Tải về
Tổng hợp đề thi học kì 1 lớp 11 tất cả các môn - Cánh diều
Toán - Văn - Anh - Lí - Hóa - Sinh
Đề thi học kì 2 Vật lí 11 Cánh diều - Đề số 4
Đề bài
Câu 1 :
Chiều dòng điện được quy ước là chiều dịch chuyển có hướng của
-
A.
electron.
-
B.
neutron.
-
C.
điện tích âm.
-
D.
điện tích dương.
Câu 2 :
Xét dòng điện có cường độ 2 A chạy trong một dây dẫn. Điện lượng chuyển qua tiết diện thẳng của dây dẫn trong 5 s có độ lớn
-
A.
0,4 C
-
B.
2,5 C
-
C.
10 C
-
D.
7,0 C
Câu 3 :
Công thức của định luật Culông là
-
A.
-
B.
-
C.
-
D.
Câu 4 :
Đồ thị diễn lực tương tác Culông giữa hai điện tích quan hệ với bình phương khoảng cách giữa hai điện tích là đường:
-
A.
hypebol.
-
B.
thẳng bậc nhất.
-
C.
parabol.
-
D.
elíp
Câu 5 :
Đặt hiệu điện thế 12 V vào hai đầu đoạn mạch. Năng lượng điện mà đoạn mạch đã tiêu thụ khi có điện lượng 150 C chuyển qua mạch bằng
-
A.
1800 J.
-
B.
12,5 J.
-
C.
170 J.
-
D.
138 J.
Câu 6 :
Đặt một hiệu điện thế không đổi vào hai đầu một biến trở R. Điều chỉnh giá trị R và đo công suất toả nhiệt P trên biến trở. Chọn phát biểu đúng.
-
A.
P tỉ lệ với R.
-
B.
P tỉ lệ với R2.
-
C.
P tỉ lệ nghịch với R.
-
D.
P tỉ lệ nghịch với R2.
Câu 7 :
Điện trường là:
-
A.
môi trường không khí quanh điện tích.
-
B.
môi trường chứa các điện tích.
-
C.
môi trường bao quanh điện tích, gắn với điện tích và tác dụng lực điện lên các điện tích khác đặt trong nó.
-
D.
môi trường dẫn điện.
Câu 8 :
Cường độ điện trường tại một điểm đặc trưng cho
-
A.
thể tích vùng có điện trường là lớn hay nhỏ.
-
B.
điện trường tại điểm đó về phương diện dự trữ năng lượng.
-
C.
tác dụng lực của điện trường lên điện tích tại điểm đó.
-
D.
tốc độ dịch chuyển điện tích tại điểm đó.
Câu 9 :
Hiệu điện thế giữa hai điểm M, N là UMN = 40 V. Chọn câu chắc chắn đúng:
-
A.
Điện thế ở M là 40 V
-
B.
Điện thế ở N bằng 0
-
C.
Điện thế ở M có giá trị dương, ở N có giá trị âm
-
D.
Điện thế ở M cao hơn điện thế ở N 40 V
Câu 10 :
Thả một ion dương cho chuyển động không vận tốc đầu từ một điểm bất kì trong một điện trường do hai điện tích điểm dương gây ra. Ion đó sẽ chuyển động
-
A.
dọc theo một đường sức điện.
-
B.
dọc theo một đường nối hai điện tích điểm.
-
C.
từ điểm có điện thế cao đến điểm có điện thế thấp.
-
D.
từ điểm có điện thế thấp đến điểm có điện thế cao.
Câu 11 :
Hiệu điện thế giữa hai cực của một nguồn điện có độ lớn
-
A.
luôn bằng suất điện động của nguồn điện khi không có dòng điện chạy qua nguồn.
-
B.
luôn lớn hơn suất điện động của nguồn điện khi không có dòng điện chạy qua nguồn.
-
C.
luôn nhỏ hơn suất điện động của nguồn điện khi không có dòng điện chạy qua nguồn.
-
D.
luôn khác không.
Câu 12 :
Hai pin ghép nối tiếp với nhau thành bộ thì
-
A.
suất điện động của bộ pin luôn nhỏ hơn suất điện động mỗi pin.
-
B.
suất điện động của bộ pin luôn bằng suât điện động của mỗi pin.
-
C.
điện trở trong của bộ pin luôn nhỏ hơn điện trở trong của mỗi pin.
-
D.
điện trở trong của bộ pin luôn lớn hơn điện trở trong của mỗi pin.
Câu 13 :
Nếu điện tích dịch chuyển trong điện trường sao cho thế năng của nó tăng thì công của của lực điện trường
-
A.
âm.
-
B.
dương.
-
C.
bằng không.
-
D.
chưa đủ dữ kiện để xác định.
Câu 14 :
Nếu chiều dài đường đi của điện tích trong điện trường tăng 2 lần thì công của lực điện trường
-
A.
tăng 2 lần.
-
B.
giảm 2 lần.
-
C.
không thay đổi.
-
D.
chưa đủ dữ kiện để xác định.
Câu 15 :
Điện thế là đại lượng đặc trưng cho riêng điện trường về
-
A.
phương diện tạo ra thế năng khi đặt tại đó một điện tích q.
-
B.
khả năng sinh công của vùng không gian có điện trường.
-
C.
khả năng sinh công tại một điểm.
-
D.
khả năng tác dụng lực tại tất cả các điểm trong không gian có điện trường.
Câu 16 :
Điện thế là đại lượng:
-
A.
là đại lượng đại số.
-
B.
là đại lượng vecto.
-
C.
luôn luôn dương.
-
D.
luôn luôn âm.
Câu 17 :
Fara là điện dung của một tụ điện mà
-
A.
giữa hai bản tụ có hiệu điện thế 1V thì nó tích được điện tích 1 C.
-
B.
giữa hai bản tụ có một hiệu điện thế không đổi thì nó được tích điện 1 C.
-
C.
giữa hai bản tụ có điện môi với hằng số điện môi bằng 1.
-
D.
khoảng cách giữa hai bản tụ là 1 mm.
Câu 18 :
Cặp số liệu ghi trên vỏ tụ điện cho biết điều gì?
-
A.
Giá trị nhỏ nhất của điện dung và hiệu điện thế đặt vào hai cực của tụ.
-
B.
Phân biệt được tên của các loại tụ điện.
-
C.
Điện dung của tụ và giới hạn của hiệu điện thế đặt vào hai cực của tụ.
-
D.
Năng lượng của điện trường trong tụ điện.
Mắc hai đầu một biến trở vào hai cực của một nguồn điện có suất điện động E. Điều chỉnh biến trở và đo độ lớn hiệu điện thế giữa hai cực nguồn điện U.
a) Tỉ số \(\frac{U}{{\rm{E}}}\) càng lớn nếu giá trị biến trở càng lớn.
b) Tỉ số \(\frac{U}{{\rm{E}}}\)càng lớn nếu giá trị biến trở càng nhỏ.
c) Hiệu (E−U)không đổi khi giá trị biến trở thay đổi.
d) Tổng (E+U)không đổi khi giá trị biến trở thay đổi.
Có 3 điện trở giống nhau được ghép thành bộ theo tât cả các cách và hai đầu bộ điện trở được đặt vào một hiệu điện thế không đổi. Đo cường độ dòng điện chạy qua mạch chính của bộ điện trở, kết quả cho thấy trường hợp cường độ dòng điện có giá trị nhỏ nhất là 0,3 A.
a) Với 3 điện trở giống nhau bằng R thì có tất cả 3 cách ghép khác nhau. Do đó, có 3 giá trị khác nhau của cường độ dòng điện.
b) Trường hợp cường độ dòng điện nhỏ nhất ứng với điện trở của bộ lớn nhất: \({I_{{\rm{min}}}} = 0,5{\rm{A}}\)
c) Trường hợp cường độ dòng điện lớn nhất ứng với điện trở của bộ nhỏ nhất: \({I_{{\rm{max}}}} = 1,5{\rm{\;A}}\)
d) Trường hợp còn lại: \(I = 0,6{\rm{\;A}}\)
Mắc hai đầu một biến trở R vào hai cực của một nguồn điện không đổi. Điều chỉnh giá trị biến trở R. Bỏ qua điện trở của các dây nối. Đồ thị biểu diễn sự phụ thuộc của công suất toả nhiệt trên biến trở P theo R như Hình 19.4.

a) Công suất toả nhiệt trên biến trở: \({\rm{P}} = \frac{{{{\rm{E}}^2}}}{{R + 2r + \frac{{{r^2}}}{R}}}\)
b) Giá trị cực đại của P: \({{\rm{P}}_{{\rm{max}}}} = \frac{{{{\rm{E}}^2}}}{{4r}}\)
c) Suất điện động của nguồn điện là \({\rm{E}} = 12\;V\)
d) Khoảng thời gian giữa hai lần liên tiếp công suất Pđạt giá trị 5 W là \({\rm{\Delta }}t = 60{\rm{\;s}}\)
Một tụ điện A có điện dung 0,6μF được gắn vào hai đầu một nguồn điện không đổi có hiệu điện thế 50 V. Sau đó, tụ được ngắt tụ ra khỏi nguồn và ghép song song với với một tụ điện B có điện dung 0,4μF chưa tích điện. Trong quá trình nối có một tia lửa điện nhỏ được phát ra.
a) Năng lượng của tụ điện A trước khi được nối là: \(W = 7,{5.10^{ - 4}}{\rm{\;J}}\)
b) Theo định luật bảo toàn điện tích, ta có: \(U' = 30{\rm{\;V}}\)
c) Năng lượng của tụ điện A và B sau khi được nối là: \(W' = 4,{5.10^{ - 4}}{\rm{\;J}}\)
d) Năng lượng của tia lửa điện phát ra khi nối hai tụ điện với nhau là: \({\rm{\Delta }}W = - {3.10^{ - 4}}{\rm{\;J}}\)
Câu 1 :
Dòng điện không đổi chạy trong một dây dẫn, cứ mỗi giây có 1,6 C chuyển qua tiết diện thẳng của dây dẫn. Tính cường độ dòng điện.
Câu 2 :
Dòng điện không đồi có cường độ 1,5 A chạy trong dây dẫn kim loại. Tính điện lượng chuyển qua tiết diện thẳng của dây trong 1 s.
Câu 3 :
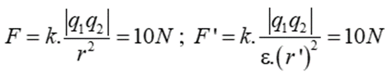
Hai điện tích điểm đặt trong không khí cách nhau 12 cm, lực tương tác giữa chúng bằng 10 N. Đặt chúng vào trong dầu cách nhau 8 cm thì lực tương tác giữa chúng vẫn bằng 10 N. Hằng số điện môi của dầu là:
Câu 4 :
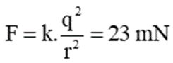
Cho hai quả cầu nhỏ trung hòa điện cách nhau 40 cm. Giả sử bằng cách nào đó có 4.1012 electron từ quả cầu này di chuyển sang quả cầu kia. Khi đó chúng hút đầy nhau? Tính độ lớn lực tương tác đó
Câu 5 :
Hai điện tích điểm bằng nhau đặt trong chân không cách nhau một khoảng r1 = 2 cm. Lực đẩy giữa chúng là F1 = 1,6.10-4 N. Để lực tương tác giữa hai điện tích đó bằng F2 = 2,5.10-4 N. Tính khoảng cách giữa hai điện tích khi đó
Câu 6 :
Hai dây dẫn (1) và (2) được làm từ cùng một loại vật liệu kim loại, có cùng một cường độ dòng điện chạy qua nhưng bán kính dây (1) lớn gấp 3 lần bán kính dây (2). Tính tỉ số tốc độ trôi của electron dẫn trong hai dây dẫn đang xét.
Lời giải và đáp án
Câu 1 :
Chiều dòng điện được quy ước là chiều dịch chuyển có hướng của
-
A.
electron.
-
B.
neutron.
-
C.
điện tích âm.
-
D.
điện tích dương.
Đáp án : D
Vận dụng lí thuyết quy ước về chiều dòng điện
Chiều dòng điện được quy ước là chiều dịch chuyển có hướng của điện tích dương.
Đáp án D
Câu 2 :
Xét dòng điện có cường độ 2 A chạy trong một dây dẫn. Điện lượng chuyển qua tiết diện thẳng của dây dẫn trong 5 s có độ lớn
-
A.
0,4 C
-
B.
2,5 C
-
C.
10 C
-
D.
7,0 C
Đáp án : C
Vận dụng công thức tính điện lượng q
Điện lượng cần tìm q=It=2.5=10C
Đáp án C
Câu 3 :
Công thức của định luật Culông là
-
A.
-
B.
-
C.
-
D.
Đáp án : C

Chọn C.
Câu 4 :
Đồ thị diễn lực tương tác Culông giữa hai điện tích quan hệ với bình phương khoảng cách giữa hai điện tích là đường:
-
A.
hypebol.
-
B.
thẳng bậc nhất.
-
C.
parabol.
-
D.
elíp
Đáp án : A

Chọn A.
Câu 5 :
Đặt hiệu điện thế 12 V vào hai đầu đoạn mạch. Năng lượng điện mà đoạn mạch đã tiêu thụ khi có điện lượng 150 C chuyển qua mạch bằng
-
A.
1800 J.
-
B.
12,5 J.
-
C.
170 J.
-
D.
138 J.
Đáp án : A
Vận dụng công thức tính năng lượng tiêu thụ
A=qU=150.12=1800J
Đáp án A
Câu 6 :
Đặt một hiệu điện thế không đổi vào hai đầu một biến trở R. Điều chỉnh giá trị R và đo công suất toả nhiệt P trên biến trở. Chọn phát biểu đúng.
-
A.
P tỉ lệ với R.
-
B.
P tỉ lệ với R2.
-
C.
P tỉ lệ nghịch với R.
-
D.
P tỉ lệ nghịch với R2.
Đáp án : C
Vận dụng mối quan hệ giữa công suất và điện trở
Công suất \({\rm{P}} = \frac{{{U^2}}}{R}\)
Đáp án C
Câu 7 :
Điện trường là:
-
A.
môi trường không khí quanh điện tích.
-
B.
môi trường chứa các điện tích.
-
C.
môi trường bao quanh điện tích, gắn với điện tích và tác dụng lực điện lên các điện tích khác đặt trong nó.
-
D.
môi trường dẫn điện.
Đáp án : C
Điện trường là môi trường bao quanh điện tích, gắn với điện tích và tác dụng lực điện lên các điện tích khác đặt trong nó.
Đáp án: C
Câu 8 :
Cường độ điện trường tại một điểm đặc trưng cho
-
A.
thể tích vùng có điện trường là lớn hay nhỏ.
-
B.
điện trường tại điểm đó về phương diện dự trữ năng lượng.
-
C.
tác dụng lực của điện trường lên điện tích tại điểm đó.
-
D.
tốc độ dịch chuyển điện tích tại điểm đó.
Đáp án : C
Cường độ điện trường tại một điểm đặc trưng cho tác dụng lực của điện trường lên điện tích tại điểm đó.
Đáp án: C
Câu 9 :
Hiệu điện thế giữa hai điểm M, N là UMN = 40 V. Chọn câu chắc chắn đúng:
-
A.
Điện thế ở M là 40 V
-
B.
Điện thế ở N bằng 0
-
C.
Điện thế ở M có giá trị dương, ở N có giá trị âm
-
D.
Điện thế ở M cao hơn điện thế ở N 40 V
Đáp án : D
Chọn đáp án D
Ta có \({U_{MN}} = {V_M} - {V_N} = 40V\)
⇨ Điện thế tại M cao hơn điện thế tại N 40 V.
Câu 10 :
Thả một ion dương cho chuyển động không vận tốc đầu từ một điểm bất kì trong một điện trường do hai điện tích điểm dương gây ra. Ion đó sẽ chuyển động
-
A.
dọc theo một đường sức điện.
-
B.
dọc theo một đường nối hai điện tích điểm.
-
C.
từ điểm có điện thế cao đến điểm có điện thế thấp.
-
D.
từ điểm có điện thế thấp đến điểm có điện thế cao.
Đáp án : C
Chọn đáp án C
Cường độ điện trường hướng từ nơi có điện thế cao đến nơi có điện thế thấp. Ion dương nên lực điện cùng chiều với cường độ điện trường.
⇨ Ion dương sẽ chuyển động từ điểm có điện thế cao đến điểm có điện thế thấp.
Câu 11 :
Hiệu điện thế giữa hai cực của một nguồn điện có độ lớn
-
A.
luôn bằng suất điện động của nguồn điện khi không có dòng điện chạy qua nguồn.
-
B.
luôn lớn hơn suất điện động của nguồn điện khi không có dòng điện chạy qua nguồn.
-
C.
luôn nhỏ hơn suất điện động của nguồn điện khi không có dòng điện chạy qua nguồn.
-
D.
luôn khác không.
Đáp án : A
Vận dụng lí thuyết nguồn điện
Hiệu điện thế giữa hai cực của một nguồn điện có độ lớn luôn bằng suất điện động của nguồn điện khi không có dòng điện chạy qua nguồn.
Đáp án A
Câu 12 :
Hai pin ghép nối tiếp với nhau thành bộ thì
-
A.
suất điện động của bộ pin luôn nhỏ hơn suất điện động mỗi pin.
-
B.
suất điện động của bộ pin luôn bằng suât điện động của mỗi pin.
-
C.
điện trở trong của bộ pin luôn nhỏ hơn điện trở trong của mỗi pin.
-
D.
điện trở trong của bộ pin luôn lớn hơn điện trở trong của mỗi pin.
Đáp án : D
Vận dụng lí thuyết ghép nguồn điện
Hai pin ghép nối tiếp với nhau thành bộ thì điện trở trong của bộ pin luôn lớn hơn điện trở trong của mỗi pin. Vì \({{\rm{E}}_b} = {{\rm{E}}_1} + {{\rm{E}}_2}\)
Đáp án D
Câu 13 :
Nếu điện tích dịch chuyển trong điện trường sao cho thế năng của nó tăng thì công của của lực điện trường
-
A.
âm.
-
B.
dương.
-
C.
bằng không.
-
D.
chưa đủ dữ kiện để xác định.
Đáp án : A
Ta có: AMN = WM - WN, thế năng tăng nên WN > WM nên AMN < 0
Nên điện tích dịch chuyển trong điện trường sao cho thế năng của nó tăng thì công của của lực điện trường âm.
Đáp án: A.
Câu 14 :
Nếu chiều dài đường đi của điện tích trong điện trường tăng 2 lần thì công của lực điện trường
-
A.
tăng 2 lần.
-
B.
giảm 2 lần.
-
C.
không thay đổi.
-
D.
chưa đủ dữ kiện để xác định.
Đáp án : D
A = Fscosα . Nếu chỉ thay đổi chiều dài đường đi của điện tích trong điện trường thì chưa đủ dữ kiện để xác định công của lực điện trường vì điện trường còn phụ thuộc vào lực và góc.
Đáp án: D.
Câu 15 :
Điện thế là đại lượng đặc trưng cho riêng điện trường về
-
A.
phương diện tạo ra thế năng khi đặt tại đó một điện tích q.
-
B.
khả năng sinh công của vùng không gian có điện trường.
-
C.
khả năng sinh công tại một điểm.
-
D.
khả năng tác dụng lực tại tất cả các điểm trong không gian có điện trường.
Đáp án : A
Điện thế tại một điểm trong điện trường là đại lượng đặc trưng riêng cho điện trường về khả năng tạo ra thế năng khi đặt tại đó một điện tích q.
Đáp án A.
Câu 16 :
Điện thế là đại lượng:
-
A.
là đại lượng đại số.
-
B.
là đại lượng vecto.
-
C.
luôn luôn dương.
-
D.
luôn luôn âm.
Đáp án : A
A – đúng
B – sai
C, D – sai vì điện thế có âm, có thể dương, có thể bằng 0.
Đáp án A.
Câu 17 :
Fara là điện dung của một tụ điện mà
-
A.
giữa hai bản tụ có hiệu điện thế 1V thì nó tích được điện tích 1 C.
-
B.
giữa hai bản tụ có một hiệu điện thế không đổi thì nó được tích điện 1 C.
-
C.
giữa hai bản tụ có điện môi với hằng số điện môi bằng 1.
-
D.
khoảng cách giữa hai bản tụ là 1 mm.
Đáp án : A
Fara là điện dung của một tụ điện mà giữa hai bản tụ có hiệu điện thế 1V thì nó tích được điện tích 1 C.
Đáp án A
Câu 18 :
Cặp số liệu ghi trên vỏ tụ điện cho biết điều gì?
-
A.
Giá trị nhỏ nhất của điện dung và hiệu điện thế đặt vào hai cực của tụ.
-
B.
Phân biệt được tên của các loại tụ điện.
-
C.
Điện dung của tụ và giới hạn của hiệu điện thế đặt vào hai cực của tụ.
-
D.
Năng lượng của điện trường trong tụ điện.
Đáp án : C
Cặp số liệu ghi trên vỏ tụ điện cho biết điện dung của tụ và giới hạn của hiệu điện thế đặt vào hai cực của tụ.
Đáp án C.
Mắc hai đầu một biến trở vào hai cực của một nguồn điện có suất điện động E. Điều chỉnh biến trở và đo độ lớn hiệu điện thế giữa hai cực nguồn điện U.
a) Tỉ số \(\frac{U}{{\rm{E}}}\) càng lớn nếu giá trị biến trở càng lớn.
b) Tỉ số \(\frac{U}{{\rm{E}}}\)càng lớn nếu giá trị biến trở càng nhỏ.
c) Hiệu (E−U)không đổi khi giá trị biến trở thay đổi.
d) Tổng (E+U)không đổi khi giá trị biến trở thay đổi.
a) Tỉ số \(\frac{U}{{\rm{E}}}\) càng lớn nếu giá trị biến trở càng lớn.
b) Tỉ số \(\frac{U}{{\rm{E}}}\)càng lớn nếu giá trị biến trở càng nhỏ.
c) Hiệu (E−U)không đổi khi giá trị biến trở thay đổi.
d) Tổng (E+U)không đổi khi giá trị biến trở thay đổi.
Tính tỉ số \(\frac{U}{{\rm{E}}}\)
Tỉ số: \(\frac{U}{{\rm{E}}} = \frac{R}{{R + r}} = \frac{1}{{1 + \frac{r}{R}}}\)
a) Tỉ số \(\frac{U}{{\rm{E}}}\) càng lớn nếu giá trị biến trở càng lớn.
Đúng
b) Tỉ số \(\frac{U}{{\rm{E}}}\)càng lớn nếu giá trị biến trở càng nhỏ.
Sai
c) Hiệu (E−U)không đổi khi giá trị biến trở thay đổi.
Sai
d) Tổng (E+U)không đổi khi giá trị biến trở thay đổi.
Sai
Có 3 điện trở giống nhau được ghép thành bộ theo tât cả các cách và hai đầu bộ điện trở được đặt vào một hiệu điện thế không đổi. Đo cường độ dòng điện chạy qua mạch chính của bộ điện trở, kết quả cho thấy trường hợp cường độ dòng điện có giá trị nhỏ nhất là 0,3 A.
a) Với 3 điện trở giống nhau bằng R thì có tất cả 3 cách ghép khác nhau. Do đó, có 3 giá trị khác nhau của cường độ dòng điện.
b) Trường hợp cường độ dòng điện nhỏ nhất ứng với điện trở của bộ lớn nhất: \({I_{{\rm{min}}}} = 0,5{\rm{A}}\)
c) Trường hợp cường độ dòng điện lớn nhất ứng với điện trở của bộ nhỏ nhất: \({I_{{\rm{max}}}} = 1,5{\rm{\;A}}\)
d) Trường hợp còn lại: \(I = 0,6{\rm{\;A}}\)
a) Với 3 điện trở giống nhau bằng R thì có tất cả 3 cách ghép khác nhau. Do đó, có 3 giá trị khác nhau của cường độ dòng điện.
b) Trường hợp cường độ dòng điện nhỏ nhất ứng với điện trở của bộ lớn nhất: \({I_{{\rm{min}}}} = 0,5{\rm{A}}\)
c) Trường hợp cường độ dòng điện lớn nhất ứng với điện trở của bộ nhỏ nhất: \({I_{{\rm{max}}}} = 1,5{\rm{\;A}}\)
d) Trường hợp còn lại: \(I = 0,6{\rm{\;A}}\)
Vận dụng công thức mắc điện trở nối tiếp, song song
a) Với 3 điện trở giống nhau bằng R thì có tất cả 3 cách ghép khác nhau. Do đó, có 3 giá trị khác nhau của cường độ dòng điện.
Đúng
b) Trường hợp cường độ dòng điện nhỏ nhất ứng với điện trở của bộ lớn nhất: \({R_{\rm{b}}} = 3R \Rightarrow {I_{{\rm{min}}}} = \frac{U}{{3R}} = 0,3{\rm{\;A}}\)
Sai
c) Trường hợp cường độ dòng điện lớn nhất ứng với điện trở của bộ nhỏ nhất: \({R_{\rm{b}}} = \frac{R}{3} \Rightarrow {I_{{\rm{max}}}} = \frac{{3U}}{R} = \frac{{9U}}{{3R}} = 9.0,3 = 2,7{\rm{\;A}}\)
Sai
d) Trường hợp còn lại: \({R_{\rm{b}}} = \frac{{3R}}{2} \Rightarrow I = \frac{{2U}}{{3R}} = 2.0,3 = 0,6{\rm{\;A}}\)
Đúng
Mắc hai đầu một biến trở R vào hai cực của một nguồn điện không đổi. Điều chỉnh giá trị biến trở R. Bỏ qua điện trở của các dây nối. Đồ thị biểu diễn sự phụ thuộc của công suất toả nhiệt trên biến trở P theo R như Hình 19.4.

a) Công suất toả nhiệt trên biến trở: \({\rm{P}} = \frac{{{{\rm{E}}^2}}}{{R + 2r + \frac{{{r^2}}}{R}}}\)
b) Giá trị cực đại của P: \({{\rm{P}}_{{\rm{max}}}} = \frac{{{{\rm{E}}^2}}}{{4r}}\)
c) Suất điện động của nguồn điện là \({\rm{E}} = 12\;V\)
d) Khoảng thời gian giữa hai lần liên tiếp công suất Pđạt giá trị 5 W là \({\rm{\Delta }}t = 60{\rm{\;s}}\)
a) Công suất toả nhiệt trên biến trở: \({\rm{P}} = \frac{{{{\rm{E}}^2}}}{{R + 2r + \frac{{{r^2}}}{R}}}\)
b) Giá trị cực đại của P: \({{\rm{P}}_{{\rm{max}}}} = \frac{{{{\rm{E}}^2}}}{{4r}}\)
c) Suất điện động của nguồn điện là \({\rm{E}} = 12\;V\)
d) Khoảng thời gian giữa hai lần liên tiếp công suất Pđạt giá trị 5 W là \({\rm{\Delta }}t = 60{\rm{\;s}}\)
a) Ta có, công suất toả nhiệt trên biến trở: \({\rm{P}} = R{I^2} = R\frac{{{{\rm{E}}^2}}}{{{{\left( {R + r} \right)}^2}}} = \frac{{{{\rm{E}}^2}}}{{R + 2r + \frac{{{r^2}}}{R}}}\)
Đúng
b) Áp dụng bất đẳng thức Cauchy ta có: \(R + \frac{{{r^2}}}{R} \ge 2r\) Dấu "=" của biểu thức này ( R = r) tương ứng với giá trị cực đại của P: \({{\rm{P}}_{{\rm{max}}}} = \frac{{{{\rm{E}}^2}}}{{4r}}\)
Đúng
c) Từ đồ thị, ta có: r=4Ωvà Pmax=9 W.
Thay vào: \({{\rm{P}}_{\max }} = \frac{{{{\rm{E}}^2}}}{{4r}} \Rightarrow 9 = \frac{{{{\rm{E}}^2}}}{{4.4}} \Rightarrow {\rm{E}} = 12\;V\)
Đúng
d) Với P=5 W ta thấy trên đồ thị có một giá trị tương ứng là R2=20Ω. Giá trị R1 còn lại thoả điều kiện R1R2=r2⇒R1⋅20=42⇒R1=0,8Ω
Từ đề bài, ta có: R=0,32t(Ω), (t tính bằng s). Từ đó, thời gian cần tìm là:
\({\rm{\Delta }}t = \frac{{20 - 0,8}}{{0,32}} = 60{\rm{\;s}}\)
Đúng
Một tụ điện A có điện dung 0,6μF được gắn vào hai đầu một nguồn điện không đổi có hiệu điện thế 50 V. Sau đó, tụ được ngắt tụ ra khỏi nguồn và ghép song song với với một tụ điện B có điện dung 0,4μF chưa tích điện. Trong quá trình nối có một tia lửa điện nhỏ được phát ra.
a) Năng lượng của tụ điện A trước khi được nối là: \(W = 7,{5.10^{ - 4}}{\rm{\;J}}\)
b) Theo định luật bảo toàn điện tích, ta có: \(U' = 30{\rm{\;V}}\)
c) Năng lượng của tụ điện A và B sau khi được nối là: \(W' = 4,{5.10^{ - 4}}{\rm{\;J}}\)
d) Năng lượng của tia lửa điện phát ra khi nối hai tụ điện với nhau là: \({\rm{\Delta }}W = - {3.10^{ - 4}}{\rm{\;J}}\)
a) Năng lượng của tụ điện A trước khi được nối là: \(W = 7,{5.10^{ - 4}}{\rm{\;J}}\)
b) Theo định luật bảo toàn điện tích, ta có: \(U' = 30{\rm{\;V}}\)
c) Năng lượng của tụ điện A và B sau khi được nối là: \(W' = 4,{5.10^{ - 4}}{\rm{\;J}}\)
d) Năng lượng của tia lửa điện phát ra khi nối hai tụ điện với nhau là: \({\rm{\Delta }}W = - {3.10^{ - 4}}{\rm{\;J}}\)
Áp dụng công thức tính năng lượng của tụ điện
a) Năng lượng của tụ điện A trước khi được nối là: \(W = \frac{1}{2}{C_1}{U^2} = \frac{1}{2}.0,{6.10^{ - 6}}{.50^2} = 7,{5.10^{ - 4}}{\rm{\;J}}\)
Đúng
b) Theo định luật bảo toàn điện tích, ta có: \(Q = {Q_1} + {Q_2} \Rightarrow {C_1}U = {C_1}U' + {C_2}U' \Rightarrow U' = \frac{{{C_1}U}}{{{C_1} + {C_2}}} = \frac{{0,{{6.10}^{ - 6}}.50}}{{0,{{6.10}^{ - 6}} + 0,{{4.10}^{ - 6}}}} = 30{\rm{\;V}}\)
Đúng
c) Năng lượng của tụ điện A và B sau khi được nối là: \(W' = \frac{1}{2}{C_1}{U^{{\rm{'}}2}} + \frac{1}{2}{C_2}{U^{{\rm{'}}2}} = \frac{1}{2}.0,{6.10^{ - 6}}{.30^2} + \frac{1}{2}.0,{4.10^{ - 6}}{.30^2} = 4,{5.10^{ - 4}}{\rm{\;J}}\)
Đúng
d) Năng lượng của tia lửa điện phát ra khi nối hai tụ điện với nhau là:
\({\rm{\Delta }}W = W - W' = 7,{5.10^{ - 4}} - 4,{5.10^{ - 4}} = {3.10^{ - 4}}{\rm{\;J}}\)
Sai
Câu 1 :
Dòng điện không đổi chạy trong một dây dẫn, cứ mỗi giây có 1,6 C chuyển qua tiết diện thẳng của dây dẫn. Tính cường độ dòng điện.
Áp dụng công thức tính cường độ dòng điện
Cường độ dòng điện là:\[I = \frac{{{\rm{\Delta }}q}}{{{\rm{\Delta }}t}} = \frac{{1,6}}{1} = 1,6{\rm{\;A}}\]
Câu 2 :
Dòng điện không đồi có cường độ 1,5 A chạy trong dây dẫn kim loại. Tính điện lượng chuyển qua tiết diện thẳng của dây trong 1 s.
Vận dụng công thức tính điện lượng
Điện lượng chuyển qua tiết diện thẳng của dây trong: \[{\rm{\Delta }}q = I{\rm{\Delta }}t = 1,5.1 = 1,5{\rm{C}}\]
Câu 3 :
Hai điện tích điểm đặt trong không khí cách nhau 12 cm, lực tương tác giữa chúng bằng 10 N. Đặt chúng vào trong dầu cách nhau 8 cm thì lực tương tác giữa chúng vẫn bằng 10 N. Hằng số điện môi của dầu là:
Ta có :

Do đó r2 = ε.(r')2 ⇒ ε = 2,25 .
Câu 4 :
Cho hai quả cầu nhỏ trung hòa điện cách nhau 40 cm. Giả sử bằng cách nào đó có 4.1012 electron từ quả cầu này di chuyển sang quả cầu kia. Khi đó chúng hút đầy nhau? Tính độ lớn lực tương tác đó
Do có 4.1012 electron từ quả cầu này di chuyển sang quả cầu kia nên 2 quả cầu mang điện tích trái dấu và có |q1| = |q2| = 4.1012.1,6.10-19 = 6,4.10-7.
Khi đó 2 quả cầu hút nhau và
.
Câu 5 :
Hai điện tích điểm bằng nhau đặt trong chân không cách nhau một khoảng r1 = 2 cm. Lực đẩy giữa chúng là F1 = 1,6.10-4 N. Để lực tương tác giữa hai điện tích đó bằng F2 = 2,5.10-4 N. Tính khoảng cách giữa hai điện tích khi đó
Độ lớn lực tương tác điện

Để F2 = 2,5.10-4N
⇒ 
Câu 6 :
Hai dây dẫn (1) và (2) được làm từ cùng một loại vật liệu kim loại, có cùng một cường độ dòng điện chạy qua nhưng bán kính dây (1) lớn gấp 3 lần bán kính dây (2). Tính tỉ số tốc độ trôi của electron dẫn trong hai dây dẫn đang xét.
Vận dụng công thức tính vận tốc trôi
Tỉ số tốc độ trôi của electron dẫn trong hai dây dẫn đang xét: \[I = {S_1}ne{v_1} = {S_2}ne{v_2} \Rightarrow \frac{{{v_1}}}{{{v_2}}} = \frac{{{S_2}}}{{{S_1}}} = \frac{{\pi r_2^2}}{{\pi r_1^2}} = \frac{{r_2^2}}{{r_1^2}} = \frac{{r_2^2}}{{{{\left( {3{r_2}} \right)}^2}}} = \frac{1}{9} = 0,33\]
Đề thi học kì 2 Vật lí 11 Cánh diều - Đề số 5
Đề thi học kì 2 Vật lí 11 Cánh diều - Đề số 5
Xem chi tiết
Đề thi học kì 2 Vật lí 11 Cánh diều - Đề số 3
Đề thi học kì 2 Vật lí 11 Cánh diều - Đề số 3
Xem chi tiết
Đề thi học kì 2 Vật lí 11 Cánh diều - Đề số 2
Đề thi học kì 2 Vật lí 11 Cánh diều - Đề số 2
Xem chi tiết
Đề thi học kì 2 Vật lí 11 Cánh diều - Đề số 1
Đề thi học kì 2 Vật lí 11 Cánh diều - Đề số 1
Xem chi tiết
Đề cương ôn tập học kì 2 Vật lí 11 Cánh diều
NỘI DUNG ÔN TẬP
BÀI TẬP
Xem chi tiết
>> 2K9 Học trực tuyến - Định hướng luyện thi TN THPT, ĐGNL, ĐGTD ngay từ lớp 11 (Xem ngay) cùng thầy cô giáo giỏi trên Tuyensinh247.com. Bứt phá điểm 9,10 chỉ sau 3 tháng, tiếp cận sớm các kì thi.
![]() |
![]() |
![]() |
![]() |
![]() |
![]() |
![]() |
![]() |







