Tải về
Tổng hợp đề thi học kì 1 lớp 11 tất cả các môn - Kết nối tri thức
Toán - Văn - Anh - Lí - Hóa - Sinh
Phần I. Trắc nghiệm
Đề bài
Câu 1 :
Hợp chất X có khối lượng phân tử là 56 amu có công thức thực nghiệm là CH2. Công thức phân tử của X là
-
A.
C2H2.
-
B.
C2H4.
-
C.
C4H8.
-
D.
C4H10.
Câu 2 :
Biện pháp nào sau đây không làm giảm ô nhiễm môi trường gây ra do sử dụng nhiên liệu từ dầu mỏ?
-
A.
Đưa thêm hợp chất có chứa chì vào xăng để làm tăng chỉ số octane của xăng.
-
B.
Đưa thêm chất xúc tác vào ống xả động cơ để chuyển hoá các khí thải độc hại.
-
C.
Tăng cường sử dụng biogas.
-
D.
Tổ chức thu gom và xử lí dầu cặn.
Câu 3 :
Tại sao ở các cây xăng, kho chứa xăng dầu thường treo các biển cấm dưới đây?

-
A.
Các alkene khí là những chất dễ bắt lửa,dễ cháy
-
B.
Vì xăng sinh học có phản ứng oxi hóa khi tiếp xúc với tia lửa.
-
C.
Các alkane khí là những chất dễ bắt lửa,dễ cháy
-
D.
Các alkane lỏng là những chất dễ bắt lửa,dễ cháy và khi cháy tạo khí carbon dioxide, hơi nước và giải phóng năng lượng gây cháy nổ mạnh.
Câu 4 :
Dẫn xuất halogen nào sau đây có đồng phân hình học?
-
A.
\({\rm{C}}{{\rm{H}}_2} = {\rm{CHCl}}\).
-
B.
\({\rm{C}}{{\rm{H}}_2} = {\rm{CH}} - {\rm{C}}{{\rm{H}}_2}{\rm{Br}}\).
-
C.
\({\rm{C}}{{\rm{H}}_3}{\rm{CH}} = {\rm{CFC}}{{\rm{H}}_3}\).
-
D.
\({\left( {{\rm{C}}{{\rm{H}}_3}} \right)_2}{\rm{C}} = {\rm{CHI}}\).
Câu 5 :
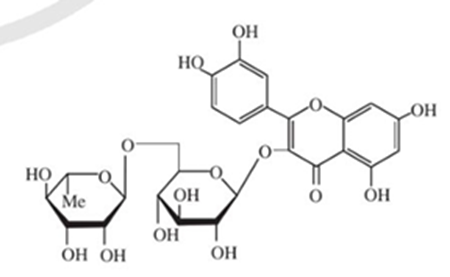
Rutin có nhiều trong hoa hoè. Rutin có tác dụng làm bền vững thành mạch, chống co thắt, chống phóng xạ tia X. Rutin có công thức phân tử C27H30O 16 và công thức cấu tạo như bên:

Phân tử rutin có bao nhiêu nhóm -OH alcohol và bao nhiêu nhóm -O H phenol?
-
A.
06 nhóm -OH alcohol và 4 nhóm -O H phenol
-
B.
10 nhóm -OH alcohol và 0 nhóm -O H phenol
-
C.
04 nhóm -OH alcohol và 6 nhóm -O H phenol
-
D.
06 nhóm -OH alcohol và 05 nhóm -O H phenol
Câu 6 :
Phenol là hợp chất hữu cơ mà:
-
A.
phân tử có chứa nhóm –OH và vòng benzene.
-
B.
phân tử có chứa nhóm –OH liên kết trực tiếp với nguyên tử C của vòng benzene.
-
C.
phân tử có chứa nhóm –NH2 liên kết trực tiếp với nguyên tử C của vòng benzene.
-
D.
phân tử có chứa nhóm –OH liên kết trực tiếp với nguyên tử C của vòng ở ngoài vòng benzene.
Câu 7 :
Từ muối C6H5ONa có thể tái tạo lại phenol bằng cách:
-
A.
cho tác dụng với dung dịch của Acid mạnh hơn.
-
B.
nung nóng
-
C.
hòa tan vào nước rồi đun sôi.
-
D.
cho tác dụng với dung dịch ethanol
Câu 8 :
Để loại bỏ lớp cặn màu trắng trong ấm đun nước, người ta có thể dùng dung dịch nào sau đây?
-
A.
Giấm ăn.
-
B.
Nước.
-
C.
Muối ăn.
-
D.
cồn 70°.
Câu 9 :
Phương pháp nào sau đây được dùng để sản xuất giấm ăn?
-
A.

-
B.

-
C.

-
D.

Câu 10 :
Có nhiều vụ tai nạn giao thông xảy ra do người lái xe sử dụng rượu, bia khi tham gia giao thông. Theo Nghị định 100/2019/NĐ-CP, người điều khiển giao thông không được có nồng độ cồn trong máu hoặc hơi thở. Để xác định hàm lượng rượu trong máu người lái xe, người ta sử dụng phương pháp chuẩn độ ethanol có trong mẫu huyết tương bằng K2Cr2O7, môi trường acid. Khi đó Cr bị khử thành Cr (đổi từ màu vàng cam sang xanh), C2H5OH bị oxi hoá thành chất nào sau đây?
-
A.
Xylen
-
B.
propanol
-
C.
aldehyde
-
D.
ester
Câu 11 :
Tổng Hệ số cân bằng của phản ứng acetaldehyde tạo iodoform là
-
A.
14
-
B.
18
-
C.
28
-
D.
16
Câu 12 :
Tỉ lệ hệ số cân bằng của a:b là
aHCHO + b[Ag(NH3)2]OH → c (NH4)2CO3 +d Ag + xNH3 + yH2O
-
A.
1:2
-
B.
1:4
-
C.
1:1
-
D.
1:6
Câu 13 :
CH3CH(CH3)CH2COOH có tên gọi là
-
A.
3-methylbutanoic acid
-
B.
2-methylpropanoic acid
-
C.
pentanoic acid
-
D.
2-methylpentanoic acid
Câu 14 :
Phenol (C6H5OH) tác dụng được với tất cả các chất trong dãy nào sau đây?
-
A.
K, KOH, Br2.
-
B.
Na, NaOH, HCl.
-
C.
NaOH, Mg, Br2.
-
D.
Na, NaOH, H2CO3.
Câu 15 :
Phản ứng của acetic acid với sodium carbonate
Chuẩn bị: Dung dịch CH3COOH 1 M, dung dịch Na2CO3 1M; ống nghiệm, diêm.
Tiến hành: Cho 1 – 2 mL dung dịch sodium carbonate 1 M vào ống nghiệm. Nhỏ tiếp vào ống nghiệm 1 – 2 mL dung dịch acetic acid 1 M. Đưa que diêm đang cháy vào miệng ống nghiệm.
Nêu hiện tượng quan sát được
-
A.
Có kết tủa trắng
-
B.
Có khí không màu thoát ra,que diêm đang cháy và tắt ngay sau đó
-
C.
Không có hiện tượng
-
D.
Có kết tủa vàng
Câu 16 :
Yếu tố nào sau đây không làm tăng hiệu suất phản ứng ester hoá giữa acetic acid và ethanol?
-
A.
Dùng dung dịch H2SO4 đặc làm xúc tác.
-
B.
Tăng nồng độ alcohol.
-
C.
Tăng nồng độ acetic acid .
-
D.
Lấy số mol alcohol và acid bằng nhau.
Cho các chất sau:

Phát biểu nào đúng, phát biểu nào sai
a. Số hydrocarbon thơm là 3
b. Các chất là đồng phân của nhau là (3) và (4)
c. (1) là alcohol thơm
d. Chất (1), (3), (5) đều tác dụng được với nước bromine
a. Dẫn xuất halogen trên có ứng dụng chống ung thư vòm họng.
b. Số liên kết pi (π) trong phân dẫn xuất halogen trên bằng 1.
c. Công thức phân tử của dẫn xuất halogen là C10H20Cl2Br2.
d. Dẫn xuất halogen trên có tên là trans 1,1-dichloro-4,6-dibromo-3,7-dimethylocta-1,6-diene.
Hợp chất X (gồm 3 nguyên tố C, H, O) chứa 60%C; 13,33%H về khối lượng. Biết phổ khối lượng và phổ hồng ngoại của phân tử X như hình sau:

Phát biểu nào sau đúng, phát biểu nào sai?
a. Hợp chất X chứa 26,67% O về khối lượng.
b. Trên phổ IR xuất hiện peak hấp thụ ở vùng 3300cm-1 nên X tác dụng với Na giải phóng khí H2.
c. Phân tử khối của X là 31 amu.
d. Phân tử X cấu tạo từ 12 nguyên tử và X không tác dụng với Cu(OH)2.
Câu 1 :
Lên men 5 lít dung dịch ethanol 9,2o với hiệu suất của quá trình lên men là 80%. Khối lượng acetic acid thu được bằng bao nhiêu gam? Biết khối lượng riêng của ethanol là 0,8 g/mL.
Câu 2 :
2,4,6-trinitrotoluene được dùng để sản xuất thuốc nổ TNT. Từ 1 tấn toluene có thể điều chế được bao nhiêu kg 2,4,6-trinitrotoluene, biết hiệu suất của phản ứng là 65%? (Làm tròn đến phần đơn vị)
Câu 3 :
Từ eugenol (trong tinh dầu hương nhu) điều chế được methyl eugenol là chất dẫn dụ côn trùng. Kết quả phân tích nguyên tố của methyl eugenol cho thấy: %C = 74,16%, %H = 7,86% còn lại là oxygen. Biết phổ khối lượng của methyl eugenol như hình dưới :

Có bao nhiêu nguyên tử carbon có trong 1 phân tử methyl eugenol?
Câu 4 :
Acetic acid được sử dụng rộng rãi để điều chế polymer, tổng hợp hương liệu,... Acetic acid được tổng họp từ nguồn khí than đá (giá thành rẻ) theo các phản ứng sau:
Giả sử hiệu suất của các phản ứng (1) và (2) đều đạt 90%. Để sản xuất 1000 lít acetic acid (D=1,05g/ mL), cần thể tích khí H2 (ở điều kiện chuẩn) là bao nhiêu m3 ( kết quả làm tròn đến hàng đơn vị)?
Câu 1 :
X là một hợp chất hữu cơ dùng để làm sạch dụng cụ trong phòng thí nghiệm, tẩy rửa sơn móng tay và là chất đầu của quá trình tổng hợp hữu cơ. Kết quả phân tích nguyên tố của X như sau 62,07% C, 27,59% O về khối lượng, còn lại là hydrogen. Phân tử khối của X được xác định thông qua phổ khối lượng với peak ion phân tử có giá trị m/z lớn nhất.
(a) Lập công thức phân tử của X.
(b) Biết rằng X có phản ứng tạo iodoform. Hãy viết công thức cấu tạo của X và viết viết phương trình hóa học xảy ra.
Câu 2 :
Xăng E5 chứa 5% thể tích ethanol hiện đang được sử dụng phổ biến ở nước ta để thay thế một phần xăng thông thường. Tính khối lượng (kg) củ sắn khô (chứa 30% tinh bột, còn lại là các chất không có khả năng lên men thành ethyl alcohol) có thể sản xuất được 100 lít xăng E5, biết hiệu suất chung của cả quá trình điều chế ethanol là 80% và khối lượng riêng của ethanol là 0,789g/ml. Khối lượng củ sắn khô cần dùng gần nhất là bao nhiêu?
Lời giải và đáp án
Câu 1 :
Hợp chất X có khối lượng phân tử là 56 amu có công thức thực nghiệm là CH2. Công thức phân tử của X là
-
A.
C2H2.
-
B.
C2H4.
-
C.
C4H8.
-
D.
C4H10.
Đáp án : C
Dựa vào phân tử khối của X và công thức đơn giản.
Công thức đơn giản là (CH2)n mà MX = 56 nên công thức phân tử của X là C4H8.
Đáp án C
Câu 2 :
Biện pháp nào sau đây không làm giảm ô nhiễm môi trường gây ra do sử dụng nhiên liệu từ dầu mỏ?
-
A.
Đưa thêm hợp chất có chứa chì vào xăng để làm tăng chỉ số octane của xăng.
-
B.
Đưa thêm chất xúc tác vào ống xả động cơ để chuyển hoá các khí thải độc hại.
-
C.
Tăng cường sử dụng biogas.
-
D.
Tổ chức thu gom và xử lí dầu cặn.
Đáp án : C
Dựa vào cách sử dụng nguồn nhiên liệu.
C sai, việc sử dụng biogas chủ yếu lấy từ quá trình ủ phân động vật.
Đáp án C
Câu 3 :
Tại sao ở các cây xăng, kho chứa xăng dầu thường treo các biển cấm dưới đây?

-
A.
Các alkene khí là những chất dễ bắt lửa,dễ cháy
-
B.
Vì xăng sinh học có phản ứng oxi hóa khi tiếp xúc với tia lửa.
-
C.
Các alkane khí là những chất dễ bắt lửa,dễ cháy
-
D.
Các alkane lỏng là những chất dễ bắt lửa,dễ cháy và khi cháy tạo khí carbon dioxide, hơi nước và giải phóng năng lượng gây cháy nổ mạnh.
Đáp án : D
Dựa vào tính chất của alkane.
Vì Các alkane lỏng là những chất dễ bắt lửa,dễ cháy và khi cháy tạo khí carbon dioxide, hơi nước và giải phóng năng lượng gây cháy nổ mạnh.
Câu 4 :
Dẫn xuất halogen nào sau đây có đồng phân hình học?
-
A.
\({\rm{C}}{{\rm{H}}_2} = {\rm{CHCl}}\).
-
B.
\({\rm{C}}{{\rm{H}}_2} = {\rm{CH}} - {\rm{C}}{{\rm{H}}_2}{\rm{Br}}\).
-
C.
\({\rm{C}}{{\rm{H}}_3}{\rm{CH}} = {\rm{CFC}}{{\rm{H}}_3}\).
-
D.
\({\left( {{\rm{C}}{{\rm{H}}_3}} \right)_2}{\rm{C}} = {\rm{CHI}}\).
Đáp án : C
Dựa vào dạng đồng phân hình học.
\({\rm{C}}{{\rm{H}}_3}{\rm{CH}} = {\rm{CFC}}{{\rm{H}}_3}\)có đồng phân hình học.
Đáp án C
Câu 5 :
Rutin có nhiều trong hoa hoè. Rutin có tác dụng làm bền vững thành mạch, chống co thắt, chống phóng xạ tia X. Rutin có công thức phân tử C27H30O 16 và công thức cấu tạo như bên:

Phân tử rutin có bao nhiêu nhóm -OH alcohol và bao nhiêu nhóm -O H phenol?
-
A.
06 nhóm -OH alcohol và 4 nhóm -O H phenol
-
B.
10 nhóm -OH alcohol và 0 nhóm -O H phenol
-
C.
04 nhóm -OH alcohol và 6 nhóm -O H phenol
-
D.
06 nhóm -OH alcohol và 05 nhóm -O H phenol
Đáp án : A
Dựa vào công thức của rutin.
Phân tử rutin có 6 nhóm – OH alcohol và có 4 nhóm -OH phenol.
Đáp án A
Câu 6 :
Phenol là hợp chất hữu cơ mà:
-
A.
phân tử có chứa nhóm –OH và vòng benzene.
-
B.
phân tử có chứa nhóm –OH liên kết trực tiếp với nguyên tử C của vòng benzene.
-
C.
phân tử có chứa nhóm –NH2 liên kết trực tiếp với nguyên tử C của vòng benzene.
-
D.
phân tử có chứa nhóm –OH liên kết trực tiếp với nguyên tử C của vòng ở ngoài vòng benzene.
Đáp án : B
Dựa vào khái niệm của phenol.
Phenol là hợp chất hữu cơ mà phân tử có chứa nhóm -OH liên kết trực tiếp với nguyên tử C của vòng benzene.
Đáp án B
Câu 7 :
Từ muối C6H5ONa có thể tái tạo lại phenol bằng cách:
-
A.
cho tác dụng với dung dịch của Acid mạnh hơn.
-
B.
nung nóng
-
C.
hòa tan vào nước rồi đun sôi.
-
D.
cho tác dụng với dung dịch ethanol
Đáp án : A
Dựa vào tính chất hoá học của phenol.
Từ muối C6H5ONa có thể tái tạo lại phenol bằng cách cho tác dụng với dung dịch của acid mạnh hơn như HCl.
Đáp án A
Câu 8 :
Để loại bỏ lớp cặn màu trắng trong ấm đun nước, người ta có thể dùng dung dịch nào sau đây?
-
A.
Giấm ăn.
-
B.
Nước.
-
C.
Muối ăn.
-
D.
cồn 70°.
Đáp án : A
Dựa vào tính chất hoá học của acid.
Có thể dùng giấm ăn để loại bỏ lớp cặn màu trắng trong ấm đun nước.
Đáp án A
Câu 9 :
Phương pháp nào sau đây được dùng để sản xuất giấm ăn?
-
A.

-
B.

-
C.

-
D.

Đáp án : D
Dựa vào điều chế acetic acid.

Câu 10 :
Có nhiều vụ tai nạn giao thông xảy ra do người lái xe sử dụng rượu, bia khi tham gia giao thông. Theo Nghị định 100/2019/NĐ-CP, người điều khiển giao thông không được có nồng độ cồn trong máu hoặc hơi thở. Để xác định hàm lượng rượu trong máu người lái xe, người ta sử dụng phương pháp chuẩn độ ethanol có trong mẫu huyết tương bằng K2Cr2O7, môi trường acid. Khi đó Cr bị khử thành Cr (đổi từ màu vàng cam sang xanh), C2H5OH bị oxi hoá thành chất nào sau đây?
-
A.
Xylen
-
B.
propanol
-
C.
aldehyde
-
D.
ester
Đáp án : C
Dựa vào tính chất hoá học của alcohol.
C2H5OH bị oxi hoá thành aldehyde.
Đáp án C
Câu 11 :
Tổng Hệ số cân bằng của phản ứng acetaldehyde tạo iodoform là
-
A.
14
-
B.
18
-
C.
28
-
D.
16
Đáp án : D
Dựa vào phản ứng acetaldehyde tạo iodoform.
CH3CO-H + 3I2 +4NaOH → H-COONa + 3NaI + CHI3 + 3H2O
Tổng hệ số là: 1 + 3 + 4 + 1 + 3 + 1 + 3 = 16
Đáp án D
Câu 12 :
Tỉ lệ hệ số cân bằng của a:b là
aHCHO + b[Ag(NH3)2]OH → c (NH4)2CO3 +d Ag + xNH3 + yH2O
-
A.
1:2
-
B.
1:4
-
C.
1:1
-
D.
1:6
Đáp án : B
Cân bằng phản ứng.
1HCHO + 4[Ag(NH3)2]OH → (NH4)2CO3 + 4Ag + 2NH3 + 2H2O
Đáp án B
Câu 13 :
CH3CH(CH3)CH2COOH có tên gọi là
-
A.
3-methylbutanoic acid
-
B.
2-methylpropanoic acid
-
C.
pentanoic acid
-
D.
2-methylpentanoic acid
Đáp án : A
Dựa vào danh pháp của carboxylic acid.
CH3CH(CH3)CH2COOH có tên gọi là: 3 – methylbutanoic acid.
Đáp án A
Câu 14 :
Phenol (C6H5OH) tác dụng được với tất cả các chất trong dãy nào sau đây?
-
A.
K, KOH, Br2.
-
B.
Na, NaOH, HCl.
-
C.
NaOH, Mg, Br2.
-
D.
Na, NaOH, H2CO3.
Đáp án : A
Dựa vào tính chất hoá học của phenol.
Phenol tác dụng với K, KOH, Br2.
Đáp án A
Câu 15 :
Phản ứng của acetic acid với sodium carbonate
Chuẩn bị: Dung dịch CH3COOH 1 M, dung dịch Na2CO3 1M; ống nghiệm, diêm.
Tiến hành: Cho 1 – 2 mL dung dịch sodium carbonate 1 M vào ống nghiệm. Nhỏ tiếp vào ống nghiệm 1 – 2 mL dung dịch acetic acid 1 M. Đưa que diêm đang cháy vào miệng ống nghiệm.
Nêu hiện tượng quan sát được
-
A.
Có kết tủa trắng
-
B.
Có khí không màu thoát ra,que diêm đang cháy và tắt ngay sau đó
-
C.
Không có hiện tượng
-
D.
Có kết tủa vàng
Đáp án : B
Dựa vào tính chất hoá học của carboxylic acid.
Acetic acid tác dụng với Na2CO3 tạo khí CO2 làm dập tắt que diêm đang cháy.
Đáp án B
Câu 16 :
Yếu tố nào sau đây không làm tăng hiệu suất phản ứng ester hoá giữa acetic acid và ethanol?
-
A.
Dùng dung dịch H2SO4 đặc làm xúc tác.
-
B.
Tăng nồng độ alcohol.
-
C.
Tăng nồng độ acetic acid .
-
D.
Lấy số mol alcohol và acid bằng nhau.
Đáp án : D
Dựa vào tính chất hoá học của acid.
Việc lấy số mol alcohol và acid bằng nhau không làm tăng hiệu suất phản ứng ester hoá.
Cho các chất sau:

Phát biểu nào đúng, phát biểu nào sai
a. Số hydrocarbon thơm là 3
b. Các chất là đồng phân của nhau là (3) và (4)
c. (1) là alcohol thơm
d. Chất (1), (3), (5) đều tác dụng được với nước bromine
a. Số hydrocarbon thơm là 3
b. Các chất là đồng phân của nhau là (3) và (4)
c. (1) là alcohol thơm
d. Chất (1), (3), (5) đều tác dụng được với nước bromine
Dựa vào cấu tạo của các chất.
a. đúng vì chất 3,4,5 là các hydrocarbon thơm.
b. sai, vì (3) và (4) khác công thức phân tử.
c. đúng
d. đúng
a. Dẫn xuất halogen trên có ứng dụng chống ung thư vòm họng.
b. Số liên kết pi (π) trong phân dẫn xuất halogen trên bằng 1.
c. Công thức phân tử của dẫn xuất halogen là C10H20Cl2Br2.
d. Dẫn xuất halogen trên có tên là trans 1,1-dichloro-4,6-dibromo-3,7-dimethylocta-1,6-diene.
a. Dẫn xuất halogen trên có ứng dụng chống ung thư vòm họng.
b. Số liên kết pi (π) trong phân dẫn xuất halogen trên bằng 1.
c. Công thức phân tử của dẫn xuất halogen là C10H20Cl2Br2.
d. Dẫn xuất halogen trên có tên là trans 1,1-dichloro-4,6-dibromo-3,7-dimethylocta-1,6-diene.
Dựa vào công thức của dẫn xuất trên.
a. đúng.
b. sai, số liên kết pi = 2.
c. sai. Công thức phân tử của dẫn xuất halogen là C10H14Cl2Br2.
d. đúng
Hợp chất X (gồm 3 nguyên tố C, H, O) chứa 60%C; 13,33%H về khối lượng. Biết phổ khối lượng và phổ hồng ngoại của phân tử X như hình sau:

Phát biểu nào sau đúng, phát biểu nào sai?
a. Hợp chất X chứa 26,67% O về khối lượng.
b. Trên phổ IR xuất hiện peak hấp thụ ở vùng 3300cm-1 nên X tác dụng với Na giải phóng khí H2.
c. Phân tử khối của X là 31 amu.
d. Phân tử X cấu tạo từ 12 nguyên tử và X không tác dụng với Cu(OH)2.
a. Hợp chất X chứa 26,67% O về khối lượng.
b. Trên phổ IR xuất hiện peak hấp thụ ở vùng 3300cm-1 nên X tác dụng với Na giải phóng khí H2.
c. Phân tử khối của X là 31 amu.
d. Phân tử X cấu tạo từ 12 nguyên tử và X không tác dụng với Cu(OH)2.
Dựa vào phổ MS và phổ IR để xác định chất X.
a. đúng %O về khối lượng = 100 – 60 – 13,33 = 26,67%
b. đúng, vì chất X có nhóm – OH
c. sai, phân tử khối của X là 60 amu.
d. đúng, phân tử X là C3H8O.
Câu 1 :
Lên men 5 lít dung dịch ethanol 9,2o với hiệu suất của quá trình lên men là 80%. Khối lượng acetic acid thu được bằng bao nhiêu gam? Biết khối lượng riêng của ethanol là 0,8 g/mL.
Dựa vào công thức m = D.V
Thể tích ethanol nguyên chất là: 5.9,2% = 0,46 lít
Khối lượng ethanol = 0,46.1000.0,8 = 368g
n C2H5OH = 368 : 46 = 8 mol
n CH3COOH = 8.80% = 6,4 mol
m CH3COOH = 6,4.60 = 384g
Câu 2 :
2,4,6-trinitrotoluene được dùng để sản xuất thuốc nổ TNT. Từ 1 tấn toluene có thể điều chế được bao nhiêu kg 2,4,6-trinitrotoluene, biết hiệu suất của phản ứng là 65%? (Làm tròn đến phần đơn vị)
Tính số mol toluen từ đó tính số mol 2,4,6 – trinitrotolunene.
n C7H8 = \(\frac{1}{{92}}\)tấn mol => n 2,4,6 – trinitrotoluene = \(\frac{1}{{92}}.65\% \)tấn mol
m 2,4,6 - trinitrotoluene = \(\frac{1}{{92}}.65\% \).227.103 = 1604 kg
Câu 3 :
Từ eugenol (trong tinh dầu hương nhu) điều chế được methyl eugenol là chất dẫn dụ côn trùng. Kết quả phân tích nguyên tố của methyl eugenol cho thấy: %C = 74,16%, %H = 7,86% còn lại là oxygen. Biết phổ khối lượng của methyl eugenol như hình dưới :

Có bao nhiêu nguyên tử carbon có trong 1 phân tử methyl eugenol?
Dựa vào phổ khối để xác định M của eugenol.
M methyl eugenol = 178 amu => số nguyên tử carbon trong 1 phân tử methyl eugenol = \(\frac{{178.74,16\% }}{{12}} = 11\)
Câu 4 :
Acetic acid được sử dụng rộng rãi để điều chế polymer, tổng hợp hương liệu,... Acetic acid được tổng họp từ nguồn khí than đá (giá thành rẻ) theo các phản ứng sau:
Giả sử hiệu suất của các phản ứng (1) và (2) đều đạt 90%. Để sản xuất 1000 lít acetic acid (D=1,05g/ mL), cần thể tích khí H2 (ở điều kiện chuẩn) là bao nhiêu m3 ( kết quả làm tròn đến hàng đơn vị)?
Dựa vào phản ứng điều chế acetic acid.
m CH3COOH = 1000.1,05 = 1050 Kg.
n CH3COOH = 1050 : 60 = 17,5 mol
n H2 cần dùng = 17,5 .2 : 90% mol
V H2 = 17,5.2 : 90% . 24,79 = 964 m3
Câu 1 :
X là một hợp chất hữu cơ dùng để làm sạch dụng cụ trong phòng thí nghiệm, tẩy rửa sơn móng tay và là chất đầu của quá trình tổng hợp hữu cơ. Kết quả phân tích nguyên tố của X như sau 62,07% C, 27,59% O về khối lượng, còn lại là hydrogen. Phân tử khối của X được xác định thông qua phổ khối lượng với peak ion phân tử có giá trị m/z lớn nhất.
(a) Lập công thức phân tử của X.
(b) Biết rằng X có phản ứng tạo iodoform. Hãy viết công thức cấu tạo của X và viết viết phương trình hóa học xảy ra.
(a) Gọi công thức tổng quát của X là CxHyOz
Dựa vào phổ khối lượng nguyên tử, có MX = 58
%mH = 100 – 62,07 – 27,59 = 10,34 %.
Ta có: \(x:y:z = \frac{{62,07}}{{12}}:\frac{{10,34}}{1}:\frac{{27,59}}{{16}} = 5,17:10,34:1,72 = 3:6:1\) → CTĐGN của X là C3H6O
CTPT của X có dạng: (C3H6O)n → Mx = 58n = 58 → n = 1 → CTPT của X là C3H6O
(b) Vì X có phản ứng tạo iodoform X chứa CH3CO- → X: CH3COCH3
PTHH: CH3COCH3 + 3I2 + 4NaOH → CH3COONa + CHI3↓ + 3NaI + 3H2O
Câu 2 :
Xăng E5 chứa 5% thể tích ethanol hiện đang được sử dụng phổ biến ở nước ta để thay thế một phần xăng thông thường. Tính khối lượng (kg) củ sắn khô (chứa 30% tinh bột, còn lại là các chất không có khả năng lên men thành ethyl alcohol) có thể sản xuất được 100 lít xăng E5, biết hiệu suất chung của cả quá trình điều chế ethanol là 80% và khối lượng riêng của ethanol là 0,789g/ml. Khối lượng củ sắn khô cần dùng gần nhất là bao nhiêu?
Dựa vào phương pháp điều chế alcohol.
Thể tích ethanol có trong xăng E5 là: 100.5% = 5 lít
Khối lượng ethanol là: 5.0,789.1000 = 3945g
n ethanol = 3945 : 46 mol
(C6H10O5)n → 2C2H5OH
162n → 92
← 3945g
m tinh bột = \(\frac{{3945}}{{46}}:2:80\% .162 = 8683,3g\)
m củ sắn cần dùng = 8683,3:30% = 28944,3g = 28,94kg
Đề thi học kì 2 Hóa 11 Kết nối tri thức - Đề số 8
Phần I. Trắc nghiệm
Xem chi tiết
Đề thi học kì 2 Hóa 11 Kết nối tri thức - Đề số 6
I. Trắc nghiệm
Xem chi tiết
Đề thi học kì 2 Hóa 11 Kết nối tri thức - Đề số 5
Hydrocarbon X có công thức cấu tạo:
Xem chi tiết
Đề thi học kì 2 Hóa 11 Kết nối tri thức - Đề số 4
Cho X, Y, Z, T là các chất khác nhau trong số 4 chất:
Xem chi tiết
Đề thi học kì 2 Hóa 11 Kết nối tri thức - Đề số 3
Cho phản ứng: HC≡CH + H2O
Xem chi tiết
Đề thi học kì 2 Hóa 11 Kết nối tri thức - Đề số 2
Công thức của cumene (isopropylbenzene) là
Xem chi tiết
Đề thi học kì 2 Hóa 11 Kết nối tri thức - Đề số 1
Cho phản ứng cracking sau:
Xem chi tiết
Đề cương ôn tập học kì 2 Hóa 11
Chủ đề 4: Hydrocarbon
Khái niệm, đồng phân, danh pháp,
Xem chi tiết
>> 2K9 Học trực tuyến - Định hướng luyện thi TN THPT, ĐGNL, ĐGTD ngay từ lớp 11 (Xem ngay) cùng thầy cô giáo giỏi trên Tuyensinh247.com. Bứt phá điểm 9,10 chỉ sau 3 tháng, tiếp cận sớm các kì thi.
![]() |
![]() |
![]() |
![]() |
![]() |
![]() |
![]() |
![]() |







