Tải về
Trong phân tử nước, một nguyên tử O liên kết với hai nguyên tử H, người ta nói rằng O có hóa trị II
Copper sulfate (CuSO4) được dùng làm chất chống xoăn lá cho cây cà chua
1. Xác định hóa trị của S trong hợp chất sulfur dioxide (một nguyên tử S liên kết với hai nguyên tử O) và hydrogen sulfide (một nguyên tử S liên kết với hai nguyên tử H).
2. Hãy xác định hóa trị của C trong hợp chất methane có trong Hình 5.3b
Tổng hợp đề thi học kì 1 lớp 7 tất cả các môn - Kết nối tri thức
Toán - Văn - Anh - Khoa học tự nhiên...
CH tr 40 MĐ
|
Trong phân tử nước, một nguyên tử O liên kết với hai nguyên tử H, người ta nói rằng O có hóa trị II. Vậy hóa trị có mối liên hệ với công thức hóa học của hợp chất như thế nào? |
Lời giải chi tiết:
Trong công thức hóa học của hợp chất hai nguyên tố, tích của chỉ số và hóa trị của nguyên tố này bằng tích của chỉ số và hóa trị của nguyên tố kia
CH tr 41 CH
|
Copper sulfate (CuSO4) được dùng làm chất chống xoăn lá cho cây cà chua. Em hãy cho biết số nguyên tử của từng nguyên tố có trong một phân tử copper sulfate và xác định phần trăm khối lượng của các nguyên tố trong hợp chất này |
Phương pháp giải:
- Số nguyên tử của từng nguyên tố = chỉ số ở chân bên phải kí hiệu hóa học
- Cách xác định phần trăm khối lượng của nguyên tố trong hợp chất
Bước 1: Tính khối lượng phân tử hợp chất
Bước 2: Tính phần trăm khối lượng các nguyên tố trong hợp chất:
Lời giải chi tiết:
- Trong 1 phân tử copper sulfate (CuSO4) gồm 3 nguyên tố: Cu, S, O trong đó có:
+ 1 nguyên tử Cu (copper)
+ 1 nguyên tử S (sulfur)
+ 4 nguyên tử O (oxygen)
- Xác định phần trăm khối lượng của các nguyên tố:
Bước 1: Khối lượng phân tử CuSO4 = 64.1 + 32.1 + 16.4 = 160 amu
Bước 2: Phần trăm khối lượng các nguyên tố trong CuSO4
CH tr 42 CH
|
Sơ đồ sau mô tả sự hình thành liên kết cộng hóa trị trong phân tử HCl:
Xác định hóa trị của chlorine trong hợp chất trên |
Phương pháp giải:
Hóa trị của nguyên tố được xác định bằng số cặp electron dùng chung của nguyên tử nguyên tố đó với nguyên tử khác
Lời giải chi tiết:
Hydrogen và chlorine bỏ ra 1 electron
=> Một cặp electron dùng chung
=> Chlorine có hóa trị I trong hợp chất HCl
CH tr 42 HĐ
|
Tìm hiểu về quy tắc hóa trị Thảo luận nhóm, hoàn thành bảng mẫu và thực hiện các yêu cầu sau:
1. Xét phân tử H2S, hãy so sánh tích của chỉ số và hóa trị của nguyên tố lưu huỳnh với tích chỉ số và hóa trị của nguyên tố hydrogen 2. Đối với phân tử CH4, thực hiện tương tự như với phân tử H2S. Em hãy so sánh về tích của chỉ số và hóa trị của các nguyên tố thành phần |
Phương pháp giải:
Trong công thức hóa học của hợp chất hai nguyên tố, tích của chỉ số và hóa trị của nguyên tố này bằng tích của chỉ số và hóa trị của nguyên tố kia
Lời giải chi tiết:
Trong CH4, nguyên tử C liên kết với 4 nguyên tử H => C có hóa trị IV
|
|
Hóa trị của lưu huỳnh/ carbon |
Tích của chỉ số và hóa trị của lưu huỳnh/ carbon |
Tích của chỉ số và hóa trị của hydrogen |
|
H2S |
II |
1 x II |
2 x I |
|
CH4 |
IV |
1 x IV |
4 x I |
1.
Ta có: 1 x II = 2 x I = II
=> Tích của chỉ số và hóa trị của nguyên tố lưu huỳnh = tích chỉ số và hóa trị của nguyên tố hydrogen
2.
Ta có: 1 x IV = 4 x I = IV
=> Tích của chỉ số và hóa trị của nguyên tố carbon = tích chỉ số và hóa trị của nguyên tố hydrogen
CH tr 43 CH
|
1. Xác định hóa trị của lưu huỳnh trong hợp chất sulfur dioxide (một nguyên tử S liên kết với hai nguyên tử O) 2. Hãy xác định hóa trị của carbon trong hợp chất methane có trong hình 5.3b 3. Dựa vào quy tắc hóa trị và Bảng 7.2, cho biết công thức hóa học của potassium oxide là KO hay K2O |
Phương pháp giải:
1.
- Nguyên tử của nguyên tố khác liên kết được với bao nhiêu nguyên tử H thì nguyên tố đó có hóa trị bằng bấy nhiêu
- Xác định hóa trị của S trong hợp chất sulfur dioxide tương tự với phân tử carbon dioxide
3. Quy tắc hóa trị: Trong công thức hóa học của hợp chất 2 nguyên tố, tích của chỉ số và hóa trị của nguyên tố này bằng tích của chỉ số và hóa trị của nguyên tố kia
Lời giải chi tiết:
1.
- Xét phân tử sulfur dioxide:
+ Nguyên tử O có hóa trị II
+ 1 nguyên tử S liên kết với 2 nguyên tử O
=> S có hóa trị IV
- Xét phân tử hydrogen sulfide:
+ H có hóa trị I
+ 1 nguyên tử S liên kết với 2 nguyên tử H.
+ Nguyên tử của nguyên tố khác liên kết được với bao nhiêu nguyên tử H thì nguyên tố đó có hóa trị bằng bấy nhiêu
=> S có hóa trị II
2. Hợp chất methane:
+ H có hóa trị I
+ 1 nguyên tử C liên kết với 4 nguyên tử H
+ Nguyên tử của nguyên tố khác liên kết được với bao nhiêu nguyên tử H thì nguyên tố đó có hóa trị bằng bấy nhiêu
=> C có hóa trị IV
3. Potassium oxide bao gồm 2 nguyên tố: K và O. Trong đó:
+ K có hóa trị I
+ O có hóa trị II
- Gọi công thức hóa học tổng quát của potassium oxide là: KxOy
- Áp dụng quy tắc hóa trị. Ta có: x.I = y.II

=> Công thức hóa học của potassium oxide là K2O
CH tr 44 CH
|
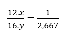
1. Khí carbon dioxide luôn có thành phần như sau: cứ 1 phần khối lượng carbon có tương ứng 2,667 phần khối lượng oxygen. Hãy lập công thức hóa học của khí carbon dioxide, biết khối lượng phân tử của nó là 44 amu 2. Hãy lập công thức phân tử của khí hydrogen sulfide, biết lưu huỳnh trong hợp chất này có hóa trị II. Tính thành phần phần trăm về khối lượng của lưu huỳnh và của hydrogen trong hợp chất đó. |
Phương pháp giải:
1. Gọi công thức phân tử của carbon dioxide là CxOy
Ta có: 12.x + 16.y = 44
Cứ 1 phần khối lượng carbon có tương ứng 2,667 phần khối lượng oxygen nghĩa là:

=> Tìm được x và y
2. Gọi công thức phân tử của khí hydrogen sulfide là HxSy
- S có hóa trị II, H có hóa trị I
- Theo quy tắc hóa trị: x.I = y.II
=> Tìm ra x và y
Lời giải chi tiết:
1.
- Khí carbon dioxide bao gồm 2 nguyên tố: C và O
- Gọi công thức phân tử của carbon dioxide là CxOy
- Vì khối lượng phân tử của carbon dioxide là 44 amu
=> 12.x + 16.y = 44 => 12x = 44 -16y (1)
- Cứ 1 phần khối lượng carbon có tương ứng 2,667 phần khối lượng oxygen nghĩa là:

Thay 12x ở phương trình (1) vào phương trình (2)
=> y = 2 và x = 1
=> Công thức hóa học của carbon dioxide là CO2
2.
- Khí hydrogen sulfide bao gồm 2 nguyên tố: H và S
- Gọi công thức phân tử của khí hydrogen sulfide là HxSy
- S có hóa trị II, H có hóa trị I
- Theo quy tắc hóa trị: x.I = y.II

=> Công thức hóa học của hydrogen sulfide là H2S
Lý thuyết
>> Xem chi tiết: Lý thuyết bài 7: Hóa trị và công thức hóa học - KHTN 7 Kết nối tri thức
Tải về



