Công thức phân tử nào dưới đây không thể là của một arene?
Tổng hợp đề thi học kì 1 lớp 11 tất cả các môn - Chân trời sáng tạo
Toán - Văn - Anh - Lí - Hóa - Sinh
14.1
Công thức phân tử nào dưới đây không thể là của một arene?
A. C7H8. B. C10H8. C. C11H18. D. C8H8.
Phương pháp giải:
Arene là những hydrocarbon có chứa vòng benzene trong phân tử.
Benzene (C6H6) và các hydrocarbon thơm khác như toluene (C7H8), xylene (C8H10),... tạo thành dãy đồng đẳng có công thức chung CnH2n-6 (n ≥ 6).
Để kiểm tra công thức phân tử có phải là arene không, ta kiểm tra số H, nếu số H nhỏ hơn hoặc bằng số H của arene có nhóm thế no (CnH2n-6) thì công thức đó là arene.
Lời giải chi tiết:
Các công thức phân tử của arene là C7H8, C10H8, C8H8.
Arene có nhóm thế no, có công thức chung là CnH2n-6 (n ≥ 6) => Ứng với số C là 11, ta có công thức của arene có nhóm thế no là C11H16. Vậy một arene ứng với số C là 11, số H tối đa là 16. Ở đáp án C, ta thấy số H là 18, do đó đáp án C không hợp lý.
→ Chọn C.
14.2
Ứng với công thức phân tử C8H10, có bao nhiêu arene là đồng phân cấu tạo của nhau?
A. 4. B. 2. C. 5. D. 3.
Phương pháp giải:
Benzene (C6H6) và các hydrocarbon thơm khác như toluene (C7H8), xylene (C8H10),... tạo thành dãy đồng đẳng có công thức chung CnH2n-6 (n ≥ 6).
Lời giải chi tiết:

→ Chọn A.
14.3
Biết độ dài liên kết C=C là 134 pm, liên kết C-C là 154 pm. Thực tế, 3 liên kết π trong vòng benzene không cố định mà trải đều trên toàn bộ vòng benzene. Giá trị nào dưới đây phù hợp với độ dài liên kết giữa carbon và carbon trong phân tử benzene?
A. 125 pm. B. 132 pm. C. 160 pm. D. 139 pm.
Phương pháp giải:
Phương pháp phân tích nhiễu xạ tia X đã chỉ ra rằng tất cả độ dài liên kết carbon – carbon trong benzene đều giống hệt nhau. Khoảng cách này nhỏ hơn độ dài của liên kết C-C và dài hơn của liên kết C=C. Điều này cho thấy ba liên kết 7 trong phân tử benzene phải được trải đều trên toàn bộ vòng benzene.
Lời giải chi tiết:
Liên kết carbon – carbon trong benzene có độ dài nhỏ hơn độ dài của liên kết C-C (154 pm) và dài hơn của liên kết C=C (134 pm).
→ Chọn D.
14.4
Anthracene là một arene đa vòng, được điều chế từ than đá. Anthracene được dùng để sản xuất thuốc nhuộm alizarin đỏ, bảo quản gỗ, làm thuốc trừ sâu, ... Anthracene có công thức cấu tạo:

Công thức phân tử của anthracene là
A. C16H18. B. C14H8. C. C14H12. D. C14H10.
Phương pháp giải:
Benzene có công thức phân tử là C6H6, mỗi nhóm thế thay thế một H trên vòng benzene.
Lời giải chi tiết:
Công thức phân tử của anthracene là C14H10.
→ Chọn D.
14.5
Số liên kết π trong phân tử anthracene là bao nhiêu?
A. 9. B. 7. C. 8. D. 6.
Phương pháp giải:
Mỗi nối đôi C=C chứa 1 liên kết π.
Lời giải chi tiết:
Trong phân tử anthracene chứa 7 liên kết đôi C=C, dó đó số liên kết π trong phân tử anthracene là 7.
→ Chọn B.
14.6
Các arene thường có chỉ số octane cao nên được pha trộn vào xăng để nâng cao khả năng chống kích nổ của xăng, như toluene và xylene thường chiếm tới 25% xăng theo thể tích. Tỉ lệ này với benzene được EPA (The U.S. Environmental Protection Agency – Cơ Quan Bảo vệ môi trường Hoa Kì) quy định phải giới hạn ở mức không quá 1% vì chúng là chất có khả năng gây ung thư.
Giả sử xăng có khối lượng riêng là 0,88 g/cm3 thì trong 88 tấn xăng có pha trộn không quá bao nhiêu m3 benzene?
A. 1. B. 100. C. 0,01. D. 10.
Phương pháp giải:
Tính thể tích xăng, tính thể tích benzene từ thể tích xăng (benzene không chiếm quá 1% thể tích xăng).
Lời giải chi tiết:
Thể tích của 88 tấn xăng: \[{\rm{V}} = \frac{{\rm{m}}}{{\rm{D}}} = \frac{{88 \times {{10}^6}}}{{0,88}} = {10^8}({\rm{c}}{{\rm{m}}^3}) = 100{\rm{ }}({{\rm{m}}^3})\]
\[ \Rightarrow \] Thể tích benzen tối đa trộn vào xăng: \[{{\rm{V}}_{{\rm{benzene}}}} = 1\% \times {\rm{V}} = 1\% \times 100 = 1{\rm{ }}({{\rm{m}}^3})\]
→ Chọn A.
14.7
Gọi tên arene sau theo danh pháp thay thế

A. 1-methyl-2-ethylbenzene. B. 1-ethyl-2-methylbenzene.
C. 2-methyl-1-ethylbenzene. D. 1-ethyl-6-methylbenzene.
Phương pháp giải:
Nhiều hợp chất thơm được gọi theo tên thông thường (toluene, xylene,...). Khi gọi theo tên thay thế, vòng benzene được xem là mạch chính. Khi có hai nhóm thế trên vòng benzene, vị trí của chúng có thể được chỉ ra bằng các chữ số 1,2, 1,3 hay 1,4 hoặc bằng các chữ tương ứng là ortho (o), meta (m) hay para (p).
Lời giải chi tiết:
Đánh số trên vòng benzene sao cho tổng chỉ số các nhánh là nhỏ nhất. Trường hợp này, nếu gọi 2-ethyl-1-methylbenzene thì tổng chỉ số các nhánh vẫn là 3, trùng với cách đánh số như đã gọi tên ở hình trên. Tuy nhiên, nếu trùng nhau, phải ưu tiên cho nhánh có thứ tự chữ cái đứng đầu mang chỉ số nhỏ. Do đó tên gọi đúng là 1-ethyl-2-methylbenzene.
→ Chọn B.
14.8
Cho hợp chất sau:

Tên gọi của hợp chất theo danh pháp thay thế là
A. 4-chloro-1-bromo-3-nitrobenzene. B. 4-bromo-1-chloro-2-nitrobenzene.
C. 4-chloro-1-bromo-5-nitrobenzene. D. 4-bromo-1-chloro-6-nitrobenzene.
Phương pháp giải:
Nhiều hợp chất thơm được gọi theo tên thông thường (toluene, xylene,...). Khi gọi theo tên thay thế, vòng benzene được xem là mạch chính. Khi có hai nhóm thế trên vòng benzene, vị trí của chúng có thể được chỉ ra bằng các chữ số 1,2, 1,3 hay 1,4 hoặc bằng các chữ tương ứng là ortho (o), meta (m) hay para (p).
Lời giải chi tiết:

→ Chọn B.
14.9
Cho hợp chất sau:

Tên gọi của hợp chất theo danh pháp thay thế là
A. 1-bromo-3-methyl-4-nitrobenzene. B. 4-bromo-2-methyl-1-nitrobenzene.
C. 1-methyl-2-nitro-4-bromobenzene. D. 4-bromo-1-nitro-2-methylbenzene.
Phương pháp giải:
Nhiều hợp chất thơm được gọi theo tên thông thường (toluene, xylene,...). Khi gọi theo tên thay thế, vòng benzene được xem là mạch chính. Khi có hai nhóm thế trên vòng benzene, vị trí của chúng có thể được chỉ ra bằng các chữ số 1,2, 1,3 hay 1,4 hoặc bằng các chữ tương ứng là ortho (o), meta (m) hay para (p).
Lời giải chi tiết:

--> Chọn B
14.10
Áp suất thể hiện bởi hơi xuất hiện trên bề mặt chất lỏng (hoặc rắn) được gọi là áp suất hơi. Một chất lỏng (hoặc rắn) có áp suất hơi cao ở nhiệt độ bình thường được gọi là chất dễ bay hơi. Khi nhiệt độ của chất lỏng (hoặc rắn) tăng, động năng của các phân tử cũng tăng lên làm cho số phân tử chuyển thành thể hơi tăng theo, do đó áp suất hơi tăng.
Đồ thị dưới đây biểu diễn áp suất hơi của 3 chất lỏng khác nhau là benzene (C6H6), tetrahydrofuran (C4H8O) và acetone (C3H6O) theo nhiệt độ.
Sử dụng đồ thị trên để trả lời các câu hỏi sau đây:

a) Trong cùng một nhiệt độ, chất nào dễ bay hơi nhất trong số 3 chất lỏng nêu trên?
b) Chỉ dựa vào đồ thị, ở điều kiện áp suất bình thường (1 atm hay 760 torr khoảng 1,013 bar), mỗi chất lỏng trên có nhiệt độ sôi là bao nhiêu?
c) Nếu đặt một cốc chứa benzene lỏng vào trong một bình kín chứa hơi benzene ở 73 °C và 600 torr (khoảng 0,799 bar). Sau 10 phút, thể tích chất lỏng trong cốc có thay đổi không? Giải thích.
Phương pháp giải:
a) Một chất lỏng (hoặc rắn) có áp suất hơi cao ở nhiệt độ bình thường được gọi là chất dễ bay hơi.
b) Vẽ thêm một đường thẳng nằm ngang ứng với áp suất hơi 760 torr, đường thẳng này cắt mỗi đường đồ thị tại một điểm. Dóng 3 điểm này xuống trục nhiệt độ, ta được nhiệt độ sôi tương ứng với áp suất hơi 760 torr.
c) Đặt cốc benzene trong bình kín ở 73 °C và 600 torr, sau 10 phút áp suất hơi của benzene trong cốc và áp suất hơi trong bình kín bằng nhau nên không xảy ra sự chuyển pha của benzene.
Lời giải chi tiết:
a) Trên đồ thị, ta thấy ở cùng nhiệt độ như nhau, áp suất hơi của acetone lớn nhất, tiếp đến là tetrahydrofuran và cuối cùng là benzene. Do đó ở cùng nhiệt độ như nhau, acetone là chất dễ bay hơi nhất.
b) Căn cứ vào đồ thị đã cho, ở điều kiện áp suất 1 atm hay 760 torr, các chất acetone, tetrahydrofuran và benzene lần lượt có nhiệt độ sôi tương ứng là 56 °C, 65 °C và 80,1°C.

c) Nếu đặt một cốc chứa benzene lỏng vào trong một bình kín chứa hơi benzene ở 73 °C và 600 torr. Sau 10 phút, thể tích chất lỏng trong cốc vẫn không thay đổi. Đó là do trong điều kiện nhiệt độ và áp suất đã nêu, áp suất hơi của benzene trong cốc và áp suất hơi trong bình kín bằng nhau nên không xảy ra sự chuyển pha của benzene.
14.11
Viết công thức cấu tạo và gọi tên các arene có công thức phân tử C9H12.
Phương pháp giải:
Nhiều hợp chất thơm được gọi theo tên thông thường (toluene, xylene,...). Khi gọi theo tên thay thế, vòng benzene được xem là mạch chính. Khi có hai nhóm thế trên vòng benzene, vị trí của chúng có thể được chỉ ra bằng các chữ số 1,2, 1,3 hay 1,4 hoặc bằng các chữ tương ứng là ortho (o), meta (m) hay para (p).
Lời giải chi tiết:
Arene có công thức phân tử C9H12 là arene có nhóm thế no.

14.12
AQI (Air Quality Index – chỉ số chất lượng không khí) được xem là thước đo mức độ ô nhiễm không khí. Khi chỉ số AQI càng lớn thì những rủi ro đối với sức khoẻ cộng đồng càng cao. Chỉ số AQI tập trung vào các vấn đề về sức khoẻ có thể gặp trong vòng vài giờ hoặc vài ngày sau khi hít thở không khí ô nhiễm.
EPA tính toán chỉ số AQI với 5 thông số ô nhiễm không khí chủ yếu gồm ozone mặt đất; ô nhiễm phân tử (đánh giá quá chỉ số bụi mịn PM 2.5 và PM 10); carbon monoxide (CO); sulfur dioxide (SO2) và nitrogen dioxide (NO2). Đối với mỗi chất gây ô nhiễm, EPA đã thiết lập các tiêu chuẩn chất lượng không khí, trong đó, từng khoảng giá trị AQI được quy định để phản ánh mức độ ô nhiễm không khí. Ví dụ đối với carbon monoxide, EPA đưa ra thang cảnh báo sau:

Khí carbon monoxide được thải ra từ hầu hết các nguồn phát thải của các phương tiện giao thông đường bộ, đường thuỷ, đường hàng không, nhà máy công nghiệp, cháy rừng, ... Theo em, carbon monoxide đạt mức cao nhất trong những ngày thời tiết lạnh hay nắng nóng? Vì sao?
Phương pháp giải:
Ở nhiệt độ cao, khí carbon monoxide phản ứng với oxygen trong không khí, làm giảm nồng độ khí carbon monoxide.
Lời giải chi tiết:
Trời lạnh làm quá trình cháy xảy ra khó hoàn toàn so với trời nắng nóng. Do đó carbon monoxide đạt mức cao nhất trong những ngày thời tiết lạnh.
14.13
Cumene (isopropylbenzene) là một arene ở thể lỏng trong điều kiện thường, có mùi dễ chịu. Cumene được sản xuất từ quá trình chưng cất nhựa than đá và các phân đoạn dầu mỏ hoặc bằng cách alkyl hoá benzene với propene, xúc tác là acid.
Khoảng 95% cumene được sử dụng làm chất trung gian trong sản xuất phenol và acetone. Các ứng dụng khác như trong sản xuất styrene, a-methylstyrene, acetophenone, chất tẩy rửa; làm chất pha loãng cho sơn; làm dung môi cho chất béo và nhựa; in ấn và sản xuất cao su. Một lượng nhỏ được sử dụng trong pha chế xăng và là thành phần của nhiên liệu hàng không có chỉ số octane cao.
Đã có bằng chứng rõ rệt về khả năng gây ung thư của cumene đối với chuột. Ở người, cumene thuộc nhóm có thể gây ung thư. Cumene được thải ra từ quá trình đốt cháy không hoàn toàn nhiên liệu hoá thạch từ các phương tiện giao thông, dầu tràn, vận chuyển và phân phối nhiên liệu hoá thạch hoặc bốc hơi từ các trạm xăng. Ngoài ra, các nguồn thải khác từ việc sử dụng cumene làm dung môi, từ các nhà máy dệt và kể cả từ khói thuốc lá, ... cũng là một trong những nguyên nhân gây nên bệnh ung thư ở người.
Bảng sau đây thống kê một số nguồn sản sinh cumene trong đời sống, sinh hoạt, sản xuất.
|
Nguồn |
Tỉ lệ phát thải |
Ghi chú |
|
Sản xuất |
0,08 kg/tấn cumene |
Được kiểm soát |
|
0,27kg/tấn cumene |
Không được kiểm soát |
|
|
Xe chạy động cơ xăng |
0,0002 – 0,0009g/km |
Có bộ chuyển đổi xúc tác |
|
0,002 g/km |
Không có bộ chuyển đổi xúc tác |
|
|
Máy photocopy |
140 – 220 µg/h |
Hoạt động liên tục |
Bộ chuyển đổi xúc tác trong động cơ xăng có khả năng giảm thiểu tối đa bao nhiêu phần trăm cumene so với trường hợp không có bộ chuyển đổi xúc tác?
Phương pháp giải:

Tỉ lệ phát thải của xe chạy động cơ xăng khi không có bộ chuyển đổi xúc tác là 0,002 g/km.
Tỉ lệ phát thải tối thiểu của xe chạy động cơ xăng khi có bộ chuyển đổi xúc tác là 0,0002 g/km.
Lời giải chi tiết:
Phần trăm tối đa về khả năng giảm thiểu cumene khi có bộ chuyển đổi xúc tác so với trường hợp không có bộ chuyển đổi xúc tác là: \[\frac{{0,002 - 0,0002}}{{0,002}} \times 100\% = 90\% \]
14.14
a) Tính khối lượng cumene tối đa phát thải từ 1 000 000 xe ô tô chạy động cơ xăng (có bộ chuyển đổi xúc tác) trong 1 năm. Giả sử bình quân một tháng, mỗi xe ô tô chạy 3 000 km.
b) Một cửa hàng có 10 máy photocopy. Bình quân mỗi máy sử dụng liên tục 12 giờ/ngày. Trong một tháng (30 ngày), khối lượng cumene tối đa phát thải từ 1 000 cửa hàng có quy mô trên là bao nhiêu?
Phương pháp giải:
a) Khối lượng cumene tối đa phát thải từ 1 xe ô tô chạy động cơ xăng là 0,0009 g/km.
b) Khối lượng cumene tối đa phát thải từ 1 máy photocopy sử dụng liên tục là 220 µg/h.
Lời giải chi tiết:
a) Khối lượng cumene tối đa phát thải từ 1 000 000 xe ô tô chạy động cơ xăng (có bộ chuyển đổi xúc tác) trong 1 năm: \[0,0009 \times 3000 \times 1000000 \times 12 = 32400000{\rm{ }}({\rm{g}}) = 32,4\] (tấn)
b) Trong một tháng (30 ngày), khối lượng cumene tối đa phát thải từ 1 000 cửa hàng có quy mô 10 máy photocopy mỗi máy sử dụng liên tục 12 giờ/ngày: \[220 \times 12 \times 10 \times 1000 \times 30 = 792 \times {10^6}(\mu {\rm{g) = 792 (g)}}\]
14.15
Dùng công thức cấu tạo, hãy viết phương trình hoá học ở các phản ứng sau:

Phương pháp giải:
a) Phản ứng cộng bromine xảy ra ở nhóm thế -CH=CH2 của styrene.
b) và c) là phản ứng thế H trên nhân benzene của alkylbenzene. Quy tắc chung: Phản ứng thế nguyên tử H ở vòng thơm của các alkylbenzene dễ hơn benzene, ưu tiên xảy ra ở các vị trí ortho và para so với nhóm alkyl.
d) Phản ứng cộng hydrogen vào các liên kết π của alkylbenzene.
e) và g) là các phản ứng oxi hóa của alkylbenzene với dung dịch KMnO4 trong môi trường acid.
Lời giải chi tiết:


d) 
e) \[{\rm{5}}{{\rm{C}}_{\rm{6}}}{{\rm{H}}_{\rm{5}}}{\rm{C}}{{\rm{H}}_{\rm{2}}}{\rm{C}}{{\rm{H}}_{\rm{3}}}{\rm{ + 12KMn}}{{\rm{O}}_{\rm{4}}}{\rm{ + 18}}{{\rm{H}}_{\rm{2}}}{\rm{S}}{{\rm{O}}_{\rm{4}}} \to {\rm{5}}{{\rm{C}}_{\rm{6}}}{{\rm{H}}_{\rm{5}}}{\rm{COOH + 6}}{{\rm{K}}_{\rm{2}}}{\rm{S}}{{\rm{O}}_{\rm{4}}}{\rm{ + 12MnS}}{{\rm{O}}_{\rm{4}}}{\rm{ + 5C}}{{\rm{O}}_{\rm{2}}}{\rm{ + 28}}{{\rm{H}}_{\rm{2}}}{\rm{O}}\]

14.16
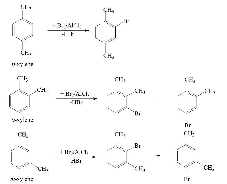
Với sự hiện diện của bột nhôm, có bao nhiêu sản phẩm monobromo dự kiến thu được do quá trình bromine hoá p-xylene, o-xylene và m-xylene. Viết các phương trình phản ứng minh hoạ.
Phương pháp giải:
Quy tắc chung: Phản ứng thế nguyên tử H ở vòng thơm của các alkylbenzene dễ hơn benzene, ưu tiên xảy ra ở các vị trí ortho và para so với nhóm alkyl.
Lời giải chi tiết:

14.17
(H) là hydrocarbon có công thức phân tử là C9H12. (H) không làm mất màu nước bromine nhưng (H) làm mất màu dung dịch thuốc tím đã được acid hoá (ví dụ dung dịch KMnO4 trong H2SO4), thu được sản phẩm là terephthalic acid. Xác định công thức cấu tạo của (H) và viết phương trình phản ứng xảy ra. Cho biết công thức cấu tạo của terephthalic acid là:

Phương pháp giải:
Nhóm thế alkyl không no của arene làm mất màu nước bromine ở điều kiện thường.
Khi phản ứng với tác nhân oxi hóa mạnh như KMnO4, mạch nhánh alkyl thường bị gãy mạch ở nguyên tử carbon liên kết trực tiếp với vòng thơm khi tương tác với các chất oxi hoá mạnh.
Lời giải chi tiết:
Vì (H) không làm làm mất màu nước bromine, chứng tỏ nhóm thế alkyl của (H) no. Khi phản ứng với dung dịch thuốc tím đã được acid hoá (ví dụ dung dịch KMnO4 trong H2SO4), thu được sản phẩm là terephthalic acid. Do đó, công thức hóa học của (H) là:

14.18
Trong phản ứng nitro hoá benzene và các hợp chất có vòng benzene, nếu quy ước tốc độ phản ứng tại một trong các carbon bất kì của benzene là 1,0 thì tỉ lệ tốc độ phản ứng tương đối của các vị trí trong vòng benzene ở một số hợp chất được cho như sau:

Từ dữ liệu tỉ lệ tốc độ phản ứng tương đối của các vị trí trong vòng benzene của một số hợp chất đã cho trên, hãy cho biết:
a) Nhóm thế nào làm tăng hoạt và giảm hoạt trong vòng benzene ở trên.
b) Nitro hoá toluene thu được hỗn hợp 3 sản phẩm là o-nitrotoluene, m-nitrotoluene và p-nitrotoluene với tỉ lệ phần trăm mỗi sản phẩm là bao nhiêu?
c) Câu hỏi tương tự khi nitro hoá tert-butylbenzene thu được hỗn hợp 3 sản phẩm ở các vị trí ortho, meta và para? d) Vì sao sản phẩm thế ở vị trí ortho trong phản ứng nitro hoá tert-butylbenzene lại giảm hẳn so với trong phản ứng nitro hoá toluene?
e) Nhận xét tỉ lệ phần trăm sản phẩm thế meta trong các phản ứng nitro hoá toluene và tert-butylbenzene. Rút ra kết luận.
Phương pháp giải:
Quy luật thế vào vòng benzene: Khi trong vòng benzene đã có sẵn một nhóm alkyl, như –CH3 (hay các nhóm –OH, –NH2, ....), phản ứng thế vào vòng sẽ dễ dàng hơn, với hướng thế ưu tiên vào các vị trí ortho và para. Ngược lại, nếu vòng benzene đã có sẵn một nhóm –NO2 (hay –COOH, —COOR, —CHO, ...), phản ứng thế vào vòng sẽ khó hơn và hướng thế ưu tiên vào các vị trí meta. Nhóm –Cl làm khả năng phản ứng thế trong vòng benzene khó hơn, nhưng hướng thế lại ưu tiên thế vào các vị trí ortho và para.
Lời giải chi tiết:
a) Từ dữ liệu bài cho, ta thấy các nhóm thế alkyl làm tăng hoạt vòng benzene, các nhóm thế halogen và ester (-COOCH3) làm giảm hoạt vòng benzene.
b) Khi nitro hóa toluen, nhóm thế nitro thế vào các vị trí ortho, meta, para trên nhân benzene. Trong đó có 2 vị trí ortho, 2 vị trí meta và 1 vị trí para.
Tỉ lệ phần trăm của sản phẩm thế vào vị trí ortho: \[\frac{{43 \times 2}}{{43 \times 2 + 3 \times 2 + 55}} \times 100\% \approx 58,5\% \]
Tỉ lệ phần trăm của sản phẩm thế vào vị trí meta: \[\frac{{3 \times 2}}{{43 \times 2 + 3 \times 2 + 55}} \times 100\% \approx 4,08\% \]
Tỉ lệ phần trăm của sản phẩm thế vào vị trí para: \[100\% - (58,5\% + 4,08\% ) = 37,42\% \]
c) Khi nitro hoá tert-butylbenzene thu được hỗn hợp 3 sản phẩm có nhóm nitro được thế ở các vị trí ortho, meta và para. Trong đó có 2 vị trí ortho, 2 vị trí meta và 1 vị trí para.
Tỉ lệ phần trăm của sản phẩm thế vào vị trí ortho: \[\frac{{8 \times 2}}{{8 \times 2 + 4 \times 2 + 75}} \times 100\% \approx 16,16\% \]
Tỉ lệ phần trăm của sản phẩm thế vào vị trí meta: \[\frac{{4 \times 2}}{{8 \times 2 + 4 \times 2 + 75}} \times 100\% \approx 8,08\% \]
Tỉ lệ phần trăm của sản phẩm thế vào vị trí para: \[100\% - (16,16\% + 8,08\% ) = 75,76\% \]
d) Nhóm tert-butyl có kích thước lớn làm cản trở sự tấn công tại các vị trí ortho nên phần trăm sản phẩm thế ortho vào tert-butylbenzene giảm so với toluene.
e) Tỉ lệ phần trăm sản phẩm thế meta trong các phản ứng nitro hoá toluene và tert-butylbenzene đều thấp, chứng tỏ các nhóm alkyl làm cho phản ứng có hướng thế ưu tiên vào các vị trí ortho và para hơn so với vào vị trí meta.
14.19
Trong phản ứng nitro hoá benzene và các hợp chất có vòng benzene, nếu quy ước tốc độ phản ứng tại một trong các carbon bất kì của benzene là 1,0 thì tỉ lệ tốc độ phản ứng tương đối của các vị trí trong vòng benzene ở một số hợp chất được cho như sau:

Cũng từ dữ liệu đã cho trên, hãy cho biết:
a) Phần trăm sản phẩm thế ở các vị trí ortho, meta, para khi nitro hoá chlorobenzene và methyl benzoate.
b) So sánh khả năng nitro hoá của chlorobenzene và methyl benzoate với khả năng nitro hoá của toluene và tert-butylbenzene. Rút ra kết luận.
c) Phát biểu quy luật thế vào vòng benzene.
Phương pháp giải:
Quy luật thế vào vòng benzene: Khi trong vòng benzene đã có sẵn một nhóm alkyl, như –CH3 (hay các nhóm –OH, –NH2, ....), phản ứng thế vào vòng sẽ dễ dàng hơn, với hướng thế ưu tiên vào các vị trí ortho và para. Ngược lại, nếu vòng benzene đã có sẵn một nhóm –NO2 (hay –COOH, —COOR, —CHO, ...), phản ứng thế vào vòng sẽ khó hơn và hướng thế ưu tiên vào các vị trí meta. Nhóm –Cl làm khả năng phản ứng thế trong vòng benzene khó hơn, nhưng hướng thế lại ưu tiên thế vào các vị trí ortho và para.
Lời giải chi tiết:
a) - Khi nitro hóa chlorobenzene, nhóm thế nitro thế vào các vị trí ortho, meta, para trên nhân benzene. Trong đó có 2 vị trí ortho, 2 vị trí meta và 1 vị trí para.
Tỉ lệ phần trăm của sản phẩm thế vào vị trí ortho: \[\frac{{0,03 \times 2}}{{0,03 \times 2 + 0 \times 2 + 0,14}} \times 100\% = 30\% \]
Tỉ lệ phần trăm của sản phẩm thế vào vị trí meta: \[\frac{{0 \times 2}}{{0,03 \times 2 + 0 \times 2 + 0,14}} \times 100\% = 0\% \]
Tỉ lệ phần trăm của sản phẩm thế vào vị trí para: \[100\% - 30\% = 70\% \]
- Khi nitro hóa methyl benzoat, nhóm thế nitro thế vào các vị trí ortho, meta, para trên nhân benzene. Trong đó có 2 vị trí ortho, 2 vị trí meta và 1 vị trí para.
Tỉ lệ phần trăm của sản phẩm thế vào vị trí ortho: \[\frac{{0,0025 \times 2}}{{0,0025 \times 2 + 0,008 \times 2 + 0,001}} \times 100\% \approx 22,73\% \]
Tỉ lệ phần trăm của sản phẩm thế vào vị trí meta: \[\frac{{0,008 \times 2}}{{0,0025 \times 2 + 0,008 \times 2 + 0,001}} \times 100\% \approx 72,73\% \]
Tỉ lệ phần trăm của sản phẩm thế vào vị trí para: \[100\% - (22,73\% + 72,73\% ) = 4,54\% \]
b) Khả năng nitro hoá của chlorobenzene và methyl benzoate giảm hơn so với khả năng nitro hoá của toluene và tert-butylbenzene. Tuy nhiên hướng thế của chlorobenzene ưu tiên vào các vị trí ortho và para, trong khi hướng thế của methyl benzoate ưu tiên vào vị trí meta.
c) Quy luật thế vào vòng benzene: Khi trong vòng benzene đã có sẵn một nhóm alkyl, như –CH3 (hay các nhóm –OH, –NH2, ....), phản ứng thế vào vòng sẽ dễ dàng hơn, với hướng thế ưu tiên vào các vị trí ortho và para. Ngược lại, nếu vòng benzene đã có sẵn một nhóm –NO2 (hay –COOH, —COOR, —CHO, ...), phản ứng thế vào vòng sẽ khó hơn và hướng thế ưu tiên vào các vị trí meta. Nhóm –Cl làm khả năng phản ứng thế trong vòng benzene khó hơn, nhưng hướng thế lại ưu tiên thế vào các vị trí ortho và para.
14.20
Benzene là một hoá chất công nghiệp được sử dụng rất rộng rãi. Benzene được sử dụng để sản xuất chất dẻo, nhựa, sợi tổng hợp, chất bôi trơn cao su, thuốc nhuộm, chất tẩy rửa, dược phẩm và thuốc trừ sâu, ...
Benzene có thể được tìm thấy trong keo dán, chất kết dính, sản phẩm tẩy rửa, dụng cụ tẩy sơn, khói thuốc lá và xăng. Trong tự nhiên, khi các ngọn núi lửa hoạt động hay cháy rừng, người ta phát hiện ra sự có mặt của benzene. Ngoài ra, benzene còn được tìm thấy trong dầu thô và là thành phần không thể thiếu của xăng. Vì benzene dễ bay hơi nhanh khỏi nước hoặc đất nên việc benzene rò rỉ từ các bể chứa hoặc bãi chôn lấp sẽ làm ô nhiễm các giếng nước sinh hoạt lân cận.
Cách tiếp xúc phổ biến nhất với benzene là khi chúng ta đổ xăng. Ngoài ra, khi sử dụng các sản phẩm có chứa benzene nêu trên hoặc khi tiếp xúc với nguồn nước ô nhiễm có chứa benzene, chúng ta đã vô tình đưa benzene vào cơ thể.
Em hãy đề nghị cách để giảm thiểu sự tiếp xúc với benzene trong đời sống.
Phương pháp giải:
Hạn chế hoặc cách li sự tiếp xúc benzene trong các sản phẩm chứa benzene.
Lời giải chi tiết:
Để giảm thiểu sự tiếp xúc với benzene, cần chú ý:
• Khi pha chế xăng, cần phải sử dụng mặt nạ chống độc để tránh hít phải hơi xăng.
• Khi đổ xăng cần phải được tiến hành trong điều kiện thông thoáng.
• Cần phải bảo quản xăng trong các thùng kín.
• Không pha chế hoặc xử lí xăng trong nhà hoặc ga ra.
• Thùng chứa và máy móc vận hành xăng không để trong nhà. Cẩn thận trong khi làm việc với các loại keo dán, chất kết dính, sản phẩm tẩy rửa, dụng cụ tẩy sơn,... Ngoài ra hơi benzene cũng có trong khói thuốc lá, khí thải của nhiều ngành công nghiệp và ô tô. Những người sống gần đường cao tốc hoặc các khu công nghiệp có thể dễ tiếp xúc với benzene hơn.
14.21
Toluene có giá trị thương mại thấp hơn nhiều so với benzene. Chính vì lí do đó nên người ta đã tiến hành loại bỏ nhóm methyl khỏi toluene bằng một quá trình gọi là dealkyl hoá. Toluene được trộn với hydrogen ở nhiệt độ từ 550 °C đến 650 °C và áp suất từ 30 atm đến 50 atm, với hỗn hợp gồm silicon dioxide (SiO2) và aluminium oxide (Al2O3) làm xúc tác.
Viết phương trình phản ứng dealkyl hoá toluene thành benzene.
Phương pháp giải:
Chất phản ứng: Toluene, hydrogen.
Sản phẩm: benzene.
Điều kiện phản ứng: 550 – 650 oC, 30 – 50 atm, xúc tác SiO2, Al2O3.
Lời giải chi tiết:

14.22
Với cách viết công thức cấu tạo gồm 3 liên kết đôi xen lẫn 3 liên kết đơn trong vòng 6 cạnh, có thể gọi tên benzene là cyclohexe-1,3,5-triene được không? Vì sao?
Phương pháp giải:
Liên kết π trong vòng benzene có đặc điểm đặc biệt gọi là tính delocalization, tức là các electron π trong liên kết π không thuộc về một cặp nguyên tử nhất định mà được chia sẻ trong toàn bộ vòng benzene. Điều này xảy ra do trong vòng benzene, sáu nguyên tử carbon liên kết với nhau theo mô hình hình vòng, mỗi liên kết carbon-carbon có một liên kết σ và một liên kết π. Các electron π trong liên kết π này tạo ra một hệ thống electron tự do dịch chuyển trên toàn bộ vòng benzen.
Lời giải chi tiết:
Với cách viết công thức cấu tạo gồm 3 liên kết đôi xen lẫn 3 liên kết đơn trong vòng 6 cạnh như sau:

Ta không thể gọi tên benzene là cyclohexe-1,3,5-triene vì:
+ Liên kết π của cyclohexe-1,3,5-triene ở vị trí cố định là 1, 3 và 5 trên vòng.
+ Liên kết π của benzene được trải đều trên toàn bộ vòng benzene, tức là các electron π không cố định tại các vị trí 1, 3, 5 như cyclohexe-1,3,5-triene.
14.23
Khi cho ethylbenzene phản ứng với bromine khan, xúc tác FeBr2 thu được hỗn hợp 3 sản phẩm thế theo sơ đồ sau:

Giải thích tỉ lệ % các sản phẩm hình thành.
Phương pháp giải:
Quy tắc chung: Phản ứng thế nguyên tử H ở vòng thơm của các alkylbenzene dễ hơn benzene, ưu tiên xảy ra ở các vị trí ortho và para so với nhóm alkyl.
Lời giải chi tiết:
Khi vòng benzene có gắn nhóm thế alkyl, phản ứng thế nguyên tử hydrogen ở vòng benzene xảy ra dễ dàng hơn so với benzene và ưu tiên thế vào vị trí ortho hoặc para so với nhóm alkyl. Do đó m-bromoethylbenzene chỉ tạo thành ở dạng vết (<1%).
Tuy nguyên tử bromine đã ưu tiên thế vào các vị trí ortho và para, nhưng phản ứng thế ở vị trí ortho khó khăn hơn so với vị trí para, do bị cản trở không gian. Do đó o-bromoethylbenzene (38%) hình thành ít hơn so với p-bromoethylbenzene (62%).