Theo em, để xác định tốc độ chuyển động người ta phải đo những đại lượng nào và dùng những dụng cụ nào để đo? Tại sao. Hãy mô tả cách tiến hành kiểm tra chạy cự li ngắn 60 m của các em trong môn Thể dục. Cách tiến hành này có gì giống và khác với cách đo tốc độ trên. Đo tốc độ của một ô tô đồ chơi chạy trên một mặt dốc.
Tổng hợp đề thi học kì 1 lớp 7 tất cả các môn - Kết nối tri thức
Toán - Văn - Anh - Khoa học tự nhiên...
Câu hỏi tr 49 MĐ
|
Theo em, để xác định tốc độ chuyển động người ta phải đo những đại lượng nào và dùng những dụng cụ nào để đo? Tại sao? |
Phương pháp giải:
Dựa vào kiến thức đã học trong toán học cấp tiểu học
Lời giải chi tiết:
Để xác định tốc độ chuyển động, người ta phải đo quãng đường và thời gian chuyển động của vật
Dụng cụ:
+ Quãng đường: thước đo độ dài
+ Thời gian: sử dụng đồng hồ bấm giâ
Câu hỏi tr 49 CH
|
Hãy mô tả cách tiến hành kiểm tra chạy cự li ngắn 60 m của các em trong môn Giáo dục thể chất. Cách tiến hành này có gì giống và khác với cách đo tốc độ trên? |
Phương pháp giải:
Liên hệ trong lớp học
Lời giải chi tiết:
Cách tiến hành kiểm tra chạy cự li 60 m:
+ Đo khoảng cách từ điểm xuất phát đến điểm kết thúc là 60 m
+ Học sinh sẽ đứng ở đầu điểm xuất phát, giáo viên sẽ cầm đồng hồ bấm giây và hô xuất phát
+ Khi học sinh chạy đếm vạch đích thì giáo viên sẽ dừng đồng hồ bấm giây và xem kết quả đo thời gian
Cách tiến hành này có điểm giống và khác với cách đo trên là:
+ Giống nhau: đều là xác định quãng đường trước, đo thời gian sau
+ Khác nhau: cách đo ở trên là đo 3 lần rồi lấy kết quả trung bình, còn cách tiến hành này chỉ lấy kết quả 1 lần
Câu hỏi tr 50
|
Đo tốc độ của một ô tô đồ chơi chạy trên một mặt dốc. Dụng cụ: Một ô tô đồ chơi nhỏ, không có động cơ; một tấm gỗ phẳng, dài khoảng 80 cm; thước dài, bút dạ hoặc phấn; đồng hồ bấm giây cơ học hoặc điện tử; vài cuốn sách. Tiến hành: (1) Dùng tấm gỗ phẳng và vài cuốn sách hoặc giá đỡ thí nghiệm để tạo ra một mặt dốc (Hình 9.2). Dùng bút dạ hoặc phấn vẽ trên tấm gỗ vạch xuất phát và vạch đích cách nhau 50 cm hoặc 60 cm (2) Lập bảng ghi kết quả đo theo mẫu bảng 9.1 (3) Giữ ô tô trước vạch xuất phát. Thả ô tô đồng thời dùng đồng hồ bấm giây đo thời gian ô tô chạy từ vạch xuất phát tới vạch đích. Thực hiện 3 lần phép đo trên. (4) Ghi kết quả đo vào mẫu Bảng 9.1 và thực hiện các phép tính để điền vào chỗ trống của bảng Tính giá trị trung bình của s: \(s = \frac{{{s_1} + {s_2} + {s_3}}}{3}\) và của t: \(t = \frac{{{t_1} + {t_2} + {t_3}}}{3}\) từ đó xác định tốc độ: \(v = \frac{s}{t}\). (5) Nhận xét kết quả đo |
Lời giải chi tiết:
(1) (2) (3) Thực hiện theo hướng dẫn.
(4)
Số liệu tham khảo
|
Bảng 9.1. Bảng ghi kết quả thí nghiệm đo tốc độ |
||
|
Lần đo |
Quãng đường (cm) |
Thời gian (s) |
|
1 |
s1 = 59,9 cm |
t1 = 4,9 s |
|
2 |
s2 = 60 cm |
t2 = 5 s |
|
3 |
s3 = 60,1 cm |
t3 = 5,1 s |
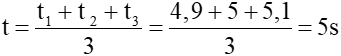
- Giá trị trung bình của s:

- Giá trị trung bình của t:

- Tốc độ: v=s/t=0,6/5=0,12m/s
(5) Nhận xét kết quả đo:
- Quãng đường, thời gian trong 3 lần đo có giá trị xấp xỉ bằng nhau, sai số không đáng kể.
- Giá trị trung bình thu được có độ chính xác cao hơn so với các kết quả đo trong các lần đo.
Câu hỏi tr 51 CH 1
|
Hãy dựa vào Hình 9.3 để mô tả sơ lược cách đo tốc độ dùng cổng quang điện và đồng hồ đo thời gian hiện số khi viên bi chuyển động từ cổng quang điện (3) đến cổng quan điện (4).
|
Lời giải chi tiết:
Cách đo tốc độ dùng cổng quang điện và đồng hồ thời gian hiện số
Bước 1: Điều chỉnh đồng hồ đo thời gian về 0 s
Bước 2: Tính quãng đường từ cổng quang điện (3) đến cổng quang điện (4)
Bước 3: Bấm nút ở nam châm điện để viên bi bắt đầu chuyển động
Bước 4: Quan sát thời gian hiện số trên đồng hồ, từ đó tính được tốc độ chuyển động của viên bi
Câu hỏi tr 51 CH 2
| Câu 2: Quan sát thí nghiệm biểu diễn trên lớp để kiểm tra mô tả của mình và tính tốc độ của viên bi |
Lời giải chi tiết:
Học sinh quan sát thí nghiệm trên lớp, thực hiện thí nghiệm và tính tốc độ của viên bi.
Câu hỏi tr 52
|
Camera của thiết bị bắn tốc độ ở Hình 9.4 ghi và tính được thời gian ô tô chạy từ vạch xuất mốc 1 sang vạch mốc 2 cách nhau 5 m là 0,35 s. a) Hỏi tốc độ của ô tô bằng bao nhiêu? b) Nếu tốc độ giới hạn của cung đường là 60 km/h thì ô tô này có vượt quá tốc độ giới hạn không? |
Phương pháp giải:
+ Biểu thức tính tốc độ \(v = \frac{s}{t}\)
+ 1 m/s = 3,6 km/h
Lời giải chi tiết:
a) Theo bài ta có:
+ Quãng đường ô tô đi được: s = 5 m.
+ Thời gian ô tô đi được: t = 0,35 s
Tốc độ chuyển động của ô tô là: \(v = \frac{s}{t} = \frac{5}{{0,35}} = \frac{{100}}{7} \approx 14,3(m/s)\)
b) Đổi \(\frac{{100}}{7}m/s = \frac{{100}}{7}.3,6km/h \approx 51,4km/h\)
Tốc độ giới hạn của cung đường là 60 km/h nên ô tô không vượt quá tốc độ giới hạn
Lý thuyết
>> Xem chi tiết: Lý thuyết Đo tốc độ - Khoa học tự nhiên 7


