Tải về
Tổng hợp đề thi học kì 1 lớp 11 tất cả các môn - Chân trời sáng tạo
Toán - Văn - Anh - Lí - Hóa - Sinh
Trong phản ứng của alkane với chlorine,
Đề bài
Câu 1 :
Trong phản ứng của alkane với chlorine, khả năng phản ứng thế của H liên kết với carbon bậc III gấp 7 lần khả năng thế của H liên kết với carbon bậc I. Khi cho clo tác dụng với 2,3-dimethylbutane thu được hỗn hợp X gồm hai dẫn xuất monochloro. Thành phần % theo số mol của 2-chloro-2,3-dimethylbutane trong X là
-
A.
60,00%.
-
B.
40,00%.
-
C.
53,85%.
-
D.
46,15%.
Câu 2 :
Bước 1: Lấy khoảng 2 mL bromoethane cho vào ống nghiệm, thêm tiếp khoảng 3 mL nước cất và lắc mạnh. Để ổn định, sau đó tách bỏ lớp chất lỏng phần trên. Lặp lại 2 lần, kiểm tra chất phần lỏng ở trên bằng dung dịch AgNO3 đến khi không còn vết vẩn đục.
Bước 2: Thêm tiếp khoảng 1 mL dung dịch NaOH, đun nóng nhẹ và lắc đều ống nghiệm trong khoảng 2 phút.
Bước 3: Để nguội hỗn hợp, acid hóa dung dịch sau phản ứng bằng vài giọt HNO3.
Bước 4: Nhỏ vài giọt dung dịch AgNO3 vào ống nghiệm.
Cho các phát biểu sau:
(1) Ở bước 2, có thể thay dung dịch NaOH bằng dung dịch KOH.
(2) Ở bước 1, lớp chất lỏng ở trên gồm nước và ion Br- và lớp chất lỏng ở dưới là bromoethane
(3) Ở bước 3, mục đích thêm dung dịch HNO3 vào để trung hòa lượng NaOH còn dư.
(4) Ở bước 1, dung dịch AgNO3 thêm vào để kiểm tra nước còn ion Br- hay không.
(5) Ở bước 4, kết tủa thu dược có màu trắng.
Số phát biểu đúng là
-
A.
6
-
B.
5
-
C.
3
-
D.
4
Câu 3 :
Trên nhãn chai chứa benzene có một số biểu tượng sau :

Biểu tượng (1) và (2) ở trên lần lượt cho biết cần chú ý gì khi sử dụng benzene?
-
A.
Chất khó cháy, chất có lợi cho sức khỏe.
-
B.
Chất dễ cháy, chất gây nguy hiểm cho sức khỏe.
-
C.
Chất dễ cháy, chất có lợi cho sức khỏe.
-
D.
Chất gây nguy hiểm cho sức khỏe, chất dễ cháy.
Câu 4 :
Cho alcohol có công thức cấu tạo sau:
Tên theo danh pháp thay thế của alcohol đó là
-
A.
4-methylpentan-1-ol
-
B.
2-methylbutan-3-ol
-
C.
3-methylbutan-2-ol
-
D.
1,1-dimethylpropan-3-ol
Câu 5 :
Sản phẩm chính của phản ứng nào sau đây không đúng?
-
A.
CH3CH(Cl)CH3 + NaOH → CH3CH(OH)CH3 + NaCl
-
B.
CH3CH2Cl + KOH → CH2 = CH2 + KCl + H2O
-
C.
CH3Br + KOH → CH3OH + KBr
-
D.

Câu 6 :
Cho sơ đồ phản ứng hóa học sau:
Sản phẩm chính theo quy tắc Zaitsev của phản ứng trên là
-
A.
but-1-ene.
-
B.
but-2-ene.
-
C.
but-1-yne
-
D.
but-2-yne
Câu 7 :
Alcohol bị oxi hoá bởi CuO, t° tạo thành ketone là
-
A.
CH3CH(OH)CH3.
-
B.
CH3CH2CH2OH.
-
C.
CH3CH2CH2OH.
-
D.
CH3CH2CH2OH.
Câu 8 :
Trong các hợp chất sau:

Phát biểu nào sau đây không đúng?
-
A.
(1), (3) là alcohol thơm.
-
B.
(1), (2), (3) đều có công thức phân tử là C7H8O.
-
C.
(2), (4) là alcohol thơm.
-
D.
(2), (4) là alcohol thơm.
Câu 9 :
Nguyên nhân phản ứng thế bromine vào vòng thơm của phenol xảy ra dễ dàng hơn so với benzene là do
-
A.
phenol tan một phần trong nước.
-
B.
phenol có tính acid yếu.
-
C.
ảnh hưởng của nhóm –OH đến vòng benzene trong phân tử phenol.
-
D.
ảnh hưởng của vòng benzene đến nhóm –OH trong phân tử phenol.
Câu 10 :
Phản ứng CH3-CH=O + HCN\( \to \) CH3CH(OH)CN thuộc loại phản ứng nào sau đây?
-
A.
Phản ứng thế.
-
B.
Phản ứng cộng.
-
C.
Phản ứng tách.
-
D.
Phản ứng oxi hóa – khử.
Câu 11 :
Cho phản ứng sau:
Sản phẩm phản ứng là chất nào sau đây?
-
A.
2-metylbutan-3-ol.
-
B.
3-metylbutan-2-ol.
-
C.
1,1-dimethylpropan-2-ol
-
D.
3,3-dimethylpropan-2-ol
Câu 12 :
Propanoic acid có công thức cấu tạo là
-
A.
CH3CH2OH
-
B.
CH3COOH
-
C.
CH3CH2COOH
-
D.
CH3CH2CH2COOH
Câu 13 :
Đun nóng carboxylic acid với alcohol khi có mặt xúc tác H2SO4 đặc, nóng tạo ra sản phẩm nào sau đây?
-
A.
muối.
-
B.
aldehyde.
-
C.
ester.
-
D.
alkane.
Câu 14 :
Dung dịch acetic acid phản ứng được với tất cả các chất trong dãy nào sau đây?
-
A.
Cu, NaOH, NaCl
-
B.
Zn, CuO, NaCl
-
C.
Zn, CuO, HCl
-
D.
Zn, NaOH, CaCO3
Trên chai nước bằng nhựa có in kí hiệu như hình bên là chai nước được làm bằng nhựa polyethylene (PE). Nhựa LDPE có mật độ thấp hơn, dẻo hơn, mềm hơn, linh hoạt hơn, có nhiệt độ nóng chảy thấp hơn và thường được dùng để chế tạo các vật liệu yêu cầu về độ mềm dẻo. Nhựa HDPE có mật độ cao hơn, cứng hơn, có nhiệt độ nóng chảy cao hơn và thường được dùng để chế tạo các vật liệu yêu cầu về độ chống chịu tốt hơn. Cả 2 đều được tạo ra từ monome là ethene ở 2 điều kiện khác nhau.

(a) Cả hai loại nhựa trên đều được tạo ra bằng phản ứng trùng hợp ethene.
(b) ethene là chất khí, tan nhiều trong nước ở điều kiện thường.
(c) ethene tham gia phản ứng cộng hydrogen tạo ra 1 sản phẩm duy nhất.
(d) ethene làm mất màu dung dịch Br2 ngay ở nhiệt độ thường.
Cho công thức của phenol:

(a) Nhóm –OH và gốc phenyl trong phân tử phenol có ảnh hưởng qua lại lẫn nhau.
(b) Do nhóm phenyl hút electron, làm tăng sự phân cực của nhóm –OH nên phenol phản ứng được với dung dịch sodium hydroxide.
(c) Do nhóm –OH làm giảm khả năng phản ứng thế nguyên tử hydrogen trên vòng benzene của phenol hơn so với benzene.
(d) Do nhóm –OH làm tăng khả năng phản ứng thế nguyên tử hydrogen trên vòng benzene hơn nên ưu tiên thế nguyên tử hydrogen ở vị trí meta (-m) của phenol.
Salicylic acid có công thức cấu tạo sau:
làm nguyên liệu để tổng hợp methyl salicylate được dùng làm cao dán giảm đau, kháng viêm ngoài ra.
(a) Phản ứng tổng hợp methyl salicylate thuộc phản ứng ester hóa.
(b) Phương trình điều chế methyl salicylate:

(c) Salicylic acid phản ứng với NaOH theo tỉ lệ mol 1:2
(d) Công thức phân tử salicylic acid là C7H5O3.
Câu 1 :
Xăng E5 chứa 5% thể tích ethanol hiện đang được sử dụng phổ biến ở nước ta để thay thế một phần xăng thông thường. Một người đi xe máy mua 2 L xăng E5 để đổ vào bình chứa nhiên liệu. Thể tích ethanol (mL) có trong lượng xăng trên là bao nhiêu?
Câu 2 :
Cho 12 g acetic acid phản ứng với 12 g ethanol (có H2SO4 đặc làm xúc tác) thu được 8 g ester. Tính hiệu suất phản ứng ester hoá.
Câu 3 :
Hợp chất hữu cơ X có công thức phân tủ là \({{\rm{C}}_8}{{\rm{H}}_{10}}{\rm{O}}\), chứa vòng benzene. X có phản ứng với \({\rm{Na}}\) nhưng không phản ứng với \({\rm{NaOH}}\). Đun nóng X với \({{\rm{H}}_2}{\rm{S}}{{\rm{O}}_4}\) đặc, thu được hợp chất Y làm mất màu nước bromine. Oxi hoá X, thu được ketone Z. Xác định cấu tạo của X, Y, Z và viết các phương trình hoá học.
Lời giải và đáp án
Câu 1 :
Trong phản ứng của alkane với chlorine, khả năng phản ứng thế của H liên kết với carbon bậc III gấp 7 lần khả năng thế của H liên kết với carbon bậc I. Khi cho clo tác dụng với 2,3-dimethylbutane thu được hỗn hợp X gồm hai dẫn xuất monochloro. Thành phần % theo số mol của 2-chloro-2,3-dimethylbutane trong X là
-
A.
60,00%.
-
B.
40,00%.
-
C.
53,85%.
-
D.
46,15%.
Đáp án : C
Dựa vào khả năng phản ứng thế của H liên kết với carbon bậc III gấp 7 lần khả năng thế của H liên kết với carbon bậc I.
2,3 – dimethybutane là (CH3)2CH – CH(CH3)2 có 2H bậc 3 và 12H bậc 1
=> Tỉ lệ mol dẫn xuất 1 – chloro : 2- chloro = 12.1 : 2.7 = 6:7
=> %2-chloro – 2,3 – dimethylbutane = \(\frac{7}{{6 + 7}}.100 = 53,85\% \)
Đáp án C
Câu 2 :
Bước 1: Lấy khoảng 2 mL bromoethane cho vào ống nghiệm, thêm tiếp khoảng 3 mL nước cất và lắc mạnh. Để ổn định, sau đó tách bỏ lớp chất lỏng phần trên. Lặp lại 2 lần, kiểm tra chất phần lỏng ở trên bằng dung dịch AgNO3 đến khi không còn vết vẩn đục.
Bước 2: Thêm tiếp khoảng 1 mL dung dịch NaOH, đun nóng nhẹ và lắc đều ống nghiệm trong khoảng 2 phút.
Bước 3: Để nguội hỗn hợp, acid hóa dung dịch sau phản ứng bằng vài giọt HNO3.
Bước 4: Nhỏ vài giọt dung dịch AgNO3 vào ống nghiệm.
Cho các phát biểu sau:
(1) Ở bước 2, có thể thay dung dịch NaOH bằng dung dịch KOH.
(2) Ở bước 1, lớp chất lỏng ở trên gồm nước và ion Br- và lớp chất lỏng ở dưới là bromoethane
(3) Ở bước 3, mục đích thêm dung dịch HNO3 vào để trung hòa lượng NaOH còn dư.
(4) Ở bước 1, dung dịch AgNO3 thêm vào để kiểm tra nước còn ion Br- hay không.
(5) Ở bước 4, kết tủa thu dược có màu trắng.
Số phát biểu đúng là
-
A.
6
-
B.
5
-
C.
3
-
D.
4
Đáp án : D
Dựa vào tính chất của dẫn xuất halogen
(1) đúng
(2) đúng
(3) đúng
(4) đúng
(5) sai, kết tủa thu được có màu vàng AgBr
Đáp án D
Câu 3 :
Trên nhãn chai chứa benzene có một số biểu tượng sau :

Biểu tượng (1) và (2) ở trên lần lượt cho biết cần chú ý gì khi sử dụng benzene?
-
A.
Chất khó cháy, chất có lợi cho sức khỏe.
-
B.
Chất dễ cháy, chất gây nguy hiểm cho sức khỏe.
-
C.
Chất dễ cháy, chất có lợi cho sức khỏe.
-
D.
Chất gây nguy hiểm cho sức khỏe, chất dễ cháy.
Đáp án : B
Dựa vào các biểu tượng
Biểu tượng (1) chất dễ cháy
Biểu tượng (2) chất gây nguy hiểm cho sức khỏe
Đáp án B
Câu 4 :
Cho alcohol có công thức cấu tạo sau:
Tên theo danh pháp thay thế của alcohol đó là
-
A.
4-methylpentan-1-ol
-
B.
2-methylbutan-3-ol
-
C.
3-methylbutan-2-ol
-
D.
1,1-dimethylpropan-3-ol
Đáp án : B
Dựa vào quy tắc đọc tên của alcohol
Câu 5 :
Sản phẩm chính của phản ứng nào sau đây không đúng?
-
A.
CH3CH(Cl)CH3 + NaOH → CH3CH(OH)CH3 + NaCl
-
B.
CH3CH2Cl + KOH → CH2 = CH2 + KCl + H2O
-
C.
CH3Br + KOH → CH3OH + KBr
-
D.

Đáp án : B
Dựa vào tính chất của dẫn xuất halogen
B sai, sản phẩm tạo ra là CH3 – CH2OH
Đáp án B
Câu 6 :
Cho sơ đồ phản ứng hóa học sau:
Sản phẩm chính theo quy tắc Zaitsev của phản ứng trên là
-
A.
but-1-ene.
-
B.
but-2-ene.
-
C.
but-1-yne
-
D.
but-2-yne
Đáp án : B
Dựa vào quy tắc Zaitsev

Câu 7 :
Alcohol bị oxi hoá bởi CuO, t° tạo thành ketone là
-
A.
CH3CH(OH)CH3.
-
B.
CH3CH2CH2OH.
-
C.
CH3CH2CH2OH.
-
D.
CH3CH2CH2OH.
Đáp án : A
Alcohol bậc II bị oxi hóa bởi CuO,t tạo thành ketone
CH3CH(OH)CH3 bị oxi hóa bởi CuO, t tạo thành CH3 – CO – CH3
Đáp án A
Câu 8 :
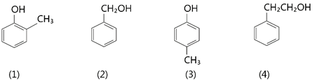
Trong các hợp chất sau:

Phát biểu nào sau đây không đúng?
-
A.
(1), (3) là alcohol thơm.
-
B.
(1), (2), (3) đều có công thức phân tử là C7H8O.
-
C.
(2), (4) là alcohol thơm.
-
D.
(2), (4) là alcohol thơm.
Đáp án : A
Hợp chất alcohol thơm có chứa vòng benzene
(1), (3) là alcohol thơm
Đáp án A
Câu 9 :
Nguyên nhân phản ứng thế bromine vào vòng thơm của phenol xảy ra dễ dàng hơn so với benzene là do
-
A.
phenol tan một phần trong nước.
-
B.
phenol có tính acid yếu.
-
C.
ảnh hưởng của nhóm –OH đến vòng benzene trong phân tử phenol.
-
D.
ảnh hưởng của vòng benzene đến nhóm –OH trong phân tử phenol.
Đáp án : C
Nguyên nhân phản ứng thế bromine vào vòng thơm của phenol xảy ra dễ dàng hơn so với benzene là do ảnh hưởng của nhóm –OH đến vòng benzene trong phân tử phenol.
Đáp án C
Câu 10 :
Phản ứng CH3-CH=O + HCN\( \to \) CH3CH(OH)CN thuộc loại phản ứng nào sau đây?
-
A.
Phản ứng thế.
-
B.
Phản ứng cộng.
-
C.
Phản ứng tách.
-
D.
Phản ứng oxi hóa – khử.
Đáp án : B
Dựa vào sản phẩm của phản ứng
Phản ứng trên thuộc phản ứng cộng
Đáp án B
Câu 11 :
Cho phản ứng sau:
Sản phẩm phản ứng là chất nào sau đây?
-
A.
2-metylbutan-3-ol.
-
B.
3-metylbutan-2-ol.
-
C.
1,1-dimethylpropan-2-ol
-
D.
3,3-dimethylpropan-2-ol
Đáp án : B
Khử ketone tạo ra alcohol bậc II

Câu 12 :
Propanoic acid có công thức cấu tạo là
-
A.
CH3CH2OH
-
B.
CH3COOH
-
C.
CH3CH2COOH
-
D.
CH3CH2CH2COOH
Đáp án : C
Propanoic acid có công thức cấu tạo CH3CH2COOH
Đáp án C
Câu 13 :
Đun nóng carboxylic acid với alcohol khi có mặt xúc tác H2SO4 đặc, nóng tạo ra sản phẩm nào sau đây?
-
A.
muối.
-
B.
aldehyde.
-
C.
ester.
-
D.
alkane.
Đáp án : C
Dựa vào tính chất hóa học của carboxylic acid
Đun nóng carboxylic acid với alcohol khi có mặt xúc tác H2SO4 đặc, nóng tạo ra ester
Đáp án C
Câu 14 :
Dung dịch acetic acid phản ứng được với tất cả các chất trong dãy nào sau đây?
-
A.
Cu, NaOH, NaCl
-
B.
Zn, CuO, NaCl
-
C.
Zn, CuO, HCl
-
D.
Zn, NaOH, CaCO3
Đáp án : D
Dựa vào tính chất hóa học của carboxylic acid
Dung dịch acetic acid phản ứng được với Zn, NaOH, CaCO3
Đáp án D
Trên chai nước bằng nhựa có in kí hiệu như hình bên là chai nước được làm bằng nhựa polyethylene (PE). Nhựa LDPE có mật độ thấp hơn, dẻo hơn, mềm hơn, linh hoạt hơn, có nhiệt độ nóng chảy thấp hơn và thường được dùng để chế tạo các vật liệu yêu cầu về độ mềm dẻo. Nhựa HDPE có mật độ cao hơn, cứng hơn, có nhiệt độ nóng chảy cao hơn và thường được dùng để chế tạo các vật liệu yêu cầu về độ chống chịu tốt hơn. Cả 2 đều được tạo ra từ monome là ethene ở 2 điều kiện khác nhau.

(a) Cả hai loại nhựa trên đều được tạo ra bằng phản ứng trùng hợp ethene.
(b) ethene là chất khí, tan nhiều trong nước ở điều kiện thường.
(c) ethene tham gia phản ứng cộng hydrogen tạo ra 1 sản phẩm duy nhất.
(d) ethene làm mất màu dung dịch Br2 ngay ở nhiệt độ thường.
(a) Cả hai loại nhựa trên đều được tạo ra bằng phản ứng trùng hợp ethene.
(b) ethene là chất khí, tan nhiều trong nước ở điều kiện thường.
(c) ethene tham gia phản ứng cộng hydrogen tạo ra 1 sản phẩm duy nhất.
(d) ethene làm mất màu dung dịch Br2 ngay ở nhiệt độ thường.
(a) đúng, vì ethene có liên kết đôi tham gia phản ứng trùng hợp.
(b) sai, ethene không tan trong nước ở điều kiện thường
(c) đúng, ethene phản ứng cộng hydrogen tạo ra ethane
(d) đúng, vì ethene có liên kết đôi tham gia phản ứng cộng Br2
Cho công thức của phenol:

(a) Nhóm –OH và gốc phenyl trong phân tử phenol có ảnh hưởng qua lại lẫn nhau.
(b) Do nhóm phenyl hút electron, làm tăng sự phân cực của nhóm –OH nên phenol phản ứng được với dung dịch sodium hydroxide.
(c) Do nhóm –OH làm giảm khả năng phản ứng thế nguyên tử hydrogen trên vòng benzene của phenol hơn so với benzene.
(d) Do nhóm –OH làm tăng khả năng phản ứng thế nguyên tử hydrogen trên vòng benzene hơn nên ưu tiên thế nguyên tử hydrogen ở vị trí meta (-m) của phenol.
(a) Nhóm –OH và gốc phenyl trong phân tử phenol có ảnh hưởng qua lại lẫn nhau.
(b) Do nhóm phenyl hút electron, làm tăng sự phân cực của nhóm –OH nên phenol phản ứng được với dung dịch sodium hydroxide.
(c) Do nhóm –OH làm giảm khả năng phản ứng thế nguyên tử hydrogen trên vòng benzene của phenol hơn so với benzene.
(d) Do nhóm –OH làm tăng khả năng phản ứng thế nguyên tử hydrogen trên vòng benzene hơn nên ưu tiên thế nguyên tử hydrogen ở vị trí meta (-m) của phenol.
(a) đúng
(b) đúng
(c) sai, phenol tham gia phản ứng thế dễ hơn benzene
(d) sai, phản ứng thế của phenol ưu tiên ở vị trí o, p
Salicylic acid có công thức cấu tạo sau:
làm nguyên liệu để tổng hợp methyl salicylate được dùng làm cao dán giảm đau, kháng viêm ngoài ra.
(a) Phản ứng tổng hợp methyl salicylate thuộc phản ứng ester hóa.
(b) Phương trình điều chế methyl salicylate:

(c) Salicylic acid phản ứng với NaOH theo tỉ lệ mol 1:2
(d) Công thức phân tử salicylic acid là C7H5O3.
(a) Phản ứng tổng hợp methyl salicylate thuộc phản ứng ester hóa.
(b) Phương trình điều chế methyl salicylate:

(c) Salicylic acid phản ứng với NaOH theo tỉ lệ mol 1:2
(d) Công thức phân tử salicylic acid là C7H5O3.
(a) đúng
(b) sai, phản ứng methyl salicylate:
(c) đúng, vì salicylic acid có nhóm – OH phenol và – COOH đều phản ứng với NaOH
(d) sai, công thức phân tử C7H6O3
Câu 1 :
Xăng E5 chứa 5% thể tích ethanol hiện đang được sử dụng phổ biến ở nước ta để thay thế một phần xăng thông thường. Một người đi xe máy mua 2 L xăng E5 để đổ vào bình chứa nhiên liệu. Thể tích ethanol (mL) có trong lượng xăng trên là bao nhiêu?
Thể tích ethanol có trong lượng xăng là: 2.103.5% = 100ml
Câu 2 :
Cho 12 g acetic acid phản ứng với 12 g ethanol (có H2SO4 đặc làm xúc tác) thu được 8 g ester. Tính hiệu suất phản ứng ester hoá.
n CH3COOH = 12:60 = 0,2 mol; n C2H5OH = 12 : 46 = 0,26 mol
n CH3COOC2H5 = 8 : 88 = 0,09 mol
H% = \(\frac{{0,09}}{{0,2}}.100\% = 45,45\% \)
Câu 3 :
Hợp chất hữu cơ X có công thức phân tủ là \({{\rm{C}}_8}{{\rm{H}}_{10}}{\rm{O}}\), chứa vòng benzene. X có phản ứng với \({\rm{Na}}\) nhưng không phản ứng với \({\rm{NaOH}}\). Đun nóng X với \({{\rm{H}}_2}{\rm{S}}{{\rm{O}}_4}\) đặc, thu được hợp chất Y làm mất màu nước bromine. Oxi hoá X, thu được ketone Z. Xác định cấu tạo của X, Y, Z và viết các phương trình hoá học.
X có phản ứng với \({\rm{Na}}\) nhưng không phản ứng với NaOH \( \Rightarrow \) X là alcohol thơm
Oxi hoá X, thu được ketone Z \( \Rightarrow \)X là alcohol bậc II
Đun nóng X với \({{\rm{H}}_2}{\rm{S}}{{\rm{O}}_4}\) đặc, thu được hợp chất Y làm mất màu nước bromine \( \Rightarrow \)Y là alkene
Công thức cấu tạo của X, Y, Z là:

Đề thi học kì 2 Hóa 11 Chân trời sáng tạo - Đề số 3
Hydrocarbon không no
Xem chi tiết
Đề thi học kì 2 Hóa 11 Chân trời sáng tạo - Đề số 4
Chất nào sau đây là đồng phân
Xem chi tiết
Đề thi học kì 2 Hóa 11 Chân trời sáng tạo - Đề số 5
Câu 1: Hàn xì là một trong những công nghệ
Xem chi tiết
Đề thi học kì 2 Hóa 11 Chân trời sáng tạo - Đề số 6
I. Trắc nghiệm
Xem chi tiết
Đề thi học kì 2 Hóa 11 Chân trời sáng tạo - Đề số 7
Phần I. Trắc nghiệm
Xem chi tiết
Đề thi học kì 2 Hóa 11 Chân trời sáng tạo - Đề số 8
Phần I. Trắc nghiệm
Xem chi tiết
Đề thi học kì 2 Hóa 11 Chân trời sáng tạo - Đề số 1
Đồ uống có cồn là loại đồ uống
Xem chi tiết
Đề cương ôn tập học kì 2 Hóa 11 - Chân trời sáng tạo
Khái niệm, ứng dụng
Xem chi tiết
>> 2K9 Học trực tuyến - Định hướng luyện thi TN THPT, ĐGNL, ĐGTD ngay từ lớp 11 (Xem ngay) cùng thầy cô giáo giỏi trên Tuyensinh247.com. Bứt phá điểm 9,10 chỉ sau 3 tháng, tiếp cận sớm các kì thi.
![]() |
![]() |
![]() |
![]() |
![]() |
![]() |
![]() |
![]() |







