Khối lượng của một đoạn mạch nylon-6,6 là 27 346
9.1
Khối lượng của một đoạn mạch nylon-6,6 là 27 346 amu và của một đoạn mạch capron (nylon-6) là 17 176 amu. Số lượng mắt xích trong đoạn mạch nylon-6,6 và capron nêu trên lần lượt là
A. 113 và 152. C. 121 và 152. B. 121 và 114. D. 113 và 114.
Phương pháp giải:
Dựa vào cấu tạo của capron và nylon – 6,6.
Lời giải chi tiết:

M = 113.n = 17 176 \( \to \) n =121

M = 226.n = 27 346 \( \to \)n = 152
Đáp án C
9.2
Trùng ngưng E-aminocaproic acid thu được m kg capron và 12,6 kg H2O với hiệu suất phản ứng 90%. Giá trị của m là
A. 71,19. B. 79,10. C. 91,70. D. 90,40.
Phương pháp giải:
Dựa vào cấu tạo của capron.
Lời giải chi tiết:

M 113n 18n
m m 12,6
\( \to \) m = (12,6.113n)/18n = 79,1kg
Khối lượng capron thu được theo thực tế (hiệu suất 90%) là: 79,1.90% = 71,19kg
Đáp án A
9.3
Loại polymer nào sau đây được điều chế bằng phản ứng trùng ngưng?
A. PVC. B. Cao su buna C. PET D. Teflon.
Phương pháp giải:
Dựa vào phương pháp điều chế polymer.
Lời giải chi tiết:
PET (poly ethylene terephthlate) được điều chế bằng phản ứng trùng ngưng.
Đáp án C
9.4
Poly(butylene terephthalate) là một polymer kị nước được sử dụng rộng rãi trong hệ thống đánh lửa của động cơ ô tô. Polymer này có công thức cấu tạo như sau:
Hãy cho biết công thức cấu tạo của monomer cần thiết để tổng hợp nên loại polymer này.
Phương pháp giải:
Dựa vào công thức cấu tạo của polymer.
Lời giải chi tiết:

9.5
Viết và gọi tên polymer tạo thành khi trùng hợp các monomer sau:

Phương pháp giải:
Dựa vào cấu tạo của polymer.
Lời giải chi tiết:

9.6
Cho biết công thức cấu tạo polymer tạo thành khi trùng hợp các chất sau:
Phương pháp giải:
Dựa vào phương pháp điều chế polymer.
Lời giải chi tiết:

9.7
Cho biết công thức cấu tạo polymer tạo thành trong các phản ứng trùng ngưng sau:

Phương pháp giải:
Dựa vào phương pháp điều chế polymer.
Lời giải chi tiết:


9.8
Cho biết công thức cấu tạo của monomer cần thiết để tổng hợp nên các polymer sau:

Phương pháp giải:
Dựa vào cấu tạo của polymer.
Lời giải chi tiết:

9.9
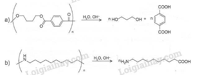
Cho biết sản phẩm của quá trình thuỷ phân các polymer sau:

Phương pháp giải:
Dựa vào tính chất hóa học của polymer.
Lời giải chi tiết:

9.10
Zytel® là một polymer được sử dụng phổ biến trong công nghiệp ô tô và điện tử. Polymer này có công thức cấu tạo như sau:
Hãy cho biết công thức cấu tạo của monomer tạo nên polymer trên.
Phương pháp giải:
Dựa vào cấu tạo của polymer.
Lời giải chi tiết:

9.11
Từ CaC2, và các chất vô cơ cần thiết, hãy đề xuất quy trình và viết các phương trình phản ứng điều chế PE, PVC, tơ nitron.
Phương pháp giải:
Dựa vào phản ứng điều chế polymer.
Lời giải chi tiết:


9.12
Kodel là polyester được ứng dụng rộng rãi trong công nghiệp vải sợi. Kodel được điều chế bằng phản ứng giữa dimethyl terephthalate và 1,4-di(hydroxymethyl)cyclohexane. Hãy đề xuất quy trình sản xuất Kodel từ p-xylene, một sản phẩm của quá trình chế biến dầu mỏ.
Phương pháp giải:
Dựa vào phương pháp điều chế polymer.
Lời giải chi tiết:

9.13
Poly(ethylene terephthalate) (PET) là polymer phân huỷ sinh học tốt, được điều chế từ dimethyl terephthalate và ethylene glycol. Viết phương trình hoá học của phản ứng xảy ra.
Phương pháp giải:
Dựa vào phương pháp điều chế polymer.
Lời giải chi tiết:

9.14
Poly(vinyl alcohol) (PVA) là polymer tan được trong nước, có tính kết dính, tạo màng và tăng độ nhớt, được ứng dụng nhiều trong y học, sơn và mĩ phẩm. PVA có thể điều chế từ vinyl acetate (CH,=CHOOCCH,) qua hai bước. Viết các phương trình hoá học điều chế PVA.
Phương pháp giải:
Dựa vào phương pháp điều chế polymer.
Lời giải chi tiết:
