Chất có công thức CH3CH(CH3)CH2COOH có tên thay thế là
Tổng hợp đề thi học kì 1 lớp 11 tất cả các môn - Cánh diều
Toán - Văn - Anh - Lí - Hóa - Sinh
19.1
Chất có công thức CH3CH(CH3)CH2COOH có tên thay thế là
A. 2-methylpropanoic acid.
B. 2-methylbutanoic acid.
C. 3-methylbutanoic acid.
D. isopentanoic acid.
Phương pháp giải:
Đánh số thứ tự C sao cho nhóm COOH ở vị trí nhỏ nhất.
Lời giải chi tiết:
Đáp án C.
19.2
Chất có công thức CH3CH(CH3)CH2CH2COOH có tên thay thế là
A. 2-methylpentanoic acid.
B. 2-methylbutanoic acid.
C. isohexanoic acid.
D. 4-methylpentanoic acid.
Phương pháp giải:
Đánh số thứ tự C sao cho nhóm COOH ở vị trí nhỏ nhất.
Lời giải chi tiết:
Đáp án D.
19.3
Số công thức cấu tạo chứa nhóm carboxylic có cùng công thức C5H10O2 là
A. 2. B. 3 . C. 4 . D. 5.
Phương pháp giải:
C5H10O2 có đồng phân mạch C.
Lời giải chi tiết:
Các công thức cấu tạo chứa nhóm carboxylic có cùng công thức C5H10O2 là
CH3CH2CH2CH2COOH
CH3CH(CH3)CH2COOH
CH3CH2CH(CH3)COOH
CH3C(CH3)2COOH
Đáp án C.
19.4
Trong các chất dưới đây, chất nào có nhiệt độ sôi cao nhất?
A. Propanol.
B. Propionic aldehyde.
C. Acetone.
D. Propionic acid.
Phương pháp giải:
So sánh nhiệt độ sôi bằng cách so sánh khả năng tạo liên kết hydrogen của hợp chất.
Lời giải chi tiết:
Đáp án D.
19.5
Dung dịch acetic acid phản ứng được với tất cả các chất trong dãy nào sau đây?
A. NaOH, Cu, NaCl.
B. Na, NaCl, CuO.
C. Na, Ag, HCl.
D. NaOH, Na, CaCO3.
Phương pháp giải:
Dựa theo tính chất hóa học của carboxylic acid.
Lời giải chi tiết:
Đáp án D.
19.6
Cho các phản ứng sau ở điều kiện thích hợp:
(1) Lên men giấm ethyl alcohol.
(2) Oxi hoá không hoàn toàn acetaldehyde.
(3) Oxi hoá không hoàn toàn butane.
(4) Cho methanol tác dụng với carbon monoxide.
Trong những phản ứng trên, có bao nhiêu phản ứng tạo ra acetic acid?
A. 1 . B. 2 . C. 3 . D. 4 .
Phương pháp giải:
Dựa theo các phương pháp điều chế acetic acid.
Lời giải chi tiết:

19.7
Cặp dung dịch nào sau đây đều có thể hoà Cu(OH)2 ở nhiệt độ thường?
A. HCHO và CH3COOH.
B. C3H5(OH)3 và HCHO.
C. C3H5(OH)3 và CH3COOH.
D. C2H4(OH)2 và CH3COCH3.
Phương pháp giải:
Dựa theo tính chất của carboxylic acid và alcohol đa chức.
Lời giải chi tiết:
Đáp án C.
19.8
Đặc điểm nào sau đây là của phản ứng ester hoá?
A. Phản ứng thuận nghịch, cần đun nóng và không cần xúc tác.
B. Phản ứng thuận nghịch, cần đun nóng và cần xúc tác.
C. Phản ứng hoàn toàn, cần đun nóng, cần xúc tác.
D. Phản ứng hoàn toàn, cần đun nóng và không cần xúc tác.
Phương pháp giải:
Dựa theo tính chất của carboxylic acid và alcohol.
Lời giải chi tiết:
Đáp án B.
19.9
Một số carboxylic acid như oxalic acid, tartaric acid,... gây ra vị chua cho quả sấu xanh. Trong quá trình làm sấu ngâm đường, người ta sử dụng dung dịch nào sau đây để làm giảm vị chua của quả sấu?
A. Nước vôi trong.
B. Giấm ăn.
C. Phèn chua.
D. Muối ăn.
Phương pháp giải:
Phản ứng trung hòa giữa acid và base.
Lời giải chi tiết:
Đáp án A.
19.10
Yếu tố nào sau đây không làm tăng hiệu suất phản ứng ester hoá giữa acetic acid và ethanol?
A. Dùng dung dịch H2SO4 đặc làm xúc tác.
B. Chưng cất ester tạo ra.
C. Tăng nồng độ acetic acid hoặc alcohol.
D. Lấy số mol alcohol và acid bằng nhau.
Phương pháp giải:
Dựa vào yếu tố ảnh hưởng đến tốc độ phản ứng, vì tốc độ phản ứng nhanh có hiệu suất phản ứng cao
Lời giải chi tiết:
Đáp án D.
19.11
Formic acid (HCOOH) có trong nọc kiến, nọc ong, sâu róm. Nếu không may bị ong đốt thì nên bôi vào vết ong đốt loại chất nào sau đây là tốt nhất?
A. Kem đánh răng.
B. Xà phòng
C. Vôi.
D. Giấm.
Phương pháp giải:
Phản ứng trung hòa giữa acid và base
Lời giải chi tiết:
Đáp án C.
19.12
Có ba ống nghiệm chứa các dung dịch trong suốt: ống (1) chứa ethyl alcohol, ống (2) chứa acetic acid và ống (3) chứa acetaldehyde. Nếu cho Cu(OH)2/OH-lần lượt vào các dung dịch trên và đun nóng thì:
A. Cả ba ống đều có phản ứng.
B. Ống (1) và ống (3) có phản ứng, còn ống (2) thì không.
C. Ông (2) và ống (3) có phản ứng, còn ống (1) thì không.
D. Ống (1) có phản ứng, còn ống (2) và ống (3) thì không.
Phương pháp giải:
Dựa theo tính chất hóa học của carboxylic acid và hợp chất carbonyl.
Lời giải chi tiết:
(1) CH3COOH + Cu(OH)2 → (CH3COO)2 Cu + H2O
(2) CH3CHO + 2Cu(OH)2 + NaOH → CH3COONa + Cu2O + 3H2O
Chọn đáp án C.
19.13
Cho một dung dịch chứa 5,76 gam một carboxylic acid đơn chức, mạch hở tác dụng hết với CaCO3 thu được 7,28 gam muối carboxylate. Công thức cấu tạo của X là
A. CH2=CHCOOH
B. CH3COOH
Cho một dung dịch chứa 5,76 gam một carboxylic acid đơn chức, mạch hở tác dụng hết với CaCO3 thu được 7,28 gam muối carboxylate. Công thức cấu tạo của X là
A. CH2=CHCOOH
B. CH3COOH
C. CH\( \equiv \)CCOOH
D. CH3CH2COOH
C. CH\( \equiv \)CCOOH
D. CH3CH2COOH
Phương pháp giải:
Áp dụng phương pháp bảo toàn khối lượng muối và aicd.
Lời giải chi tiết:
Gọi công thức của carboxylic acid X đơn chức, mạch hở là: RCOOH.
CH3COOH + CaCO3 → (CH3COO)2 Ca + CO2 + H2O
Khối lượng tăng lên do nguyên tử Ca thay thế nguyên tử H.
\(nX = \frac{{7,28 - 5,76}}{{\frac{{40}}{2} - 1}} = 0,08(mol)\)
→ Mx = \(\frac{{5,76}}{{0,08}} = 72(g.mo{l^{ - 1}})\)
Vậy công thức cấu tạo của là CH2=CHCOOH
19.14
Để trung hoà 40 mL giấm ăn cần 25 mL dung dịch NaOH 1M. Biết khối lượng riêng của giấm xấp xỉ là 1g.mL-1. Mẫu giấm ăn này có nồng độ là
A. 3,5%
B. 3,75%
C. 4%
D. 5%
Phương pháp giải:
Phản ứng trung hòa giữa acid và base.
Lời giải chi tiết:
nNaOH = 1.25.10-3 = 0,025 mol
CH3COOH + NaOH → CH3COONa + H2O
nCH3COOH = nNaOH = 0,025 mol
Khối lượng dung dịch giấm ăn cần dùng là
mddCH3COOH = V.D = 40.1 = 40 g
Nồng độ của mẫu giấm này là:
C%ddCH3COOH = \(\frac{{0,025.60}}{{40}} = 3,75\% \)
Đáp án B.
19.15
Acetic acid được sử dụng rộng rãi để điều chế polymer, tổng hợp hương liệu,... Acetic acid được tổng hợp từ nguồn khí than đá (giá thành rẻ) theo các phản ứng sau:

Giả sử hiệu suất của các phản ứng (1) và (2) đều đạt 90%. Để sản xuất 1000 lít acetic acid (D = 1,05 g.mL-1), cần thể tích khí CO và H2 (ở điều kiện chuẩn) lần lượt là
A. 964,06 m3 và 1928,12 m3
B. 535,6 m3 và 1071,17 m3
C. 964,06 m3 và 964,06 m3
D. 1017,6 m3 và 1071,2 m3
Phương pháp giải:
Dựa theo PTPU điều chế acetic acid trong công nghiệp.
Lời giải chi tiết:
mCH3COOH = 1000.103.1,05 = 1,05.106 g → nCH3COOH = 17,5.103 mol
→ nH2 = 2.17,5.103 : 90% : 90% = 43209,88 mol
→ VH2 = nH2.24,79 = 1071,2 m3
→ nCO = 17,5.103 : 90% +17,5.103 : 90% : 90% = 41049,4 mol
→ VCO = nCO.24,79 = 1017,6 m3
Đáp án D.
19.16
Từ methane và các chất vô cơ cần thiết khác có thể điều chế được formaldehyde và acetic acid. Viết phương trình hoá học của các phản ứng xảy ra.
Phương pháp giải:
Dựa vào tính chất và điều chế hợp chất carbonyl và carboxylic acid.
Lời giải chi tiết:
Điều chế formaldehyde từ methane:
CH4 + Cl2 \( \to \) CH3Cl + HCl
CH3Cl + NaOH \( \to \)CH3OH + NaCl
CH3OH + CuO \( \to \) HCHO + Cu + H2O
Điều chế acetic acid từ methane:
CH4 + Cl2 \( \to \)CH3Cl + HCl
CH3Cl + NaOH \( \to \)CH3OH + NaCl
CH3OH + CO\( \to \) CH3COOH
19.17
Có một mẫu benzoic acid (C6H5COOH) bị lẫn một ít cát. Để thu được acid tinh khiết, bạn Hiền đã làm như sau: Đun nóng hỗn hợp với nước đến khi lượng chất rắn không tan thêm nữa, đem lọc nhanh để thu lấy dung dịch. Để nguội thấy có tinh thể hình kim không màu của benzoic acid tách ra. Lọc lấy tinh thể, làm khô. Tiến hành tương tự hai lần nữa với tinh thể này, thu được chất rắn có nhiệt độ nóng chảy không đổi 120oC.
Trong trường hợp trên, bạn Hiền đã sử dụng phương pháp tinh chế nào? Cách làm như vậy đã đúng chưa? Vì sao? Có thể có cách tinh chế nào khác?
Phương pháp giải:
Dựa vào tính chất vật lý của benzoic acid và các phương pháp tinh chế hợp chất hữu cơ.
Lời giải chi tiết:
Cách làm như vậy là đúng. Bạn Hiền đã dùng phương pháp kết tinh, dựa trên lí do cát không tan trong nước còn benzoic acid tan tốt trong nước nóng nhưng ít tan trong nước lạnh.
Ngoài cách làm trên, có thể đun nóng hỗn hợp và ngưng tụ hơi benzoic acid bay lên thu được acid do benzoic acid thăng hoa.
19.18
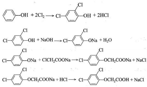
Để điều chế 2,4-dichlorophenoxyacetic acid (2,4-D) dùng làm chất diệt cỏ, chất kích thích sinh trưởng thực vật, người ta cho phenol tác dụng với chlorine, sau đó cho tác dụng với NaOH; cho sån phẩm thu được tác dụng với ClCH2COONa; cuối cùng cho tác dụng với dung dịch HCl. Hãy viết các phương trình hoá học của các phản ứng (các chất được viết ở dạng công thức cấu tạo).
Phương pháp giải:
Dựa vào tính chất háo học của acid
Lời giải chi tiết:

19.19
Benzoic acid thường được dùng làm chất bảo quản với hàm lượng rất thấp.
a) Viết công thức cấu tạo của benzoic acid.
b) Vì sao trong thực tế người ta không sử dụng benzoic acid làm chất bảo quản mà thường dùng muối sodium benzoate?
c) Hãy viết phương trình hoá học điều chế benzoic acid từ toluene.
Phương pháp giải:
Dựa vào tính chất hóa học và điều chế carboxylic acid.
Lời giải chi tiết:
a) Công thức cấu tạo của benzoic acid:

b) Do benzoic acid ít tan trong nước nên người ta thường dùng dạng muối sodium. Trong nước, tồn tại cân bằng:

Benzoic acid sinh ra trong nước với một hàm lượng nhỏ, có tác dụng làm chất bảo quản.
c) Tổng hợp benzoic acid từ toluene:

19.20
Để xác định hàm lượng acetic acid trong giấm, trong các cách nêu dưới đây, cách nào dùng được, cách nào không dùng được? Vì sao?
a) Xác định khối lượng riêng của giấm rồi so với khối lượng riêng của dung dịch mẫu pha tù̀ CH3COOH và nước.
b) Cô cạn nước, còn lại là CH3COOH.
c) Chuẩn độ bằng dung dịch NaOH đã biết nồng độ tới khi làm hồng phenolphthalein.
Phương pháp giải:
Chuẩn độ acid base.
Lời giải chi tiết:
a) Không chính xác vì trong giấm còn có ethanol hoặc đường còn dư tuỳ theo nguyên liệu để sản xuất.
b) Không được, vì nhiệt độ sôi của CH3COOH là 118oC, gần với nhiệt độ sôi của nước.
c) Đó là cách thường làm dựa vào phản ứng:
CH3COOH + NaOH → CH3COONa + H2O
19.21
Benzoic acid (C6H5COOH, pKa = 4,2, ts = 249oC) và phenol (C6H5OH, pKa = 10,0, ts = 182oC) đều tan trong hexane, nhưng các muối của chúng (benzoate và phenolate) lại tan trong nước và không tan trong hexane.
a) Trong hai chất trên, chất nào tác dụng được với NaHCO3 (biết H2CO3 có pKa1 = 6,3; pKa2 = 10,2). Viết phương trình hoá học của phản ứng xảy ra (nếu có).
b) Benzoic acid có lẫn phenol được hoà tan trong hexane. Để tách hai chất ra khỏi nhau, người ta thêm dung dịch NaHCO3 dư vào, lắc đều rồi tách riêng phần nước và phần hữu cơ. Acid hoá phần nước bằng dung dịch HCl để thu lấy chất hữu cơ A. Từ phần hữu cơ thu được chất hữu cơ B. Phương pháp nào đã được sử dụng để tách riêng hai chất benzoic acid và phenol? Cho biết tên của các chất hữu cơ A và B.
Phương pháp giải:
Dựa vào tính chất hóa học của benzoic acid. So sánh độ acid từ pKa.
Lời giải chi tiết:
a) Chỉ có benzoic acid tác dụng được với NaHCO3 do pKa (benzoic acid) < pKa2 H2CO3
C6H5COOH + NaHCO3 → C6H5COONa + CO2 + H2O
b) Trong quy trình đã nêu, phương pháp được sử dụng để tách riêng hai chất benzoic acid và phenol là phương pháp chiết. Chất hữu cơ A thu được từ phần nước là benzoic acid; chất hữu cơ B thu được từ phần hữu cơ là phenol.
19.22
Vị chua của các trái cây là do các acid hữu cơ có trong đó gây nên. Trong quả táo có 2-hydroxybutanedioic (malic acid), trong quả nho có 2,3-dihydroxybutanedioic (tartaric acid), trong quả chanh có 2-hydroxypropane-1,2,3-tricarboxylic (citric acid hay limonic acid). Hãy viết công thức cấu tạo các acid đó.
Phương pháp giải:
dựa vào thông tin đề bài cung cấp về các loại acid trong táo, từ tên gọi để viết được công thức cấu tạo
Lời giải chi tiết:

19.23
Acetone được sử dụng như một nguyên liệu để tổng hợp methacrylic acid, một hợp chất được dùng nhiều trong tổng hợp thuỷ tinh hữu cơ.

a) Xác định sản phẩm X trong sơ đồ tổng hợp.
b) Dự đoán sản phẩm Y trong sơ đồ trên.
c) Tính thể tích methacrylic acid (D = 1,015 g.mL-1) tổng hợp được từ 10m3 acetone (D = 0,7844 g.mL-1) theo sơ đồ trên. Giả thiết hiệu suất mỗi giai đoạn là 80%.
Phương pháp giải:
Dựa trên tính chất hóa học của hợp chất carbonyl và carboxylic acid.
Lời giải chi tiết:
a) X là:

b) là: HH4HSO4.
c) Khối lượng acetone:10.106.0,7844 = 7,844.106.
Khối lượng methacrylic acid thu được tính theo lí thuyết
\(\frac{{{{7,844.10}^6}.86}}{{58}} = {1,163.10^7}\)
Vì hiệu suất mỗi giai đoạn là 80% nên khối lượng methacrylic acid thực thu được:
\({1,163.10^7}.80\% .80\% .80\% = {5,955.10^6}(g)\)
Thể tích methacrylic acid thu được là:
\(\frac{{{{5,955.10}^6}}}{{1,015}} = {5,867.10^6}(g) = 5,867\tan \)