Số đồng phân cấu tạo có cùng công thức phân tử C4H9Cl là
Tổng hợp đề thi học kì 1 lớp 11 tất cả các môn - Cánh diều
Toán - Văn - Anh - Lí - Hóa - Sinh
15.1
Số đồng phân cấu tạo có cùng công thức phân tử C4H9Cl là
A. 3. B. 5. C. 4. D. 2.
Phương pháp giải:
dẫn xuất halogen có đồng phân mạch carbon và đồng phân vị trí nhóm chức.
Lời giải chi tiết:
Có 4 công thức thỏa mãn là CH3CH2CH2CH2Cl, CH3CH2CH(Cl)CH3, (CH3)2CHCH2Cl, (CH3)3CCl.
Đáp án C.
15.2
Cho vài giọt bromobenzene vào ống nghiệm đã chứa sẵn nước, lắc nhẹ rồi để yên trong vài phút. Phát biểu nào sau đây là đúng?
A. Chất lỏng trong ống nghiệm phân thành hai lớp.
B. Xảy ra phản ứng thế halide, tạo ra hợp chất có công thức là C6H5OH.
C. Bromobenzene tan vào nước tạo ra chất lỏng màu vàng nâu.
D. Xảy ra phản ứng tách halide, tạo ra hợp chất có công thức là C6H4.
Phương pháp giải:
Bromobenzene là dẫn xuất halogen ở thể lỏng, nặng hơn nước và không tan trong nước nên khi cho vào ống nghiệm, bromobenzene và nước sẽ phân thành 2 lớp.
Lời giải chi tiết:
Đáp án A.
15.3
Những phát biểu nào sau đây là đúng?
(a) Do phân tử phân cực nên dẫn xuất halogen không tan trong dung môi hữu cơ như hydrocarbon, ether.
(b) Nhiều dẫn xuất halogen có hoạt tính sinh học.
(c) Trong điều kiện thường, dẫn xuất halogen có thể ở dạng rắn, lỏng hay khí tùy thuộc vào khối lượng phân tử, bản chất và số lượng nguyên tử halogen.
(d) Nhiều dẫn xuất halogen được sử dụng trong tổng hợp các chất hữu cơ.
(e) Do liên kết C−X (X là F, Cl, Br, I) không phân cực nên dẫn xuất halogen dễ tham gia vào nhiều phản ứng hoá học.
Phương pháp giải:
Dựa vào kiến thức về dẫn xuất halogen
Lời giải chi tiết:
(a) Sai. Dẫn xuất halogen tan tốt trong dung môi hữu cơ kém phân cực như hydrocarbon, ether.
(b) Đúng.
(c) Đúng.
(d) Đúng.
(e) Sai. Do liên kết C−X (X là F, Cl, Br, I) phân cực nên dẫn xuất halogen dễ tham gia vào nhiều phản ứng hoá học.
15.4
Những thí nghiệm nào sau đây xảy ra phản ứng tạo sản phẩm chính là alcohol?
(a) Đun nóng C6H5CH2Cl trong dung dịch NaOH.
(b) Đun nóng hỗn hợp CH3CH2CH2Cl, KOH và C2H5OH.
(c) Đun nóng CH3CH2CH2Cl trong dung dịch NaOH.
(d) Đun nóng hỗn hợp CH3CHClCH=CH2, KOH và C2H5OH.
Phương pháp giải:
Dựa vào tính chất hóa học của dẫn xuất halogen.
Lời giải chi tiết:
Thí nghiệm a và c thu được sản phẩm chính là alcohol.
Thí nghiệm b và d thu được alkene.
15.5
Thực hiện phản ứng tách HCl từ dẫn xuất CH3CH2CH2Cl thu được alkene X. Đem alkene X cộng hợp bromine thu được sản phẩm chính nào sau đây?
A. CH3CH2CH2Bг. B. CH3CHBrCH3.
C. CH3CH2CHBг2. D. CH3CHBrCH2Br.
Phương pháp giải:
Áp dụng quy tắc Zaitsev.
Lời giải chi tiết:
Alkene X là CH3CH=CH2.
X cộng hợp bromine thu được sản phẩm chính là: CH3CHBrCH2Br.
Đáp án D.
15.6
Chọn từ hoặc cụm từ thích hợp điền vào chỗ trống trong đoạn thông tin sau:
Freon-22 có công thức CHF2Cl, tên thay thế là ...(1)... được dùng rất phổ biến trong máy điều hoà nhiệt độ và các máy lạnh năng suất trung bình. Freon-22 có phân tử khối nhỏ nên ở thể ...(2)... trong điều kiện thường, năng suất làm lạnh cao nên được dùng rộng rãi. Loại chất này cũng ...(3)... cho tầng ozone (mức độ không lớn) và gây hiệu ứng ...(4)... làm Trái Đất nóng lên, vì vậy chất này đã bị hạn chế sử dụng theo công ước bảo vệ môi trường và chống biến đổi khí hậu.
Phương pháp giải:
Dựa vào kiến thức về dẫn xuất halogen
Lời giải chi tiết:
(1) chlorodifluoromethane
(2) khí
(3) gây hại
(4) nhà kính.
15.7
Hợp chất 2-bromo-2-chloro-1,1,1-trifluoroethane được sử dụng làm thuốc gây mê có tên gọi là halothane. Em hãy đề xuất phương pháp điều chế halothane từ 2-chloro-1,1,1-trifluoroethane bằng phản ứng thế. Viết phương trình hoá học của phản ứng.
Phương pháp giải:
Tính chất hóa học của alkane và điều chế dẫn xuất halogen.
Lời giải chi tiết:
Điều chế halothane từ 2-chloro-1,1,1-trifluoroethane bằng phản ứng thế bromine.
CF3CH2Cl + Br2 → CF3CHBrCl + HBr
15.8
Hợp chất A là dẫn xuất monochloro của alkylbenzene (B). Phân tử khối của A bằng 126,5.
a) Tìm công thức phân tử và viết công thức cấu tạo có thể có của A.
b) Chất A có phản ứng thuỷ phân khi đun nóng với dung dịch NaOH, tạo ra chất E có mùi thơm, có khả năng hòa tan nhiều chất hữu cơ, ức chế sự sinh sản của vi khuẩn nên được dùng nhiều trong công nghiệp sản xuất mĩ phẩm. Tìm công thức cấu tạo đúng của A. Viết phương trình hoá học của phản ứng.
c) Viết phương trình hoá học của phản ứng điều chế trực tiếp A từ B, ghi rõ điều kiện của phản ứng.
Phương pháp giải:
Từ khối lượng phân tử tìm ra công thức phân tử của A. Dựa vào tính chất hóa học để tìm ra được công thức cấu tạo của A.
Lời giải chi tiết:
CnH2n−7Cl.
12n + 2n − 7 + 35,5 = 126,5 → n = 7 → Công thức phân tử của A là C7H7C1.
b) A có phản ứng thuỷ phân khi đun nóng với dung dịch NaOH nên công thức cấu tạo phù hợp của A là C6H5-CH2Cl.

c) Phương trình hoá học của phản ứng điều chế trực tiếp A từ B:

15.9
Cho các chất sau: 
a) Viết phương trình hoá học các phản ứng xảy ra khi cho hai chất trên vào dung dịch loãng, đun nóng.
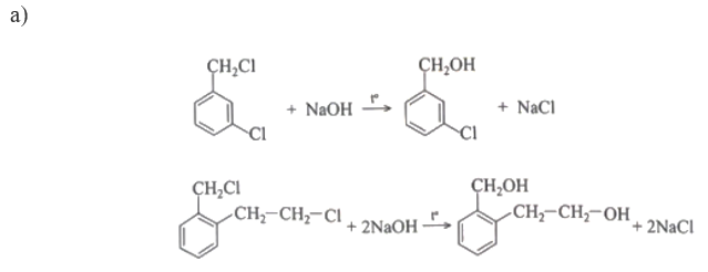
b) So sánh khả năng tham gia phản ứng thế của dẫn xuất có dạng R – CH2Cl; R – CH = CH – CH2Cl; R – C6H4Cl với là gốc hydrocarbon no.
Phương pháp giải:
Phản ứng thế của dẫn xuất halogen.
Lời giải chi tiết:

b) Khả năng tham gia phản ứng thế: R–CH=CH–CH2Cl > R–CH2Cl > R–C6H4Cl.
15.10
2,4-Dichlorophenoxyacetic acid (2,4-D) được sử dụng làm chất diệt cỏ, chất kích thích sinh trưởng thực vật. Khi pha chế một dung dịch 2,4-D để phun kích thích sinh trưởng của cây trồng người ta làm như sau: Cân 0,1 g 2,4-D hoà tan trong 50 mL còn 50°. Sau đó thêm nước cho đủ 100 mL.
a) Vì sao để pha dung dịch 2,4-D người ta pha trong cồn 50°?
b) Tính nồng độ dung dịch 2,4-D thu được theo đơn vị mg mL−1.
Phương pháp giải:
Dựa vào kiến thức về dẫn xuất halogen
Lời giải chi tiết:

a) Do 2,4-D kém tan trong nước, tan tốt trong ethanol nên đầu tiên người ta hoà tan trong cồn 50°, sau đó thêm nước cho đủ 100 mL.
b) Nồng độ dung dịch 2,4-D là: \(\frac{{100}}{{100}} = 1(mgm{L^{ - 1}})\)