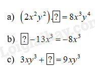
Tìm mỗi đơn thức thích hợp cho mỗi ô:
Đề bài
Tìm mỗi đơn thức thích hợp cho mỗi ô:

Phương pháp giải - Xem chi tiết
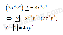
Ta thực hiện như tìm \(x\) thông thường.
Sử dụng tính chất phân phối của phép nhân với phép cộng để tìm số thích hợp.
Lời giải chi tiết
a)

b)

c)
