Bằng thực nghiệm, người ta xác định được cấu tạo của phức chất [NiCl4]2-
CH tr 43
Bằng thực nghiệm, người ta xác định được cấu tạo của phức chất [NiCl4]2- như hình bên. Hãy cho biết:
a) Dạng hình học của phức chất.
b) Thuyết Liên kết hóa trị giải thích dạng hình học của phức chất [NiCl4]2- như thế nào?

Phương pháp giải:
Dựa vào liên kết và cấu tạo của phức chất.
Lời giải chi tiết:
a) Dạng tứ diện.
b) Nguyên tử Ni sử dụng một số orbital trống để tổ hợp và tạo thành các orbital lai hóa, phân tử hoặc anion Cl- cho cặp electron chưa liên kết vào các orbital lai hóa trống của nguyên tử Ni để hình thành liên kết cho nhân.
CH tr 44
Xác định điện tích của nguyên tử trung tâm trong phức chất [Cd(NH3)4]2+.
Phương pháp giải:
Dựa vào liên kết và cấu tạo phức chất theo thuyết liên kết hóa trị.
Lời giải chi tiết:
Phức chất có điện tích là +2, mỗi phân tử NH3 có điện tích bằng 0 nên điện tích của cation kim loại tạo nguyên tử trung tâm là +2.
CH tr 45 LT1
Thực nghiệm xác nhận phức chất [Zn(NH3)4]2+ có dạng hình học tứ diện. Giải thích sự hình thành liên kết và mô tả cấu tạo của phức chất này theo thuyết Liên kết hóa trị.
Phương pháp giải:
Dựa vào liên kết và cấu tạo phức chất theo thuyết liên kết hóa trị.
Lời giải chi tiết:
Thuyết liên kết hóa trị giải thích dạng hình học của phức chất [Zn(NH3)4]2+ như sau:
Phức chất có điện tích là +2, mỗi phân tử NH3 trung hoà về điện (có điện tích là 0), vậy điện tích của nguyên tử trung tâm là +2.
Cấu hình electron của ion Zn2+ là: [Ar]3d104s04p0.
Cấu hình electron hoá trị dạng ô orbital của Zn2+ là:

Cation Zn2+ sử dụng 1 orbital 4s trống và 3 orbital 4p trống để lai hoá sp3, tạo nên 4 orbital lai hoá trống.
Mỗi phân tử NH3 cho mỗi orbital lai hoá trống của cation Zn2+ một cặp electron chưa liên kết để hình thành một liên kết cho – nhận.
CH tr 45 LT2
Thực nghiệm xác nhận phức chất [FeF6]4- có dạng hình học bát diện. Giải thích sự hình thành liên kết và mô tả cấu tạo của phức chất này theo thuyết Liên kết hóa trị.
Phương pháp giải:
Dựa vào liên kết và cấu tạo của phức chất.
Lời giải chi tiết:
Phức chất có điện tích là – 4, mỗi ion F- có điện tích là – 1 nên điện tích của cation nguyên tử trung tâm là +2.
Cấu hình electron của Fe2+: [Ar]3d6
Orbital ion Fe2+ là:

Để tạo ra dạng hình học bát diện, nguyên tử trung tâm Fe2+ lai hoá sp3d2 , 6 phối tử F- cho cặp electron chưa liên kết vào 6 orbital lai hoá sp3d2 trống của Fe2+ tạo thành 6 liên kết.
CH tr 46 LT1
Theo thực nghiệm, phức chất [Fe(CN)6]3- có dạng hình học bát diện. Hãy vẽ dạng hình học của phức chất này.
Phương pháp giải:
Dựa vào dạng hình học phổ biến của phức chất
Lời giải chi tiết:

CH tr 46 LT2
Thực nghiệm xác nhận phức chất [Cd(NH3)4]2+ có dạng hình học tứ diện. Hãy vẽ dạng hình học của phức chất này.
Phương pháp giải:
Dựa vào dạng hình học phổ biến của phức chất.
Lời giải chi tiết:

CH tr 46 LT3
Chỉ ra đồng phân cis và trans của phức chất bát diện [CoCl2(NH3)4]+ ở hình 7.3

Phương pháp giải:
Dựa vào đồng phân phức chất.
Lời giải chi tiết:
Hình (I) là đồng phân cis, Hình (II) là đồng phân trans.
CH tr 47
Vì sao nguyên tử N và một nguyên tử O trong anion \(NO_2^ - \)đều có thể tạo liên kết cho – nhận với nguyên tử trung tâm như trong phức chất (III) hoặc (IV)?
Phương pháp giải:
Dựa vào đồng phân liên kết.
Lời giải chi tiết:
Vì nguyên tử N hay O đều có thể liên kết với nguyên tử Co2+ cặp electron liên kết.
CH tr 48 LT
Hãy cho biết hai phức chất dưới đây có phải là đồng phân của nhau không. Giải thích.
[PtCl2(NH3)4]Br2 và [PtBr2(NH3)4]Cl2.
Phương pháp giải:
Dựa vào đồng phân liên kết.
Lời giải chi tiết:
Hai phức chất là đồng phân của nhau. Do có sự hoán đổi vị trí của Cl và Br.
CH tr 48 BT1
Phức chất [CoCl4]2- có dạng hình học tứ diện. Giải thích sự tạo thành liên kết và vẽ dạng hình học của phức chất này theo thuyết Liên kết hóa trị.
Phương pháp giải:
Dựa vào thuyết Liên kết hóa trị.
Lời giải chi tiết:
Nguyên tử trung tâm: Co2+, số phối trí của nguyên tử trung tâm: 4
Nguyên tử trung tâm là Co2+ có cấu hình [Ar]3d8. Để tạo ra dạng hình học tứ diện thì nguyên tử trung tâm Ni2+ lai hoá sp3, bốn phối tử Cl cho cặp electron chưa liên kết của nguyên tử Cl vào bốn orbital lai hoá sp3 trống của Co2+, tạo thành bốn liên kết.
CH tr 48 BT2
Phức chất [Co(OH2)6]2+ có dạng hình học bát diện. Giải thích sự tạo thành liên kết và vẽ dạng hình học của phức chất này theo thuyết Liên kết hóa trị.
Phương pháp giải:
Dựa vào thuyết Liên kết hóa trị.
Lời giải chi tiết:
Cation Co2+ sử dụng 1 orbital 4s trống, 3 orbital 4p trống và 2 orbital 4d trống để lai hóa sp3d2, tạo nên 6 orbital lai hóa trống.
Mỗi phân tử H2O cho mỗi orbital lai hóa trống của cation Co2+ một cặp electron chưa liên kết để hình thành 1 liên kết cho – nhận.
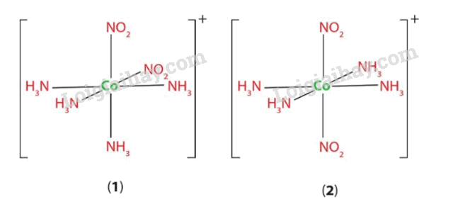
CH tr 48 BT3
Chỉ ra dạng cis và dạng trans trong hai đồng phân dưới đây:

Phương pháp giải:
Dựa vào dạng hình học của phức chất.
Lời giải chi tiết:
Hình (1) là dạng trans; Hình (2) là dạng cis.