Phát biểu nào sau đây là không đúng?
Tổng hợp đề thi học kì 1 lớp 11 tất cả các môn - Cánh diều
Toán - Văn - Anh - Lí - Hóa - Sinh
14.1
Phát biểu nào sau đây là không đúng?
A. Hydrocarbon thơm là những hydrocarbon trong phân tử có vòng benzene.
B. Các chất trong phân tử có vòng benzene được gọi là hydrocarbon thơm.
C. Những hydrocarbon trong phân tử có vòng benzene được gọi là hydrocarbon thơm.
D. Dãy đồng đẳng của benzene có công thức tổng quát CnH2n−6 (n ≥ 6).
Phương pháp giải:
Dựa vào kiến thức về khái niệm Arene (hydrocarbon thơm)
Lời giải chi tiết:
Đáp án B.
14.2
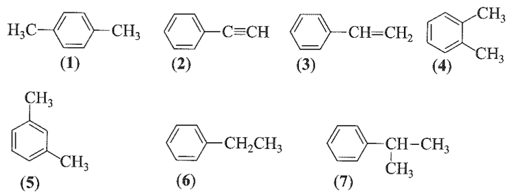
Cho các hydrocarbon X và Y có công thức cấu tạo sau:

Tên gọi của X và Y lần lượt là
A. p-xylene và m-xylene.
B. 1,2-dimethylbenzene và 1,3-dimethylbenzene.
C. m-xylene và o-xylene.
D. 1,3-dimethylbenzene và 1,2-dimethylbenzene.
Phương pháp giải:
Đánh số thứ tự C trên vòng benzene sao cho tổng số chỉ vị trí nhánh là nhỏ nhất.
Lời giải chi tiết:
Đáp án B.
14.3
Một arene Y có phần trăm khối lượng carbon bằng 92,307%. Trên phổ khối lượng của Y có peak ion phân tử ứng với giá trị m/z = 104. Công thức cấu tạo phân tử của Y là
A. C6H5CH=CH2. B. CH3C6H4CH3.
C. C6H5C☰CH. D. C6H5C2H5.
Phương pháp giải:
Từ % các nguyên tố tìm ra được công thức thực nghiệm. Sau đó tìm ra công thức phân tử và công thức cấu tạo qua phân tử khối.
Lời giải chi tiết:
Gọi công thức của X là CxHy
Phần trăm khối lượng của H trong X là: 100% - 92,307% = 7,693%
\(x:y = \frac{{\% C}}{{12}}:\frac{{\% H}}{1} = \frac{{92,307}}{{12}}:\frac{{7,693}}{1} = 1:1\)
Công thức thực nghiệm của X là CH.
M = 104 → (CH)n = 104 hay 13n = 104 → n = 8.
Công thức phân tử của X là C8H8.
Công thức cấu tạo phù hợp với X là C6H5CH=CH2.
Đáp án A.
14.4
Phát biểu nào sau đây là không đúng?
A. Toluene (C6H5CH3) không tác dụng được với nước bromine, dung dịch thuốc tím ở điều kiện thường.
B. Styrene (C6H5CH=CH2) tác dụng được với nước bromine, làm mất màu dung dịch thuốc tím ở điều kiện thường.
C. Ethylbenzene (C6H5CH2CH3) không tác dụng được với nước bromine, làm mất màu dung dịch thuốc tím khi đun nóng.
D. Naphthalene (C10H8) tác dụng được với nước bromine, làm mất màu dung dịch thuốc tím ở điều kiện thường.
Phương pháp giải:
Naphthalene (C10H8) không tác dụng với nước bromine, làm mất màu dung dịch thuốc tím KMnO4 ở điều kiện thường.
Lời giải chi tiết:
Đáp án D.
14.5
Cho một số arene có công thức cấu tạo sau:

Trong số các chất trên, có bao nhiêu chất là đồng phân cấu tạo của nhau?
A. 2. B. 4. C. 6. D. 5.
Phương pháp giải:
Các chất là đồng phân cấu tạo của nhau thì có cùng công thức phân tử.
Lời giải chi tiết:
(1); (4); (5); (6) là đồng phân cấu tạo của nhau.
Đáp án B.
14.6
Phát biểu nào sau đây về quá trình sản xuất các hydrocarbon trong công nghiệp là không đúng?
A. Người ta có thể khai thác/ điều chế toluene bằng quá trình reforming hexane và heptane.
B. Người ta có thể khai thác/ điều chế toluene và benzene từ nhựa than đá.
C. Người ta có thể khai thác/ điều chế benzene bằng phản ứng trimer hóa acetylene.
D. Người ta có thể khai thác benzene từ dầu mỏ hoặc điều chế benzene bằng phản ứng reforming hexane.
Phương pháp giải:
Dựa vào kiến thức về phương pháp điều chế các hydrocarbon
Lời giải chi tiết:
Đáp án C.
14.7
Chất lỏng (có công thức phân tử là C6H6) không màu, có mùi thơm nhẹ, không tan trong nước, là một dung môi hưu cơ thông dụng. tác dụng với chlorine khi chiếu sáng tạo nên chất rắn ; tác dụng với chlorine khi có xúc tác tạo ra chất lỏng và khí . Khí khi đi qua dung dịch silver nitrate tạo ra kết tủa trắng. Công thức của các chất lần lượt là:
\(\begin{array}{l}A.{C_6}{H_6}C{l_6};{C_6}{H_5}Cl;HCl\\B.{C_6}{H_5}Cl;{C_6}{H_6}C{l_6};HCl\\C.{C_6}{H_5}C{l_5}(C{H_3});{C_6}{H_5}C{H_2}Cl;HCl\\D.{C_6}{H_5}C{H_2}Cl;{C_6}{H_5}C{l_5}(C{H_3});HCl\end{array}\)
Phương pháp giải:
tính chất hóa học của benzene
Lời giải chi tiết:

Chọn đáp án A.
14.8
Chất nào sau đây khi đun nóng với dung dịch tạo thành hợp chất hữu cơ đơn chức?
A. C6H5CH3
B. m – CH3C5H4CH3
C. o – CH3C6H4CH3
D. p – CH3C6H4CH3
Phương pháp giải:
Chất khi đun nóng với dung dịch KMnO4/H2SO4 tạo thành hợp chất hữu cơ đơn chức là hợp chất phân tử có một nhánh liên kết với vòng benzene.
Lời giải chi tiết:
Đáp án A.
14.9
Để phân biệt styrene và phenylacetylene chỉ cần dùng chất nào sau đây?
A. Nước bromine. B. Dung dịch KMnO4.
C. Dung dịch AgNO3/NH3. D. Khí oxygen dư.
Phương pháp giải:
Các hợp chất có liên kết ba CC ở đầu mạch tạo tủa khi tác dụng với dung dịch AgNO3/NH3.
Lời giải chi tiết:
Đáp án C.
14.10
Hydrocarbon thơm có công thức phân tử C8H10 khi tác dụng với dung dịch KMnO4trong môi trường H2SO4tạo nên hợp chất hữu cơ đơn chức . phản ứng với chlorine có chiếu sáng tạo hợp chất hữu cơ chứa một nguyên tử trong phân tử (là sản phẩm chính). Các chất có công thức cấu tạo lần lượt là
A. C6H5CH2CH3; C6H5COOH; C6H5CHClCH3
B. C6H5CH2CH3; C6H5CH2COOH; C6H5CHClCH3
C. o – CH3C6H4CH3; o – HOOCCH4CHOOH; o – ClCH2C6H3CH2Cl
D. o – CH3C6H4CH3; o – HOOCCH4CHOOH; o – ClCH2C6H4CH2Cl
Phương pháp giải:
Chất khi đun nóng với dung dịch KMnO4/H2SO4 tạo thành hợp chất hữu cơ đơn chức là hợp chất phân tử có một nhánh liên kết với vòng benzene. Khi phản ứng với chlorine sản phẩm chính sẽ thế vào carbon bậc cao.
Lời giải chi tiết:
Đáp án A.
14.11
Cho 30mL dung dịch HNO3 đặc và 25 mL dung dịch H2SO4 đặc vào bình cầu ba cổ có lắp ống sinh hàn, phễu nhỏ giọt và nhiệt kế rồi làm lạnh hỗn hợp đến 30°C. Cho từng giọt benzene vào hỗn hợp phản ứng, đồng thời lắc đều và giữ nhiệt độ ở 60 °C trong 1 giờ. Để nguội bình, sau đó rót hỗn hợp phản ứng vào phễu chiết, hỗn hợp tách thành hai lớp. Tách bỏ phần acid ở bên dưới. Rửa phần chất lỏng còn lại bằng dung dịch sodium carbonate, sau đó rửa bằng nước, thu được chất lỏng nặng hơn nước, có màu vàng nhạt. Kết luận nào sau đây về phản ứng trên là không đúng?
A. Chất lỏng màu vàng nhạt là nitrobenzene.
B. Sulfuric acid có vai trò chất xúc tác.
C. Đã xảy ra phản ứng thế vào vòng benzene.
D. Nitric acid đóng vai trò là chất oxi hoá.
Phương pháp giải:
Chất OXH có số OXH giảm.
Lời giải chi tiết:
Đáp án D.
14.12
Một trong những ứng dụng của toluene là
A. làm phụ gia để tăng chỉ số octane của nhiên liệu.
B. làm chất đầu để sản xuất methylcyclohexane.
C. làm chất đầu để điều chế phenol.
D. làm chất đầu để sản xuất polystyrene.
Phương pháp giải:
Toluen chủ yếu được dùng làm dung môi hòa tan nhiều loại vật liệu như sơn, các loại nhựa tạo màng cho sơn, mực in, chất hóa học, cao su, mực in, chất kết dính,... Do có chỉ số octane khá cao nên toluen thường được sử dụng để tăng chỉ số octane của xăng.
Lời giải chi tiết:
Đáp án A.
14.13
Một số chất gây ô nhiễm môi trường như benzene, toluene có trong khí thải đốt cháy nhiên liệu xăng, dầu. Để giảm thiểu nguyên nhân gây ô nhiễm này cần
A. cấm sử dụng nhiên liệu xăng. B. hạn chế sử dụng nhiên liệu hoá thạch.
C. thay xăng bằng khí gas. D. cấm sử dụng xe cá nhân.
Phương pháp giải:
Dựa vào ảnh hưởng của benzen đến môi trường
Lời giải chi tiết:
Đáp án B.
14.14
Viết công thức cấu tạo và gọi tên các đồng đẳng của benzene có công thức phân tử C8H10.
Phương pháp giải:
viết các đồng phân mạch carbon và đồng phân vị trí nhánh.
Lời giải chi tiết:
Công thức cấu tạo các đồng đẳng của benzene có công thức phân tử C8H10:

|
ethylbenzene |
1,2-dimethylbenzenne |
1,3-dimethylbenzenne |
1,4-dimethylbenzenne |
14.15
Trình bày cách làm khi chỉ dùng một thuốc thử để phân biệt ba chất lỏng riêng biệt toluene, styrene, benzene.
Phương pháp giải:
Dựa vào sự khác biệt về tính chất hóa học của 3 chất.
Lời giải chi tiết:
Cho từng chất toluene, styrene, benzene vào bình cầu đựng dung dịch KMnO4, khuấy nhẹ ở điều kiện thường.
Khi đó, styrene phản ứng làm nhạt màu dung dịch KMnO4.
Đun nóng và khuấy hỗn hợp trong hai bình còn lại: toluene là chất làm mất màu/ nhạt màu dung dịch KMnO4;
Benzene thì không có hiện tượng đó.
14.16
Một hydrocarbon X trong phân tử có phần trăm khối lượng carbon bằng 94,117%. Trên phổ khối lượng của X có peak ion phân tử ứng với giá trị m/z = 102. X có khả năng tác dụng được với bromine khi có xúc tác FeBr3. Xác định công thức cấu tạo của X.
Phương pháp giải:
từ % các nguyên tố tìm ra được công thức thực nghiệm. Sau đó tìm ra công thức phân tử và công thức cấu tạo qua phân tử khối.
Lời giải chi tiết:
Phần trăm khối lượng của H trong X là: 100% - 94,117% = 5,833%
\(x:y = \frac{{\% C}}{{12}}:\frac{{\% H}}{1} = \frac{{94,117}}{{12}}:\frac{{5,883}}{1} = 4:3\)
Công thức thực nghiệm của X là C4H3.
M = 102 → (C4H3)n = 104 hay 51n = 102 → n = 2.
Công thức phân tử của X là C8H6. X có khả năng tác dụng được với bromine khi có xúc tác FeBr3 nên X có vòng benzene.
Công thức cấu tạo phù hợp với X là C6H5-CCH.