Tải về
Tổng hợp đề thi học kì 1 lớp 11 tất cả các môn - Cánh diều
Toán - Văn - Anh - Lí - Hóa - Sinh
Keo dán phenol fomaldehyde (PF)
Đề bài
Câu 1 :
Keo dán phenol fomaldehyde (PF) có độ kết dính cao, chịu nhiệt và nước, thường dùng để ép gỗ, dán gỗ trong xây dựng (gỗ coppha). PF là sản phẩm trùng ngưng của fomaldehyde (HCHO) với
-
A.
ethalnol(C2H5OH)
-
B.
phenol C6H5OH
-
C.
toluene (C6H5CH3)
-
D.
benezene C6H6
Câu 2 :
Phản ứng thủy phân dẫn xuất halogen trong môi trường kiềm thuộc loại phản ứng gì?

-
A.
phản ứng thế.
-
B.
phản ứng cộng.
-
C.
phản ứng tách.
-
D.
phản ứng oxi hóa
Câu 3 :
Cho các chất: C2H5OH, C2H5Br, C6H5OH, C6H5CH2OH, C6H5Cl. Số chất tác dụng được với dung dịch NaOH loãng khi đun nóng là
-
A.
4
-
B.
5
-
C.
3
-
D.
2
Câu 4 :
Tên gọi của alkene (sản phẩm chính) thu được khi đun nóng alcohol có công thức (CH3)2CHCH(OH)CH3 với dung dịch H2SO4 đặc là
-
A.
3-methylbut-2-ene.
-
B.
2-methylbut-1-ene.
-
C.
2-methylbut-2-ene.
-
D.
3-methylbut-1-ene.
Câu 5 :
Cho hợp chất carbonyl có công thức cấu tạo sau: 
Tên theo danh pháp thay thế của hợp chất carbonyl đó là
-
A.
2-methylbutan -3-one.
-
B.
3-methylbutan-2-one.
-
C.
3-methylbutan-2-ol.
-
D.
1,1-dimethypropan-2-one
Câu 6 :
Khi uống rượu có lẫn methanol, methanol có trong rượu được chuyển hóa ở gan tạo thành formic acid gây ngộ độc cho cơ thể, làm suy giảm thị lực và có thể gây mù. Formic acid có công thức cấu tạo là
-
A.
CH3OH
-
B.
HCHO
-
C.
HCOOH
-
D.
CH3COOH
Câu 7 :
Cho các phản ứng sau: 
-
A.
(a).
-
B.
(c).
-
C.
(a) và (d).
-
D.
(b) và (c).
Câu 8 :
Khử CH3COCH3 bằng LiAlH4 thu được sản phẩm là
-
A.
ethanal
-
B.
acetone
-
C.
propan-1-ol
-
D.
propan-2-ol
Câu 9 :
Cho các hydrocarbon X và Y có công thức cấu tạo sau:

Tên gọi của X và Y lần lượt là
-
A.
1,2 –dimethylbenzene và 1,3 – dimethylbenzene
-
B.
1,3 – dimethylbenzene và 1,2 – dimethylbenzene
-
C.
m – xylene và o – xylene
-
D.
1,3 – dimethylbenzene và 1,2 – dimethylbenzene
Câu 10 :
Phản ứng của benzene với các chất nào sau đây gọi là phản ứng nitro hóa?
-
A.
HNO3 đậm đặc
-
B.
HNO3 loãng
-
C.
HNO3 đặc/ H2SO4 đặc
-
D.
HNO2 đặc/ HNO3 loãng
Câu 11 :
Cho sơ đồ phản ứng sau: \(HC \equiv CH + AgN{O_3}/N{H_3} \to X + N{H_4}N{O_3}\)
X có công thức cấu tạo là?
-
A.
\(AgC \equiv CAg\)
-
B.
\(CAg \equiv CAg\)
-
C.
\(AgC \equiv AgC\)
-
D.
\(CHAg \equiv CHAg\)
Câu 12 :
Chất nào sau đây làm mất màu dung dịch KMnO4 ở điều kiện thường?
-
A.
Benzene
-
B.
Methane
-
C.
Toluene
-
D.
Acetylene
Monochloro hóa propane (có chiếu sáng, ở 25oC), thu được 45% 1 – chloropropane và 55% 2 – chloropropane; còn monobromine hóa propane (có chiếu sáng và đun nóng đến 127oC), thu được 4% 1 – bromopropane và 96% 2 – bromopropane
(a) Bậc của carbon càng cao, phản ứng thế xảy ra càng dễ dàng. Phản ứng thế ở carbon bậc ba dễ hơn ở carbon bậc hai và phản ứng thế ở carbon bậc hai dễ hơn ở carbon bậc một
(b) Sản phẩm 2 – chloropropane và 2 – bromopropane là sản phẩm phụ còn 1 – chloropropane; 1 – bromopropane là sản phẩm chính
(c) Chlorine tham gia phản ứng thế dễ dàng hơn so với bromine
(d) Phản ứng của bromine yếu, nên bromine chủ yếu lựa chọn phản ứng ở vị trí carbon bậc cao hơn, nơi phản ứng xảy ra dễ dàng hơn.
Saccharose là một loại đường phổ biến, sản xuất chủ yếu từ cây mía. Saccharose có cấu trúc phân tử:
(a) Số nhóm chức alcohol trong phân tử saccharose là 8
(b) Saccharose có khả năng hòa tan kết tủa Cu(OH)2 tạo phức xanh lam
(c) Saccharose tan tốt trong nước
(d) Saccharose có công thức phân tử C12H20O11
Từ một loại tinh dầu thảo mộc, người ta tách được hợp chất hữu cơ A có mùi thơm. Bằng phương pháp phân tích nguyên tố, người ta thấy rằng A chứa 81,82% C và 6,06 %H về khối lượng, còn lại là O. Phổ MS cho thấy A có phân tử khối bằng 132. Trên phổ IR của A có một tín hiệu đặc trưng ở 1 746 cm-1. Chất A có phản ứng tráng bạc, làm mất màu dung dịch Br2/CCl4 và khi bị oxi hóa bằng KMnO4 nóng thu được benzoic acid.
(a) Công thức phân tử của A là C9H8O
(b) Trong phân tử của A có chứa nhóm chức ketone
(c) Trong phân tử A có chứa 5 liên kết \(\pi \)
(d) Trong phân tử A có chứa vòng benzene.
Formic acid là một chất lỏng, mùi xốc mạnh và gây bỏng da, acid này được chưng cất lần đầu từ loài kiến lửa có tên là Formicarufa. Kiến khi cắn sẽ “tiêm” dung dịch chứa 50% thể tích formic acid vào da. Trung bình mỗi lần cắn, kiến có thể “tiêm” khoảng 6,0x10-3 cm3 dung dịch formic acid. Biết khối lượng riêng của formic acid là 1,22 g/cm3.
(a) Formic acid có công thức cấu tạo là HCOOH.
(b) Mỗi lần bị kiến cắn, sẽ có 80% formic acid có trong cơ thể. Giả sử lượng formic acid trong các con kiến là bằng nhau. Thể tích formic acid tinh khiết có trong một con kiến là 3,75.10-3cm3
(c) Để trung hòa lượng formic acid do kiến cắn có thể dùng NaOH có tính base.
(d) Nếu dùng NaHCO3 để trung hòa vết kiến cắn, thì phải dùng khoảng 6,7mg NaHCO3.
Câu 1 :
Ethyl acetate là chất lỏng, có mùi đặc trưng, được sản xuất ở quy mô lớn làm dung môi trong công nghiệp.
(a) Viết phương trình hoá học điều chế ethyl acetate bằng cách đun nóng hỗn hợp acetic acid với ethanol, xúc tác H2SO4 đặc.
(b) Sơ đồ thí nghiệm sau mô tả quá trình thực hiện phàn ứng trên. Hãy cho biết vai trò của cốc nước lạnh trong thí nghiệm. Sau khi kết thúc phản ứng, ta thêm một ít nước vào ống nghiệm, lắc nhẹ thì có hiện tượng gì xảy?
(c) Để một nhà máy sản xuất được 1000L ethyl acetate mỗi ngày thì lượng thể tích (L) ethanol và acetic acid tiêu thụ tối thiểu là bao nhiêu? Biết rằng hao hụt trong quá trình sản xuất trên là 34%. Cho khối lượng riêng (g/cm3) của ethyl acetate, ethanol và acetic acid lần lượt là: 0,902; 0,79; 1,049.
Câu 2 :
(a) Tính khối lượng phenol và acetone (theo kg) thu được khi oxi hóa 1 tấn cumene trong công nghiệp. Biết hiệu suất của phản ứng điều chế phenol và acetone từ cumene trong công nghiệp là 95%.
(b) Bisphenol A là hợp chất được dùng nhiều trong công nghiệp để điều chế nhựa epoxy. Bisphenol A được điều chế từ phenol và acetone theo sơ đồ:
Từ lượng phenol và acetone thu được ở câu (a), hãy tính lượng bisphenol A thu được (theo kg), biết hiệu suất của phản ứng tổng hợp bisphenol A đạt 80%.
Lời giải và đáp án
Câu 1 :
Keo dán phenol fomaldehyde (PF) có độ kết dính cao, chịu nhiệt và nước, thường dùng để ép gỗ, dán gỗ trong xây dựng (gỗ coppha). PF là sản phẩm trùng ngưng của fomaldehyde (HCHO) với
-
A.
ethalnol(C2H5OH)
-
B.
phenol C6H5OH
-
C.
toluene (C6H5CH3)
-
D.
benezene C6H6
Đáp án : B
Dựa vào tên gọi của phenol fomaldehyde
Phenol fomaldehyde là sản phẩm trùng ngưng của HCHO và phenol C6H5OH
Đáp án B
Câu 2 :
Phản ứng thủy phân dẫn xuất halogen trong môi trường kiềm thuộc loại phản ứng gì?

-
A.
phản ứng thế.
-
B.
phản ứng cộng.
-
C.
phản ứng tách.
-
D.
phản ứng oxi hóa
Đáp án : A
Dựa vào sản phẩm của phản ứng

phản ứng thế
Câu 3 :
Cho các chất: C2H5OH, C2H5Br, C6H5OH, C6H5CH2OH, C6H5Cl. Số chất tác dụng được với dung dịch NaOH loãng khi đun nóng là
-
A.
4
-
B.
5
-
C.
3
-
D.
2
Đáp án : D
Các chất phản ứng với NaOH loãng: carboxylic acid, dẫn xuất halogen
C2H5Br, C6H5Cl có phản ứng với dung dịch NaOH loãng
Đáp án D
Câu 4 :
Tên gọi của alkene (sản phẩm chính) thu được khi đun nóng alcohol có công thức (CH3)2CHCH(OH)CH3 với dung dịch H2SO4 đặc là
-
A.
3-methylbut-2-ene.
-
B.
2-methylbut-1-ene.
-
C.
2-methylbut-2-ene.
-
D.
3-methylbut-1-ene.
Đáp án : C
Khi đun nóng alcohol với dung dịch H2SO4 đặc, 170oC thu được alkene

Câu 5 :
Cho hợp chất carbonyl có công thức cấu tạo sau: 
Tên theo danh pháp thay thế của hợp chất carbonyl đó là
-
A.
2-methylbutan -3-one.
-
B.
3-methylbutan-2-one.
-
C.
3-methylbutan-2-ol.
-
D.
1,1-dimethypropan-2-one
Đáp án : B
Dựa vào tên gọi của hợp chất carbonyl

Câu 6 :
Khi uống rượu có lẫn methanol, methanol có trong rượu được chuyển hóa ở gan tạo thành formic acid gây ngộ độc cho cơ thể, làm suy giảm thị lực và có thể gây mù. Formic acid có công thức cấu tạo là
-
A.
CH3OH
-
B.
HCHO
-
C.
HCOOH
-
D.
CH3COOH
Đáp án : C
Dựa vào tên gọi thông thường của carboxylic acid
Formic acid: HCOOH
Đáp án C
Câu 7 :
Cho các phản ứng sau: 
-
A.
(a).
-
B.
(c).
-
C.
(a) và (d).
-
D.
(b) và (c).
Đáp án : C
Dựa vào tính chất hóa học của alcohol
Câu 8 :
Khử CH3COCH3 bằng LiAlH4 thu được sản phẩm là
-
A.
ethanal
-
B.
acetone
-
C.
propan-1-ol
-
D.
propan-2-ol
Đáp án : D
Dựa vào tính chất hóa học của hợp chất carbonyl

Câu 9 :
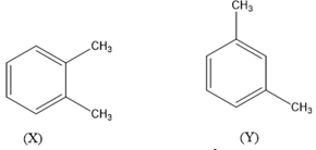
Cho các hydrocarbon X và Y có công thức cấu tạo sau:

Tên gọi của X và Y lần lượt là
-
A.
1,2 –dimethylbenzene và 1,3 – dimethylbenzene
-
B.
1,3 – dimethylbenzene và 1,2 – dimethylbenzene
-
C.
m – xylene và o – xylene
-
D.
1,3 – dimethylbenzene và 1,2 – dimethylbenzene
Đáp án : A
Dựa vào quy tắc đọc tên của arene
X: 1,2 – dimethylbenzene
Y: 1,3 – dimethylbenzene
Đáp án A
Câu 10 :
Phản ứng của benzene với các chất nào sau đây gọi là phản ứng nitro hóa?
-
A.
HNO3 đậm đặc
-
B.
HNO3 loãng
-
C.
HNO3 đặc/ H2SO4 đặc
-
D.
HNO2 đặc/ HNO3 loãng
Đáp án : C
Dựa vào phản ứng nitro hóa của benzene
Benzene phản ứng với HNO3 đặc/H2SO4 đặc
Đáp án C
Câu 11 :
Cho sơ đồ phản ứng sau: \(HC \equiv CH + AgN{O_3}/N{H_3} \to X + N{H_4}N{O_3}\)
X có công thức cấu tạo là?
-
A.
\(AgC \equiv CAg\)
-
B.
\(CAg \equiv CAg\)
-
C.
\(AgC \equiv AgC\)
-
D.
\(CHAg \equiv CHAg\)
Đáp án : C
Alk – 1 – yne có phản ứng thế H linh động
\(HC \equiv CH + AgN{O_3}/N{H_3} \to AgC \equiv CAg + N{H_4}N{O_3}\)
Câu 12 :
Chất nào sau đây làm mất màu dung dịch KMnO4 ở điều kiện thường?
-
A.
Benzene
-
B.
Methane
-
C.
Toluene
-
D.
Acetylene
Đáp án : D
Những chất có liên kết đôi, liên kết ba có phản ứng làm mất màu dung dịch KMnO4 ở điều kiện thường
Acetylene có phản ứng làm mất màu dung dịch KMnO4 ở điều kiện thường
Đáp án D
Monochloro hóa propane (có chiếu sáng, ở 25oC), thu được 45% 1 – chloropropane và 55% 2 – chloropropane; còn monobromine hóa propane (có chiếu sáng và đun nóng đến 127oC), thu được 4% 1 – bromopropane và 96% 2 – bromopropane
(a) Bậc của carbon càng cao, phản ứng thế xảy ra càng dễ dàng. Phản ứng thế ở carbon bậc ba dễ hơn ở carbon bậc hai và phản ứng thế ở carbon bậc hai dễ hơn ở carbon bậc một
(b) Sản phẩm 2 – chloropropane và 2 – bromopropane là sản phẩm phụ còn 1 – chloropropane; 1 – bromopropane là sản phẩm chính
(c) Chlorine tham gia phản ứng thế dễ dàng hơn so với bromine
(d) Phản ứng của bromine yếu, nên bromine chủ yếu lựa chọn phản ứng ở vị trí carbon bậc cao hơn, nơi phản ứng xảy ra dễ dàng hơn.
(a) Bậc của carbon càng cao, phản ứng thế xảy ra càng dễ dàng. Phản ứng thế ở carbon bậc ba dễ hơn ở carbon bậc hai và phản ứng thế ở carbon bậc hai dễ hơn ở carbon bậc một
(b) Sản phẩm 2 – chloropropane và 2 – bromopropane là sản phẩm phụ còn 1 – chloropropane; 1 – bromopropane là sản phẩm chính
(c) Chlorine tham gia phản ứng thế dễ dàng hơn so với bromine
(d) Phản ứng của bromine yếu, nên bromine chủ yếu lựa chọn phản ứng ở vị trí carbon bậc cao hơn, nơi phản ứng xảy ra dễ dàng hơn.
(a) Đúng, vì % sản phẩm thế bậc cao lớn hơn sản phẩm thế bậc thấp
(b) sai, sản phẩm 2 – chloropropane và 2 – bromopropane là sản phẩm chính
(c) đúng, vì điều kiện phản ứng của chlorine dễ dàng hơn với bromine.
(d) đúng
Saccharose là một loại đường phổ biến, sản xuất chủ yếu từ cây mía. Saccharose có cấu trúc phân tử:
(a) Số nhóm chức alcohol trong phân tử saccharose là 8
(b) Saccharose có khả năng hòa tan kết tủa Cu(OH)2 tạo phức xanh lam
(c) Saccharose tan tốt trong nước
(d) Saccharose có công thức phân tử C12H20O11
(a) Số nhóm chức alcohol trong phân tử saccharose là 8
(b) Saccharose có khả năng hòa tan kết tủa Cu(OH)2 tạo phức xanh lam
(c) Saccharose tan tốt trong nước
(d) Saccharose có công thức phân tử C12H20O11
(a) đúng
(b) đúng, vì saccharose có nhiều nhóm – OH xếp liền kề nhau
(c) đúng, vì có liên kết hydrogen
(d) sai, sacharose có công thức phân tử C12H22O11
Từ một loại tinh dầu thảo mộc, người ta tách được hợp chất hữu cơ A có mùi thơm. Bằng phương pháp phân tích nguyên tố, người ta thấy rằng A chứa 81,82% C và 6,06 %H về khối lượng, còn lại là O. Phổ MS cho thấy A có phân tử khối bằng 132. Trên phổ IR của A có một tín hiệu đặc trưng ở 1 746 cm-1. Chất A có phản ứng tráng bạc, làm mất màu dung dịch Br2/CCl4 và khi bị oxi hóa bằng KMnO4 nóng thu được benzoic acid.
(a) Công thức phân tử của A là C9H8O
(b) Trong phân tử của A có chứa nhóm chức ketone
(c) Trong phân tử A có chứa 5 liên kết \(\pi \)
(d) Trong phân tử A có chứa vòng benzene.
(a) Công thức phân tử của A là C9H8O
(b) Trong phân tử của A có chứa nhóm chức ketone
(c) Trong phân tử A có chứa 5 liên kết \(\pi \)
(d) Trong phân tử A có chứa vòng benzene.
C : H : O = \(\frac{{81,82}}{{12}}:\frac{{6,06}}{1}:\frac{{12,12}}{{16}} = 6,8:6,06:0,75 = 9:8:1\)
CTPT A: C9H8O => (a) đúng
Vì A có phản ứng tráng bạc, làm mất màu dung dịch Br2/CCl4 => A có nhóm chức – CHO
=> (b) sai
Số liên kết pi trong A: \(\frac{{2.9 - 8 + 2}}{2} = 6\)=> (c) sai
(d) đúng vì oxy hóa KMnO4 thu được benzoic acid.
Formic acid là một chất lỏng, mùi xốc mạnh và gây bỏng da, acid này được chưng cất lần đầu từ loài kiến lửa có tên là Formicarufa. Kiến khi cắn sẽ “tiêm” dung dịch chứa 50% thể tích formic acid vào da. Trung bình mỗi lần cắn, kiến có thể “tiêm” khoảng 6,0x10-3 cm3 dung dịch formic acid. Biết khối lượng riêng của formic acid là 1,22 g/cm3.
(a) Formic acid có công thức cấu tạo là HCOOH.
(b) Mỗi lần bị kiến cắn, sẽ có 80% formic acid có trong cơ thể. Giả sử lượng formic acid trong các con kiến là bằng nhau. Thể tích formic acid tinh khiết có trong một con kiến là 3,75.10-3cm3
(c) Để trung hòa lượng formic acid do kiến cắn có thể dùng NaOH có tính base.
(d) Nếu dùng NaHCO3 để trung hòa vết kiến cắn, thì phải dùng khoảng 6,7mg NaHCO3.
(a) Formic acid có công thức cấu tạo là HCOOH.
(b) Mỗi lần bị kiến cắn, sẽ có 80% formic acid có trong cơ thể. Giả sử lượng formic acid trong các con kiến là bằng nhau. Thể tích formic acid tinh khiết có trong một con kiến là 3,75.10-3cm3
(c) Để trung hòa lượng formic acid do kiến cắn có thể dùng NaOH có tính base.
(d) Nếu dùng NaHCO3 để trung hòa vết kiến cắn, thì phải dùng khoảng 6,7mg NaHCO3.
(a) đúng
Thể tích HCOOH có trong 1 con kiến: 6.10-3.50%:80% = 3,75.10-3 (cm3) => (b) đúng
(c) sai, vì NaOH có thể gây bỏng cho da, có thể dùng NaHCO3
n HCOOH = \(\frac{{6,{{0.10}^{ - 3}}.0,5.1,22}}{{46}} = 7,{96.10^{ - 5}}mol\)
HCOOH + NaHCO3 \( \to \)HCOONa + CO2 + H2O
7,96.10-5 7,96.10-5
Khối lượng NaHCO3 cần dùng là: 7,96.10-5 .84 = 6,7.10-3 = 6,7mg => (d) đúng
Câu 1 :
Ethyl acetate là chất lỏng, có mùi đặc trưng, được sản xuất ở quy mô lớn làm dung môi trong công nghiệp.
(a) Viết phương trình hoá học điều chế ethyl acetate bằng cách đun nóng hỗn hợp acetic acid với ethanol, xúc tác H2SO4 đặc.
(b) Sơ đồ thí nghiệm sau mô tả quá trình thực hiện phàn ứng trên. Hãy cho biết vai trò của cốc nước lạnh trong thí nghiệm. Sau khi kết thúc phản ứng, ta thêm một ít nước vào ống nghiệm, lắc nhẹ thì có hiện tượng gì xảy?
(c) Để một nhà máy sản xuất được 1000L ethyl acetate mỗi ngày thì lượng thể tích (L) ethanol và acetic acid tiêu thụ tối thiểu là bao nhiêu? Biết rằng hao hụt trong quá trình sản xuất trên là 34%. Cho khối lượng riêng (g/cm3) của ethyl acetate, ethanol và acetic acid lần lượt là: 0,902; 0,79; 1,049.
(a) Phương trình hoá học: 
(b) Vai trò của cốc nước lạnh: ethyl acetate sinh ra dưới dạng hơi nên cần làm lạnh bằng nước đá để ngưng tụ.
Sau khi kết thúc phản ứng ta thêm một ít nước vào ống nghiệm, lắc nhẹ thì trong ống nghiệm có chất lỏng không màu, mùi đặc trưng, không tan trong nước và nổi trên mặt nước.
(c) \({n_{C{H_3}COO{C_2}{H_5}}} = \frac{{1\,000 \times {{10}^3} \times 0,902}}{{88}} = 10\,250\,(mol)\)
\(\begin{array}{l}{V_{C{H_3}COOH}} = \frac{{{m_{C{H_3}COOH}}}}{{{d_{C{H_3}COOH}}}} = \frac{{10\,250 \times 60}}{{1,049}} = 586\,272,64\,(c{m^3})\\{V_{{C_2}{H_5}OH}} = \frac{{{m_{{C_2}{H_5}OH}}}}{{{d_{{C_2}{H_5}OH}}}} = \frac{{10\,250 \times 46}}{{0,79}} = 596\,835,44\,(c{m^3})\end{array}\)
Theo đề, hao hụt của phản ứng là 34%, do đó hiệu suất của phản ứng là 66%.
\(\begin{array}{l}{V_{C{H_3}COOH}} = \frac{{586\,272,64 \times 100}}{{66}} = 888\,291,88\,(c{m^3}) = 888,29\,(L)\\{V_{{C_2}{H_5}OH}} = \frac{{596\,835,44 \times 100}}{{66}} = 904\,296,12\,(c{m^3}) = 904,29\,(L)\end{array}\)
Câu 2 :
(a) Tính khối lượng phenol và acetone (theo kg) thu được khi oxi hóa 1 tấn cumene trong công nghiệp. Biết hiệu suất của phản ứng điều chế phenol và acetone từ cumene trong công nghiệp là 95%.
(b) Bisphenol A là hợp chất được dùng nhiều trong công nghiệp để điều chế nhựa epoxy. Bisphenol A được điều chế từ phenol và acetone theo sơ đồ:
Từ lượng phenol và acetone thu được ở câu (a), hãy tính lượng bisphenol A thu được (theo kg), biết hiệu suất của phản ứng tổng hợp bisphenol A đạt 80%.

Đề thi học kì 2 Hóa 11 Cánh diều - Đề số 5
Tên của alkane nào sau đây không đúng?
Xem chi tiết
Đề thi học kì 2 Hóa 11 Cánh diều - Đề số 6
I. Trắc nghiệm
Xem chi tiết
Đề thi học kì 2 Hóa 11 Cánh diều - Đề số 7
Phần I. Trắc nghiệm
Xem chi tiết
Đề thi học kì 2 Hóa 11 Cánh diều - Đề số 8
Phần I. Trắc nghiệm
Xem chi tiết
Đề thi học kì 2 Hóa 11 Cánh diều - Đề số 3
Công thức cấu tạo thu gọn của 2,2-dimethylpropane là
Xem chi tiết
Đề thi học kì 2 Hóa 11 Cánh diều - Đề số 2
Thủy phân dẫn xuất halogen nào sau đây sẽ thu được alcohol ?
Xem chi tiết
Đề thi học kì 2 Hóa 11 Cánh diều - Đề số 1
Cho alkyne X tác dụng với H2 dư
Xem chi tiết
Đề cương ôn tập học kì 2 Hóa 11 - Cánh diều
Khái niệm, đồng phân, danh pháp, tính chất vật lí, tính chất hóa học và ứng dụng của:
Xem chi tiết
>> 2K9 Học trực tuyến - Định hướng luyện thi TN THPT, ĐGNL, ĐGTD ngay từ lớp 11 (Xem ngay) cùng thầy cô giáo giỏi trên Tuyensinh247.com. Bứt phá điểm 9,10 chỉ sau 3 tháng, tiếp cận sớm các kì thi.
![]() |
![]() |
![]() |
![]() |
![]() |
![]() |
![]() |
![]() |







