Tải về
Số? Nối (theo mẫu). Mỗi đèn ông sao có 5 cánh. Hỏi 4 đèn ông sao như vậy có bao nhiêu cánh?
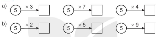
Bài 1
Số?

Phương pháp giải:
Tính nhẩm kết quả phép tính dựa vào bảng nhân 5.
Lời giải chi tiết:

Bài 2
Nối (theo mẫu)

Phương pháp giải:
Nối mỗi cái đĩa với chiếc cốc ghi kết quả phéo nhân thích hợp.
Lời giải chi tiết:

Câu 3
Số?

Phương pháp giải:
Số cánh của 4 đèn ông sao = Số cánh của mỗi đèn ông sao x 4
Lời giải chi tiết:
Số cánh của 4 đèn ông sao là:
5 x 4 = 20 (cánh)
Đáp số: 20 cánh
Loigiaihay.com
Tải về