Thông tin về các amino acid chuẩn tìm thấy trong protein được trình bày ở bảng 7.1
7.1
Thông tin về các amino acid chuẩn tìm thấy trong protein được trình bày ở bảng 7.1
Bảng 7.1 20 amino acid chuẩn được tìm thấy trong protein
(ion được biểu diễn ở dạng chủ yếu tại điểm đẳng điện)
|
Mạch bên không phân cực |
|||||
|
Tên (viết tắt, kí hiệu) |
Cấu trúc |
pI |
Tên (viết tắt, kí hiệu) |
Cấu trúc |
pI |
|
Alanine (Ala, A) |
|
6,11 |
Phenylalanine |
|
5,91 |
|
Glycine (Gly, G) |
|
6,06 |
Proline (pro, P) |
|
6,03 |
|
*Isoleucine (lle, l) |
|
6,04 |
*tryptophan (Trp, W) |
|
5,88 |
|
*Leucine (Leu, L) |
|
6,04 |
*valine (Val, V) |
|
6,00 |
|
Methionine (Met, M) |
|
5,74 |
|
|
|
|
Mạch bên phân cực |
|||||
|
Asparagine (Asn, N) |
|
5,41 |
Serine (Ser, S) |
|
5,68 |
|
Glutamine (Gln, Q) |
|
5,65 |
Threonine (Thr, T) |
|
5,60 |
|
Mạch bên có tính acid |
Mạch bên có tính base |
||||
|
Aspartic (Asp, D) |
|
2,98 |
*Arginine (Arg, R) |
|
10,76 |
|
Glutamic acid (Glu, E) |
|
3,08 |
*Histidine (His, H) |
|
7,64 |
|
Cysteine (Cys, C) |
|
5,02 |
*Lysine (Lys, K) |
|
9,74 |
|
Tyrosine (Tyr, Y) |
|
5,63 |
|
|
|
|
*amino acid thiết yếu |
|||||
ơ thể người mã hoá được loại amino acid nào sau đây trong tổng hợp protein cho cơ thể?
A.
B. 
C.
D. 
Phương pháp giải:
Dựa vào một số amino acid cần thiết.
Lời giải chi tiết:
Cơ thể mã hóa được
trong tổng hợp protein.
Đáp án B
7.2
Có bao nhiêu amino acid cần thiết phải cung cấp cho cơ thể thông qua thực phẩm, dinh dưỡng?
A. 9 B. 20 C. 10. D. 18.
Phương pháp giải:
Dựa vào một số amino acid cần thiết.
Lời giải chi tiết:
Có 10 amino acid cần thiết cung cấp cho cơ thể thông qua cung cấp thực phẩm, dinh dưỡng.
Đáp án C
7.3
Dung dịch của chất nào sau đây có môi trường base?
A.
B. 
C.
D. 
Phương pháp giải:
Các dung dịch có nhiều nhóm – NH2 sẽ có môi trường base.
Lời giải chi tiết:
có môi trường base do có 1 nhóm – NH2.
Đáp án A
7.4
Dạng ion chủ yếu nào của amino acid có trong môi trường acid mạnh (pH thấp)?
A.
B. 
C.
D. 
Phương pháp giải:
Các dung dịch có nhiều nhóm – COOH có môi trường acid mạnh.
Lời giải chi tiết:
có môi trường acid mạnh.
Đáp án D
7.5
Nguyên nhân chủ yếu dẫn đến tính tan của amino acid trong nước là do
A. phân tử phân cực mạnh nên dễ tan trong nước.
B. cấu tạo lưỡng cực của phân tử, có tính kị nước nên ít tan trong nước.
C. năng lượng liên kết của phân tử lớn, khó phá vỡ nên ít tan trong nước.
D. hình thành liên kết hydrogen với nước nên dễ tan trong nước.
Phương pháp giải:
Dựa vào cấu tạo của amino acid.
Lời giải chi tiết:
Do amino acid phân cực mạnh nên dễ tan trong nước.
Đáp án A
7.6
Ở điều kiện thường, trạng thái tồn tại của amino acid là
A. Thể lỏng. B. thể khí. C. Thể rắn. D. Thể rắn và lỏng.
Phương pháp giải:
Dựa vào trạng thái của amino acid.
Lời giải chi tiết:
Amino acid thường ở thể rắn ở điều kiện thường.
Đáp án C
7.7
Amino acid không có loại phản ứng nào sau đây?
A. phản ứng với acid và base. B. phản ứng ester hoá.
C. phản ứng trùng ngưng D. phản ứng thủy phân.
Phương pháp giải:
Dựa vào tính chất hóa học của amino acid.
Lời giải chi tiết:
Amino acid không tham gia phản ứng thủy phân.
Đáp án D
7.8
Tính lưỡng tính của amino acid thể hiện qua phản ứng với
A. acid mạnh, base mạnh. B. acid, kim loại kiềm.
C. alcohol trong môi trường acid mạnh. D. Cu(OH)2, loại phản ứng màu biuret.
Phương pháp giải:
Dựa vào tính chất hóa học của amino acid.
Lời giải chi tiết:
Tính lưỡng tính của amino acid thể hiện qua phản ứng giữa acid mạnh và base mạnh.
Đáp án A
7.9
Phát biểu nào sau đây đúng về phản ứng màu biuret?
A. Các amino acid có thể cho phản ứng màu biuret vói Cu(OH)2
B. Dung dịch của các polypeptide hoà tan Cu(OH)2, cho dung dịch có màu tím
C. Cac peptide (trừ dipeptide) cho phản ứng màu biuret voi Cu(OH)2, HNO3
D. phản ứng màu biuret dùng dể nhận biết sự có mặt của tinh bột và protein.
Phương pháp giải:
Dựa vào tính chất hóa học của peptide.
Lời giải chi tiết:
Dung dịch của các polypeptide hòa tan Cu(OH)2, cho dung dịch có màu tím.
Đáp án B
7.10
Tính chất hoá học nào không đặc trưng với loại hợp chất peptide?
A. phản ứng với dung dịch acid. B. phản ứng màu biuret.
C. phản ứng ester hóa D. phản ứng với dung dịch cơ sở.
Phương pháp giải:
Dựa vào tính chất hóa học của peptide
Lời giải chi tiết:
Phản ứng ester hóa không phải phản ứng đặc trưng của peptide.
Đáp án C
7.11
Alliin là một amino acid có trong tỏi tươi, khi dập dập hay nghiền enzyme alliinase sẽ chuyển hoá alliin thành allicin, tạo ra mùi đặc trưng của tỏi. Vẽ cấu trúc ion lưỡng cực của phân tử alliin.

Phương pháp giải:
Dựa vào tính điện di của amino acid.
Lời giải chi tiết:
Cấu trúc ion lưỡng cực của phân tử alliin như sau:

7.12
Glycine có nhiệt độ nóng chảy 2620C, cao hơn rất nhiều so với các chất như acid béo: lauric acid (44 °C), palmitic acid (640C) hay chất béo tristearin (720C). Giải thích
Phương pháp giải:
Dựa vào tính chất vật lí của amino acid.
Lời giải chi tiết:
Tương tác chủ yếu giữa các phân tử chất béo (triester) thuong là tương tác van der Waals, giữa các phân tử acid béo còn có liên kết hydrogen, giữa các phân tử glycine là liên kết ion. Độ bền liên kết giữa các phân tử trong hợp chất tăng dần nên nhiệt độ nóng chảy tăng dần.
7.13
Một thí nghiệm được mô tả như hình bên dưới

a) Thí nghiệm biểu diễn tính chất nào của amino acid?
b) Cho biết các vệt được đánh dấu (1), (2), (3) là amino acid nào? Giải thích
Phương pháp giải:
Dựa vào tính điện di của amino acid.
Lời giải chi tiết:
a) Tùy thuộc vào pH môi trường, mỗi amino acid có điểm đẳng điện khác nhau sẽ tồn tại dạng ion chủ yếu khác nhau, có thể anion, cation hoặc ion lưỡng cực. Các ion này có thể đứng yên hoặc di chuyển trong trường điện vào tính chất điện di của amino acid.
b) Trong dung dịch có pH = 6, là môi trường acid mạnh đối với Lys, là môi trường base mạnh đối với Glu, là môi trường trung tính đối với Ala.
Vì vậy:
• lon tồn tại chủ yếu đối với Lys là cation, sẽ di chuyển về cực âm của nguồn điện nên vệt (1) là Lys.
• lon tồn tại chủ yếu đối với Ala là ion lưỡng cực, không di chuyển nên vệt (2) là Ala.
• lon tồn tại chủ yếu đối với Glu là anion, sẽ di chuyển về cực dương của nguồn điện nên vệt (3) là Glu.
7.14
Bradykinin là một peptide được sản sinh từ huyết thanh trong máu. là chất làm giãn mạch máu và gây co cơ trơn, chất trung gian gây ra tình trạng viêm

a) Bradykinin được tạo thành từ bao nhiêu đơn vị amino acid? Cho biết số liên kết peptide có trong Bradykinin. Có bao nhiêu amino acid khác nhau tạo nên loại oligopeptide trên?
b) Sử dụng Bảng 7.1, cho biết tên viết tắt của Bradykinin.
Phương pháp giải:
Dựa vào cấu tạo của peptide.
Lời giải chi tiết:
a) Bradykinin được tạo thành từ 9 đơn vị amino acid, gọi là nonapeptide. Phân tử có 8 liên kết peptide. Các amino acid khác nhau tạo nên Bradykinin là arginine, proline, glycine, phenylalanine, serine.
b) Tên viết tắt của Bradykinin: Arg-Pro-Pro-Gly-Phe-Ser-Pro-Phe-Arg
7.15
Đối với các amino acid có chuỗi bên trung tính, pI có thể được tính bằng cách lấy trung bình các giá trị pKa của nhóm carboxylic acid và nhóm ammonium. Hoàn thành các giá trị theo mẫu trong bảng sau, so sánh với giá trị thực nghiệm trong Bảng 7.1:

Phương pháp giải:
Dựa vào thông tin trong Bảng 7.1
Lời giải chi tiết:
Điểm đằng điện của các amino acid được hoàn thành như sau:

Các giá trị này phù hợp với giá trị điểm đẳng điện trong Bảng 7.1.
7.16
Thuốc diệt cỏ glyphosate được sử dụng cho những cánh đồng bỏ hoang, các loại cây trồng làm thức ăn cho gia súc (ngô, đỗ tương....) hoặc sử dụng để phát quang cỏ vào đầu mùa canh tác. Glyphosate không chứa vòng benzene hay dẫn xuất halogen, chậm phân hủy trong thực vật nhưng phân hủy nhanh ngoài môi trường nên môi trường ít bị tác động. Cây không tổng hợp được phenylalanine (một loại amino acid thiết yếu cho cây), từ đó, cây yếu dần và ngừng phát triển. Hãy nêu cách hoạt động của thuốc diệt cỏ glyphosate.

Phương pháp giải:
Dựa vào tính chất hóa học của amino acid.
Lời giải chi tiết:
Glyphosate hoạt động bằng cách ức chế enzyme cần thiết để tổng hợp phenylalanine, cây không thể tạo ra các protein cần thiết, từ đó làm cho cây yếu dần và ngưng phát triển.
7.17
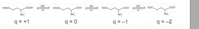
Mô tả sự điện di và cho biết các dạng ion chủ yếu của glutamic acid trong các pH khác nhau (từ thấp đến cao)
Phương pháp giải:
Dựa vào tính điện di của amino acid.
Lời giải chi tiết:
Ở pH thấp (ví dụ pH = 1), hai nhóm COO được proton hóa cùng với nhóm -NH, để có điện tích thuần là +1. Khi nồng độ acid giảm, nhóm a-COOH có tính acid mạnh hơn sẽ bị khử proton để tạo ra dạng lưỡng cực (điện tích thuần, q = 0). Khi tăng nồng độ base, nhóm -COOH & mạch bên bị khử proton để tạo ra dạng tích điện âm (điện tích thuần, q = -1). Ở môi trường base cao (ví dụ pH = 14), NH sẽ bị khử proton, tạo ra anion mang điện tích -2 (điện tích thuần, q = -2).

Tuỳ thuộc vào pH, khi đặt một trường điện vào dung dịch chứa các ion đó, nó sẽ di chuyển về cực ngược dấu với điện tích thuần của ion đó.

















