c) Từ kết quả tính được, giải thích vì sao viên nước đá nổi trong nước nhưng lại chìm khi thả vào dầu.
Lời giải và đáp án
Câu 1 :
Trong phản ứng: Magnesium + sulfuric acid \( \to \)magnesium sulfate + khí hydrogen. Magnesium sulfate là
-
A.
chất phản ứng
-
B.
sản phẩm
-
C.
chất xúc tác
-
D.
chất khí
Đáp án : B
Trong phản ứng hóa học các chất tham gia phản ứng với nhau tạo thành sản phẩm.
Magnesium sulfate là sản phẩm
Đáp án B
Câu 2 :
Trường hợp nào sau đây không xảy ra phản ứng hóa học?
-
A.
Đốt cao su có mùi hắc rất khó chịu.
-
B.
Trên bề mặt các hồ tôi vôi để lâu ngày sẽ có lớp màng mỏng màu trắng.
-
C.
Quả bóng bay trên cao rồi nổ tung.
-
D.
Khi chiên trứng gà nếu đun quá lửa sẽ có mùi khét.
Đáp án : C
Dựa vào các dấu hiệu của phản ứng hóa học
Quả bóng bay trên cao rồi nổ tung là hiện tượng vật lí
Đáp án C
Câu 3 :
Dung dịch là gì?
-
A.
Hỗn hợp đồng nhất của chất tan và nước.
-
B.
Hỗn hợp đồng nhất của chất tan và dung môi.
-
C.
Hỗn hợp chất tan và nước.
-
D.
Hỗn hợp chất tan và dung môi
Đáp án : B
Dựa vào khái niệm dung dịch
Dung dịch là hỗn hợp đồng nhất của chất tan và dung môi
Đáp án B
Câu 4 :
Trộn 100 ml dung dịch NaOH 1M với 150ml dung dịch NaOH aM, thu được dung dịch có nồng độ 1,6M. Giá trị của a là
-
A.
0,5.
-
B.
1,0.
-
C.
1,5.
-
D.
2,0.
Đáp án : D
Tính số mol của NaOH trong 2 dung dịch, sau đó tìm a
Số mol NaOH trong 100ml dung dịch là: 0,1.1 = 0,1 mol
Số mol NaOH trong 150ml dung dịch là: 0,15.a = 0,15a
Trộn 2 dung dịch thu được thể tích: 100 + 150 = 250ml = 0,25 lít

Đáp án D
Câu 5 :
Điền chất cần tìm và hệ số thích hợp: FeO + CO → X + CO2
-
A.
Fe2O3 và 1:2:3:1
-
B.
Fe và 1:1:1:1
-
C.
Fe3O4 và 1:2:1:1
-
D.
FeC và 1:1:1:1
Đáp án : B
FeO khi phản ứng với CO tạo ra kim loại và khí carbonic
X: Fe
FeO + CO → Fe + CO2
Tỉ lệ phản ứng: 1:1:1:1
Đáp án B
Câu 6 :
Khi đốt than (thành phần chính là carbon), phương trình hóa học xảy ra như sau:
C + O2 → CO2. Nếu đem đốt 3,6 gam carbon thì lượng khí carbon dioxide (CO2) sinh ra sau phản ứng ở điều kiện chuẩn là
-
A.
82,47 lít.
-
B.
8,247 lít.
-
C.
7,437 lít.
-
D.
74,37 lít.
Đáp án : C
Dựa vào phương trình hóa học và số mol của carbon

Đáp án C
Câu 7 :
Cho miếng đồng (Cu) dư vào 200 mL dung dịch AgNO3, thu được muối Cu(NO3)2 và Ag bám vào miếng đồng. Khối lượng Cu phản ứng là 6,4 g. Khối lượng Ag tạo ra là
-
A.
8,8g.
-
B.
10,8g.
-
C.
15,2g.
-
D.
21,6g.
Đáp án : D
Tính theo phương trình hóa học
nCu=6,4 : 64=0,1 mol
Phương trình hoá học:
Cu + 2Ag(NO3)2 → Cu(NO3)2 + 2Ag
Theo phương trình hoá học:
Cứ 1 mol Cu phản ứng sinh ra 2 mol Ag;
Vậy 0,1 mol Cu phản ứng sinh ra 0,2 mol Ag.
Khối lượng Ag sinh ra là: 0,2.108 = 21,6 gam.
Đáp án: D
Câu 8 :
Để điều chế CO2 trong phòng thí nghiệm, người ta cho đá vôi (rắn) phản ứng với dung dịch hydrochloric acid. Phản ứng xảy ra như sau:
CaCO3 + 2HCl → CaCl2 + H2O + CO2.
Biện pháp nào sau đây không làm phản ứng xảy ra nhanh hơn?
-
A.
Đập nhỏ đá vôi.
-
B.
Tăng nhiệt độ phản ứng.
-
C.
Thêm CaCl2 vào dung dịch.
-
D.
Dùng HCl nồng độ cao hơn.
Đáp án : C
Tốc độ phản ứng và chất xúc tác
Đập nhỏ đá vôi → tăng diện tích tiếp xúc → tăng tốc độ phản ứng.
Tăng nhiệt độ phản ứng → tăng tốc độ phản ứng.
Dùng HCl nồng độ cao hơn → tăng nồng độ chất tham gia → tăng tốc độ phản ứng.
Đáp án: C
Câu 9 :
Dãy chất nào sau đây làm quỳ tìm chuyển sang màu đỏ
-
A.
NaOH, NaCl, HCl
-
B.
HNO3, CH3COOH, CaCl2
-
C.
H2SO4, HCl, HNO3
-
D.
BaSO3, H3PO4, KCl
Đáp án : C
Chất làm quỳ tím chuyển sang màu đỏ là dung dịch acid
Đáp án C
Câu 10 :
Cho m g bột sắt tác dụng với 200ml dung dịch H2SO4 0,1M. Khối lượng m là?
-
A.
11,2g
-
B.
1,12g
-
C.
0,56g
-
D.
5,6g
Đáp án : B
Dựa vào số mol của H2SO4 và phản ứng giữa sắt và H2SO4
n H2SO4 = 0,2 . 0,1 = 0,02 mol

Đáp án B
Câu 11 :
Dãy chất nào sau đây gồm base không tan?
-
A.
NaOH, Fe(OH)2, Cu(OH)2
-
B.
KOH, Ca(OH)2, Mg(OH)2
-
C.
Fe(OH)3, Mg(OH)2, Al(OH)3
-
D.
Ba(OH)2, Zn(OH)2, Cu(OH)2
Đáp án : C
Dựa vào phân loại base
Đáp án C
Base không tan thường của kim loại trừ Na, K, Ba, Ca, Li
Câu 12 :
Nung nóng Al(OH)3 thu được aluminium oxide. Công thức hóa học của oxide là?
-
A.
AlO3
-
B.
Al2O3
-
C.
Al2O
-
D.
AlO
Đáp án : B
Dựa vào quy tắc hóa trị để lập công thức oxide
Al có hóa trị III, O có hóa trị II => Công thức oxide: Al2O3
Đáp án B
Câu 13 :
Cho sơ đồ phản ứng sau:
? + 2HCl → ZnCl2 + H2
Chất thích hợp để điền vào vị trí dấu hỏi là
-
A.
Zn(OH)2.
-
B.
ZnO.
-
C.
Zn.
-
D.
ZnCO3.
Đáp án : C
Dựa vào khái niệm tính chất vật lí, tính chất hóa học của muối
Zn + 2HCl → ZnCl2 + H2
Đáp án: C
Câu 14 :
Chất nào sau đây trong phân kali, cung cấp nguyên tố đa lượng cho cây trồng?
-
A.
MgCl2.
-
B.
Na2CO3.
-
C.
Ca(HCO3)2.
-
D.
KCl.
Đáp án : D
Dựa vào bài 12 phân bón hóa học
KCl có trong phân kali.
Đáp án D
Câu 15 :
Khối lượng riêng của nhôm là bao nhiêu?
-
A.
1300,6 kg/m³
-
B.
2700 N
-
C.
2700 kg/m³
-
D.
2700 N/m³
Đáp án : B
Khối lượng riêng của nhôm là 2700 kg/m³
Đáp án: B
Câu 16 :
Đặt một bao gạo 60kg lên một ghế 4 chân có khối lượng 4kg. Diện tích tiếp xúc với mặt đất của mỗi chân ghế là 8cm2. Áp suất mà gạo và ghế tác dụng lên mặt đất là:
-
A.
p = 20000N/m2
-
B.
p = 2000000N/m2
-
C.
p = 200000N/m2
-
D.
Là một giá trị khác
Đáp án : C
p=F/S

Đáp án: C
Câu 17 :
Cùng một lực như nhau tác dụng lên hai vật khác nhau. Diện tích tác dụng của lực lên vật A lớn gấp đôi diện tích lực tác dụng lên vật B.
-
A.
Áp suất tác dụng lên vật A lớn gấp đôi áp suất tác dụng lên vật B
-
B.
Áp suất tác dụng lên vật B lớn gấp đôi áp suất tác dụng lên vật A
-
C.
Áp suất tác dụng lên hai vật như nhau
-
D.
Áp suất tác dụng lên vật A lớn gấp bốn lần áp suất tác dụng lên vật B
Đáp án : B
Áp suất tác dụng lên vật B lớn gấp đôi áp suất tác dụng lên vật A
Đáp án: B
Câu 18 :
Muốn đo khối lượng riêng của quả cầu bằng sắt người ta dùng những dụng cụ gì?
-
A.
Chỉ cần dùng một cái cân
-
B.
Chỉ cần dùng một lực kế
-
C.
Cần dùng một cái cân và bình chia độ
-
D.
Chỉ cần dùng một bình chia độ
Đáp án : C
Muốn đo khối lượng riêng của quả cầu bằng sắt người ta dùng một cái cân và bình chia độ
Đáp án: C
Câu 19 :
Đơn vị của áp lực là:
-
A.
N/m2
-
B.
Pa
-
C.
N
-
D.
N/cm2
Đáp án : C
Đơn vị của áp lực là N
Đáp án: C
Câu 20 :
Trong công thức tính lực đẩy Archimedes: FA = dV, V là:
-
A.
Thể tích của vật
-
B.
Thể tích chất lỏng chứa vật
-
C.
Thể tích phần chất lỏng bị vật chiếm chỗ
-
D.
Thể tích phần chất lỏng không bị vật chiếm chỗ
Đáp án : C
Trong công thức tính lực đẩy Archimedes: FA = dV, V là Thể tích phần chất lỏng bị vật chiếm chỗ
Đáp án: C
Câu 21 :
Chọn câu sai.
-
A.
Với cánh tay đòn không đổi, lực càng lớn thì tác dụng làm quay càng lớn.
-
B.
Cánh tay đòn càng lớn thì tác dụng làm quay càng bé.
-
C.
Moment lực tác dụng vào một vật quay quanh một trục cố định làm thay đổi tốc độ góc của vật.
-
D.
Mọi vật quay quanh một trục đều có mức quán tính.
Đáp án : B
Cánh tay đòn càng lớn thì tác dụng làm quay càng lớn
Đáp án: B
Câu 22 :
Khối lượng riêng của sắt là 7800kg/m³. Vậy, 1kg sắt sẽ có thể tích vào khoảng
-
A.
12,8 cm3
-
B.
128 cm3.
-
C.
1280 cm3.
-
D.
12800 cm3.
Đáp án : B

Đáp án: B
Câu 23 :
Đơn vị đo áp suất là:
-
A.
N/m2
-
B.
N/m3
-
C.
kg/m3
-
D.
N
Đáp án : A
Đơn vị đo áp suất là N/m2
Đáp án: A
Câu 24 :
Một cục nước đá đang nổi trong bình nước. Mực nước trong bình thay đổi như thế nào khi cục nước đá tan hết:
-
A.
Tăng
-
B.
Giảm
-
C.
Không đổi
-
D.
Không xác định được
Đáp án : C
Một cục nước đá đang nổi trong bình nước. Mực nước trong bình Không đổi
Đáp án: C
Câu 25 :
Dùng đòn bẩy được lợi về lực khi
-
A.
Khoảng cách OO1=OO2
-
B.
Khoảng cách OO1>OO2
-
C.
Khoảng cách OO1 < OO2
-
D.
Tất cả đều sai
Đáp án : C
Dùng đòn bẩy được lợi về lực khi Khoảng cách OO1 < OO2
Đáp án: C
Câu 26 :
Người ta đo được khối lượng của 200 ml nước là 200 g. Khối lượng riêng của nước tính theo đơn vị g/l là
-
A.
D = 1000 g/l.
-
B.
D = 1 g/l.
-
C.
D = 4 g/l.
-
D.
D = 4 000 g/l.
Đáp án : A


Đáp án A
Câu 27 :
Một lực F nằm trong mặt phẳng vuông góc với trục quay và không cắt trục quay. Moment của lực F đối với trục quay là đại lượng đặc trưng cho tác dụng làm quay của lực quanh trục ấy được đo bằng
-
A.
tích của lực tác dụng với cánh tay đòn.
-
B.
tích của tốc độ góc và lực tác dụng.
-
C.
thương của lực tác dụng với cánh tay đòn.
-
D.
thương của lực tác dụng với tốc độ góc.
Đáp án : A
Một lực F nằm trong mặt phẳng vuông góc với trục quay và không cắt trục quay. Moment của lực F đối với trục quay là đại lượng đặc trưng cho tác dụng làm quay của lực quanh trục ấy được đo bằng tích của lực tác dụng với cánh tay đòn
Đáp án: A
Câu 28 :
1 đưa một hòn đá nặng dời chỗ sang bên cạnh, người ta thường sử dụng
-
A.
Ròng rọc cố định
-
B.
Mặt phẳng nghiêng
-
C.
Đòn bảy
-
D.
Mặt phẳng nghiêng và đòn bẩy
Đáp án : C
Khi đưa một hòn đá nặng dời chỗ sang bên cạnh, người ta thường sử dụng Đòn bảy
Đáp án: C
Câu 1 :
Cho 100 mL dung dịch AgNO3 vào 50 g dung dịch 1,9% muối chloride của một kim loại M hoá trị II, phản ứng vừa đủ thu được 2,87 g kết tủa AgCl. Biết PTHH của phản ứng là:
MgCl2 + 2AgNO3 → M(NO3)2 + 2AgCl (rắn)
a) Xác định kim loại M.
b) Xác định nồng độ mol của dung dịch AgNO3.
a) Gọi số mol muối MCl2là a.
Khối lượng muối:
MCl2 + 2AgNO3 → Fe(NO3)2 + 2AgCl
|
Theo PTHH: |
1 |
2 |
1 |
2 |
(mol) |
|
Phản ứng: |
a |
2a |
a |
2a |
(mol) |
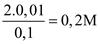
Ta có: a =
= 0,01 mol
(M + 2.35,5).0,01 = 0,95 ⇒ M = 24 ⇒ Kim loại là Mg.
b) Nồng độ của dung dịch AgNO3:
Câu 2 :
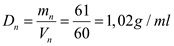
Một bạn muốn biết viên nước đá nổi hay chìm trong dầu (dầu có khối lượng riêng 0,800 g/ml) nên đã tiến hành thí nghiệm bằng cách thả viên nước đá vào trong 110 cm3 dầu và thu được kết quả như hình 14.2.

a) Xác định khối lượng riêng của nước đá.
b) Xác định khối lượng riêng của nước.
c) Từ kết quả tính được, giải thích vì sao viên nước đá nổi trong nước nhưng lại chìm khi thả vào dầu.
Áp dụng công thức tính khối lượng riêng: 
a) Từ hình 14.2a và 14.2b, ta có thể xác định được khối lượng riêng của nước đá.
Khối lượng của nước đá là:
mnước đá = 271 – 210 = 61 (g).
Thể tích của nước đá là:
Vnước đá =176 – 110 = 66 (cm3) = 66 (ml).
Khối lượng riêng của nước đá là:

b) Từ hình 14.2a và 14.2c, ta có thể xác định được khối lượng riêng của nước.
Khối lượng của nước là: mnước = mnước đá = 61 (g).
Thể tích của nước: Vnước = 170 - 110 = 60 (cm³) = 60 (ml).
Khối lượng riêng của nước là:

c) Vì Dnước đá< Dnướcvà Dnước đá > Ddầu nên viên nước đá nổi trong nước nhưng lại chìm khi thả vào dầu.
Đề thi học kì 1 KHTN 8 Kết nối tri thức - Đề số 5
Cho sơ đồ phản ứng sau: sắt + sulfur sắt (II) sulfurua. Chất sản phẩm trong sơ đồ phản ứng trên là
Xem chi tiết
Đề thi học kì 1 KHTN 8 Kết nối tri thức - Đề số 6
Dung dịch là
Xem chi tiết
Đề thi học kì 1 KHTN 8 Kết nối tri thức - Đề số 7
Cho tỉ khối của khí A đối với khí B là 0,0625 và tỉ khối của khí B đối với không khí là 1,104. Khối lượng mol của khí A là
Xem chi tiết
Đề thi học kì 1 KHTN 8 Kết nối tri thức - Đề số 8
Chất nào sau đây là hydrochlric acid?
Xem chi tiết
Đề thi học kì 1 KHTN 8 Kết nối tri thức - Đề số 9
Trong các dung dịch sau: dung dịch NaCl, dung dịch HCl
Xem chi tiết
Đề thi học kì 1 KHTN 8 Kết nối tri thức - Đề số 10
Một số kim loại tác dụng với dung dịch acid tạo thành:
Xem chi tiết
Đề thi học kì 1 KHTN 8 Kết nối tri thức - Đề số 3
Nồng độ phần trăm của một dung dịch cho ta biết
Xem chi tiết
Đề thi học kì 1 KHTN 8 Kết nối tri thức - Đề số 2
Quá trình biến đổi hóa học là:
A. quá trình mà chất chỉ chuyển từ trạng thái này sang trạng thái khác, không tạo thành chất mới.
B. quá trình chất biến đổi có sự tạo thành chất mới.
C. quá trình chất biến đổi có sự tạo thành chất mới hoặc không tạo thành chất mới.
D. quá trình chất không biến đổi và không có sự hình thành chất mới.
Xem chi tiết
Đề thi học kì 1 KHTN 8 Kết nối tri thức - Đề số 1
Trong các quá trình sau, quá trình nào xảy ra biến đổi vật lí?
Xem chi tiết
Đề cương ôn tập học kì 1 Khoa học tự nhiên 8
- Định nghĩa: biến đổi hóa học, biến đổi vật lí, chất sản phẩm, chất tham gia, phản ứng hóa
Xem chi tiết
>> Học trực tuyến lớp 8 trên Tuyensinh247.com. Đầy đủ khoá học các bộ sách: Kết nối tri thức với cuộc sống; Chân trời sáng tạo; Cánh diều. Cam kết giúp học sinh lớp 8 học tốt, hoàn trả học phí nếu học không hiệu quả. PH/HS tham khảo chi tiết khoá học tại: Link
![]() |
![]() |
![]() |
![]() |
![]() |
![]() |





