Ứng với công thức phân tử C5H10O2 có bao nhiêu ester là đồng phân cấu tạo của nhau?
OT 1.1
Ứng với công thức phân tử C5H10O2 có bao nhiêu ester là đồng phân cấu tạo của nhau?
A. 6. B. 7. C. 8. D. 9.
Phương pháp giải:
Dựa vào đồng phân của ester.
Lời giải chi tiết:
Các ester gồm: HCOOC4H9 (4); CH3COOC3H7 (2); C2H5COOC2H5; C3H7COOCH3.
Đáp án D
OT 1.2
Số hợp chất hữu cơ đơn chức khác nhau ứng với công thức phân tử C4H8O2 là
A. 3. B. 4. C.5. D. 6.
Phương pháp giải:
Dựa vào cấu tạo của ester, acid.
Lời giải chi tiết:
Acid: C3H7COOH (2)
Ester: HCOOC3H7 (2); CH3COOC2H5; C2H5COOCH3.
Đáp án D
OT 1.3
Thủy phân ester đơn chức, mạch hở E trong môi trường acid được alcolhol X và carboxylic acid Y. Carboxylic acid Y được điều chế bằng cách lên men giấm alcohol X. Công thức phân tử ester E là
A. C5H10O2. B. C3H6O2. C. C4H6O2. D. C4H8O2.
Phương pháp giải:
Dựa vào phản ứng điều chế ester.
Lời giải chi tiết:
E: CH3COOC2H5; X: C2H5OH; Y: CH3COOH.
Đáp án D
OT 1.4
X, Y, Z là 3 chất hữu cơ đươc kí hiệu ngẫu nhiên trong số các chất HCOOCH3, CH3COOH và CH3CH2CH2OH. Nhiệt độ sôi của X, Y, Z được cho trong bảng sau:
|
Chất |
X |
Y |
Z |
|
Nhiệt độ sôi (0C) |
31,8 |
97,0 |
118,0 |
Các chất X, Y lần lượt là
A. HCOOCH3 và CH3COOH.
B. CH3COOH và HCOOCH3.
C. CH3CH2CH2OH và CH3COOH.
D. HCOOCH3 và CH3CH2CH2OH.
Phương pháp giải:
Dựa vào tính chất vật lí của ester.
Lời giải chi tiết:
X có nhiệt độ sôi thấp nhất: là ester.
Y có nhiệt độ sôi ở giữa: là alcohol.
Đáp án D
OT 1.5
Ester nào sau đây là đồng phân với methacrylic acid?
A. Methyl acrylate. B. Ethyl acrylate. C. Vinyl fomate. D. Ethyl acetate.
Phương pháp giải:
Dựa vào đồng phân ester.
Lời giải chi tiết:
Đồng phân methacrylic acid (CH2 = C(CH3) – COOH) là CH3 – COO – CH=CH2 (methyl acrylate)
Đáp án A
OT 1.6
Cho phản ứng được biểu diễn thông qua phương trình hóa học sau:

Phản ứng trên thuộc loại phản ứng nào sau đây?
A. Phản ứng ester hóa. B. Phản ứng xà phòng hóa.
C. Phản ứng oxi hóa. D. Phản ứng trung hòa.
Phương pháp giải:
Dựa vào tính chất hóa học của chất béo.
Lời giải chi tiết:
Phản ứng trên thuộc loại phản ứng xà phòng hóa.
Đáp án B
OT 1.7
Cho phương trình nhiệt hóa học của các phản ứng sau:

Mối quan hệ giữa a, b, c, d là
A. a = b + c + d. B. a = 2b + c –d. C. b = 2a – c + d. D. 2d = a + b – 2c.
Phương pháp giải:
Dựa vào biến thiên enthalpy của từng phản ứng.
Lời giải chi tiết:

Vậy 2d = a + b – 2c
Đáp án D
OT 1.8
Trong điều kiện thường, isopentyl acetate (hay isoamyl acetate) là chất lỏng có mùi thơm của táo và chuối chín. Các thông tin về áp suất hơi ở 250C cùng với nhiệt độ sôi của isopentyl acetate và nước ở điều kiện thường được cho trong bảng sau:
|
Chất |
Áp suất hơi ở 250C (bar) |
Nhiệt độ sôi (0C) |
|
Isopentyl acetate |
0,0075 |
142 |
|
Nước |
0,0333 |
100 |
Dữ kiện nào sau đây được dùng để giải thích kết quả đã nêu ở bảng trên?
A. Khối lượng mol của isopentyl acetate cao hơn nước.
B. Chất có áp suất hơi thấp thì có nhiệt độ sôi cao.
C. Isopentyl acetate không tạo được liên kết hydrogen liên phân tử.
D. Isopentyl acetate là chất hữu cơ, nước là chất vô cơ.
Phương pháp giải:
Dựa vào tính chất vật lí của ester.
Lời giải chi tiết:
Chất có áp suất hơi thấp thì nhiệt độ sôi cao.
Đáp án B
OT 1.9
Trong thí nghiệm điều chế ethyl acetate, bạn học sinh cần đong 24 ml cồn 960. Dụng cụ nào sau đây phù hợp nhất cho thao tác trên.

Phương pháp giải:
Dựa vào một số dụng cụ hóa chất sử dụng trong phòng thí nghiệm.
Lời giải chi tiết:
Ống đong.
Đáp án D
OT 1.10
Một carboxylic acid X có hàn lượng các nguyên tố carbon và hydrogen lần lượt là 40,7% và 5,1% về khối lượng.
a. Cho biết công thức thực nghiệm của X.
b. Phổ khối lượng của X có kết quả như hình bên dưới. Xác định công thức phân tử của X.
c. Viết các công thức cấu tạo có thể có của X.
d. Hòa tan hết 1,0 g X vào 19,0 g nước có pha vài giọt phenolphthalein thu được dung dịch Y. Tiến hành chuẩn dộ 4,0 g dung dịch Y bằng dung dịch NaOH 0,2M cho đến khi dung dịch Y từ không màu chuyển sang màu hồng hạt thì dừng lại, thấy đã dùng hết 17,0 Ml. Xác định lại phân tử khối của X.
e. Đun X với lượng dư ethanol có xúc tác H2SO4 đặc thu được chất hữu cơ Z chỉ chứa một loại nhóm chức, mạch không phân nhánh. Xác định công thức cấu tạo của Z và viết phương trình hóa học của phản ứng. Gọi tên các chất X, Z.
g. Đề nghị phương pháp tách chất Z ra khỏi hỗn hợp sau phản ứng.
Phương pháp giải:
Dựa vào tính chất hóa học của ester.
Lời giải chi tiết:
a. %O = 54,2 %.
Đặt công thức X là CxHyOz
x : y : z = 2:3:2
Công thức thực nghiệm là C2H3O2 (CTĐGN)
b.Từ phổ khối lượng\( \to \) M = 118 \( \to \)CTPT: C4H6O4
c. CTCT: HOOCCH2CH2COOH hoặc CH3CH(COOH)2.
d. m X = 0,2 g\( \to \)n NaOH = 0,0034 mol\( \to \)n X = 0,0017 mol\( \to \)MX = 117,6
e. Do Z không phân nhánh nên X là HOOCCH2CH2COOH (Succinic acid)
Z: C2H5OOCCH2CH2COOC2H5.
PTHH:

g. Khi cho dd NaOH dư vào hỗn hợp:
- HOOCCH2CH2COOH chuyển thành NaOOCCH2CH2COONa. Thêm dung môi hexane thì C2H5OOCCH2CH2COOC2H5 tan trong hexane; C2H5OH + NaOOCCH2CH2COONa + NaOH tan trong nước. Dùng phễu chiết để tách C2H5OOCCH2CH2COOC2H5 tan trong hexane. Sau đó dùng pp chưng cất tách riêng chúng do có nhiệt độ sôi chênh lệch nhiều.
OT 1.11
Oleic acid và elaidic acid là các acid béo đồng phân hình học của nhau, trong đó oleic acid có liên kết đôi C=C ở dạng cis và elaidic acid có liên kết đôi C=C ở dạng trans.
a. Viết công thức khung phân tử của elaidic acid và oleic acid.
b. Em có nhận xét gì về cấu trúc phân tử của các acid béo trên.
c. So sánh nhiệt độ nóng chảy của oleic acid và elaidic acid. Giải thích.
Phương pháp giải:
Dựa vào cấu tạo của acid béo.
Lời giải chi tiết:
a. Công thức khung phân tử của elaidic acid và oleic acid là:
b. Oleic acid và elaidic acid là đồng phân hình học của nhau, trong đó oleic acid có liên kết đôi C=C ở dạng cí nên zigzag hơn elaidic acid có liên kết đôi C=C ở dạng trans.
c. Oleic acid có liên kết đôi C=C ở dạng cis nên zigzag hơn nên các phân tử oleic acid xếp kém khít hơn so với elaidic acid, nên nhiệt độ nóng chảy của oleic acid (13,4) thấp hơn so với elaidic acid (45).
OT 1.12
Hai chất hữu cơ đơn chức, mạch hở X và Y có cùng công thức phân tử C3H4O2 với nhiệt độ sôi lần lượt là 470C và 1410C. Xác định công thức cấu tạo của X, Y.
Phương pháp giải:
Hai chất hữu cơ đơn chức, mạch hở X và Y có cùng công thức phân tử C3H4O2 với nhiệt độ sôi lần lượt là 470C và 1410C. Xác định công thức cấu tạo của X, Y.
Lời giải chi tiết:
2 CTCT: X là HCOOCH=CH2 (47); Y là CH2=CHCOOH (141)
OT 1.13
Acid béo là thành phần quan trọng của một chế độ ăn uống lành mạnh. Cho biết các acid béo là stearic acid, oleic acid và linoleic acid với công thức khung phân tử được biểu diễn dưới đây.
a) Acid béo nào trong số 3 acid nêu trên là acid béo thiết yếu? Vì sao?
b) Biết nhiệt độ nóng chảy của các acid béo trên theo thứ tự ngẫu nhiên lần lượt là -50C, 130C và 690C. Hãy điền các giá trị trên vào bảng theo mẫu sau cho phù hợp và giải thích. Ở điều kiện thường, acid béo nào ở thể lỏng, thể rắn? Giải thích
|
Acid béo |
Stearic acid |
Oleic acid |
Linoleic acid |
|
Nhiệt độ nóng chảy |
? |
? |
? |
c) Giải thích vì sao muối sodium hoặc potassium của chúng được sử dụng làm xà phòng.
Phương pháp giải:
Dựa vào cấu tạo acid béo.
Lời giải chi tiết:
a) Acid béo rất quan trọng cho hoạt động bình thường của tất cả các hệ thống trong cơ thể như hệ tuần hoàn, hô hâp, miễn dịch, não…Cơ thể có khả năng tổng hợp hầu hết các acid béo từ thức ăn, những acid béo này được gọi là acid béo không thiết yếu. Ngoài ra, có một số acid béo cơ thể không thể tổng hợp được, chúng gọi là acid béo thiết yếu. Cần lưu ý acid béo không thiết yếu thì không có nghĩa là không quan trọng, việc phân loại nêu trên chỉ dựa vào khả năng tổng hợp acid béo của cơ thể.
Acid béo thiết yếu phải được lấy từ thực phẩm, chúng thuộc hai loại là omega – 3 và omega – 6. Acid béo omega – 3 và omega – 6 là tiền thân của các hợp chất quan trọng, được gọi là eicosanoid. Eicosanoid là những hormone kiểm soát nhiều hormone khác và các chức năng quan trọng của cơ thể như hệ thống thần kinh trung ương, hệ thống miễn dịch. Do đó trong số 3 acid béo đã cho, chỉ có linoleic acid là acid béo thiết yếu.
b)Nhiệt độ nóng chảy của 3 acid béo đã cho liên quan đến cấu trúc phân tử của chúng.
Liên kết C=C dạng cis làm phân tử trở nên zigzag hơn. Stearic acid là acid béo no ít zigzag nhất nên có nhiệt độ nóng chảy cao nhất, oleic có 1 liên kết C=C dạng cis sẽ có nhiệt độ nóng chảy ở giữa. Linoleic acid có 2 liên kết C=C sẽ zigzag nhất nên nhiệt độ nóng chảy thấp nhất.
|
Acid béo |
Stearic acid |
Oleic acid |
Linoleic acid |
|
Nhiệt độ nóng chảy |
69 |
13,4 |
-5 |
c) Phân tử muối sodium hoặc potassium của chúng được sử dụng làm xà phòng vì đều có 1 đầu ưa nước gắn với 1 đuôi dài kị nước.
OT 1.14
Vì sao một số loài chim có thể dễ dàng bơi lội, thậm chí ngụp lặn dưới nước để săn mồi nhưng lại bị chết chìm bởi các vết dầu loang?
Phương pháp giải:
Dựa vào tính giặt rửa của xà phòng.
Lời giải chi tiết:
Động vật cũng tạo ra chất sáp đóng vai trò là lớp phủ bảo vệ, giữ cho bề mặt của lông, da không thấm nước. Trên thực tế, nếu lớp sáp phủ trên lông của chim bị hòa tan do chim bơi trong vết dầu loang, lông của chũng sẽ trở nên ẩm ướt, nặng hơn làm chim không thể duy trì khả năng nổi trên nước, dẫn đến chúng bị chết chìm.
OT 1.15
Theo em, đầu ưa nước của một phân tử xà phòng có công thức RCOONa là – COONa hay – COO-. Vì sao?
Phương pháp giải:
Dựa vào cấu tạo của xà phòng.
Lời giải chi tiết:
Trong nước có PT điện lí: RCOONa \( \to \)RCOO- + Na+.
Do đó đầu ưa nước là – COO-.
OT 1.16
Sáp Carnauba là một loại sáp thực vật thu được từ lá cây cọ Carnauba của Brazil. Sáp Carnauba có thành phần chính là myricyl cerotate, một ester tạo bới myricyl alcohol có công thức là CH3[CH2]29OH và cerotic acid là một acid béo có công thức CH3[CH2]24 COOH. Sáp Carnauba được sử dụng rộng rái để đánh bóng sàn nhà, ô tô, đồ nội thất.
a) Viết công thức khung phân tử của myricyl cerotate.
b) Theo em, lớp sáp phủ trên là của cây có tác dụng gì?
Phương pháp giải:
Dựa vào tính chất của chất béo.
Lời giải chi tiết:
a) Công thức khung phân tử
b) Thực vật ngăn ngừa mất nước bằng cách phủ sáp trên bề mặt lá của chúng. Thành phần sáp thường khác nhau giữa các loài, các cơ quan và các giai đoạn phát triển của cây. Hàm lượng sáp trên lá tăng ở những khu vực có nhiệt độ cao hoặc có lượng bức xạ mặt trời lớn hoặc vùng khô cằn, ít nước trong đất.
Ngoài ra, lớp sáp ngăn nước, các hạt tích tụ trên bề mặt lá, ức chế sự phát triển của mầm bệnh.
OT 1.17
Linoleic acid có công thức phân tử là C18H30O2, gồm có \(\alpha - \)linolenic acid và \(\beta - \) linolenic acid. \(\alpha - \)linolenic là một acid béo có 3 liên kết đôi cùng dạng cis ở các vị trí 9, 12, 15 tính từ nguyên tử carbon của nhóm carboxyl, còn \(\beta - \)linolenic là một acid béo cũng có 3 liên kết đôi cùng dạng cis ở các vị trí 6, 9, 12 tính từ nguyên tử carbon của nhóm carboxyl.
a) Viết công thức khung phân tử của \(\alpha - \)linolenic acid và \(\beta - \) linolenic acid.
b) Chúng có phải là các acid béo thiết yếu không? Vì sao?
c) So sánh nhiệt độ nóng chảy của mỗi acid trên với stearic acid. Giải thích?
Phương pháp giải:
Dựa vào tính chất của acid béo.
Lời giải chi tiết:
a)
b) Chúng là nhóm omega – 3 và omega – 6 nên đều là các acid béo thiết yếu.
c) Liên kết đôi C=C dạng cis làm phân tử zigzag hơn \( \to \)sắp xếp các phân tử kém đặc khít hơn nên nhiệt nóng chảy thấp hơn so với stearic acid (no, ít zigzag hơn)
|
Acid béo |
Stearic acid |
\(\alpha - \)Linolenic acid |
\(\beta - \)Linolenic acid |
|
Nhiệt độ nóng chảy |
69 |
-16,5 |
-11,3 |
OT 1.18
a) Nguyên nhân nào dẫn đến việc ôi thiu và bốc mùi của các chất béo nếu chúng không được bảo quản cẩn thận?
b) Vì sao bở để lâu ngoài không khí thường xuất hiện mùi khó ngửi?
c) Giải thích sự hình thành malondialdehyde (MDA), một hợp chất có công thức cấu tạo CH2(CHO)2. Hợp chất này có khả năng gây ung thư và có mùi khó chịu khi các chất béo có chứa thành phần là linoleic acid hoặc linoleic acid bị oxi hóa.
d) Nêu nguyên tắc hoạt động của chất chống oxi hóa trong việc giúp bảo quản chất béo.
e) Trình bày một số tác hại của việc sử dụng dầu, mỡ ôi thiu.
Phương pháp giải:
Dựa vào tính chất hóa học của chất béo.
Lời giải chi tiết:
a) Khi tiếp xúc không khí, chất béo bị oxi hóa, thủy phân làm chúng bị phân hủy gây ôi thiu. Cách bảo quản: Để dầu mỡ trong hộp đậy kín, giữ trong tủ lạnh.
b) Do vi sinh vật trong không khí cung cấp enzyme xúc tác quá trình thủy phân bơ, tạo butyric acid có mùi khó ngửi.
c) Cấu trúc phân tử dạng: -CH=CH- CH2-CH=CH- nên bị oxi hóa tạo CH2(CHO)2 gây mùi khó chịu…
d) Chất chống oxi hóa là những hợp chất có ái lực với oxygen lớn hơn ái lực của lipid trong thực phẩm nên chúng làm cạn kiệt nguồn cung oxygen nên giúp ngăn chặn quá trình oxi hóa chất béo.
e) Các chất peoxide và aldehyde được tạo ra sẽ làm hỏng tế bào, gây xơ vữa động manh, làm hòng DNA tế bào, có khả năng gây ung thư.
OT 1.19
Trong mỗi ý a), b), c), d) ở ỗi câu 19 đến 22, HS chọn đúng hoặc sai.
Phổ khối lượng của ester E được cho dưới đây:
Em hãy cho biết phát biểu sau đây đúng hay sai bằng cách đánh dấu X vào bảng theo mẫu sau đây:
|
Phát biểu |
Đúng |
Sai |
|
a) Ester E có khối lượng phân tử là M = 60. |
? |
? |
|
b) E là ester của methyl alcohol. |
? |
? |
|
c) Nhiệt độ sôi của E cao hơn ethyl alcohol. |
? |
? |
|
d) Xà phòng hóa E bằng dung dịch NaOH thu được muối có công thức CHO2Na. |
? |
? |
Phương pháp giải:
Dựa vào tính chất hóa học của ester.
Lời giải chi tiết:
a) đúng
b) đúng
c) sai, vì ester không có liên kết hydrogen nên nhiệt độ sôi của E thấp hơn ethyl alcohol.
d) đúng
OT 1.20
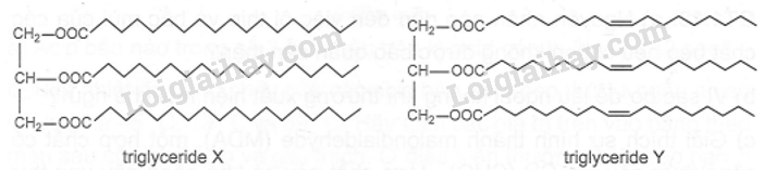
Cho các triglyceride X, Y với công thức cấu tạo sau:
Em hãy cho biết phát biểu sau đây đúng hay sai bằng cách đánh dấu X vào bảng theo mẫu sau đây:
|
Phát biểu |
Đúng |
Sai |
|
a) Triglyceride X có tên gọi là tripalmitin. |
? |
? |
|
b) X là chất béo no, Y là chất béo không no. |
? |
? |
|
c) X, Y đều tan tốt trong nước. |
? |
? |
|
d) Hydrogen hóa Y thu được X. |
? |
? |
Phương pháp giải:
Dựa vào cấu tạo của chất béo.
Lời giải chi tiết:
a) sai, triglyceride X có tên là tristearic.
b) đúng
c) sai, X, Y không tan trong nước
d) đúng
OT 1.21
Cho các chất sau:
Em hãy cho biết phát biểu sau đây đúng hay sai bằng cách đánh dấu X vào bảng theo mẫu sau đây:
|
Phát biểu |
Đúng |
Sai |
|
a) Sodium palmitate và sodium laurylsulfate đều là thành phần chính của xà phòng. |
? |
? |
|
b) Sodium palmitate và sodium laurylsulfate đếu có tính năng giặt rửa. |
? |
? |
|
c) Sodium palmitate và sodium laurylsulfate đều tạo muối khó tan trong nước cứng. |
? |
? |
|
d) Sodium palmitate và sodium laurylsulfate đều có đầu ưa nước gắn với đuôi kị nước. |
? |
? |
Phương pháp giải:
Dựa vào cấu tạo và tính giặt rửa của xà phòng.
Lời giải chi tiết:
a) sai, sodium laurylsulfate là thành phần chính là chất giặt rửa.
b) đúng
c) sau, chỉ sodium palmitate tạo muối khó tan trong nước cứng.
d) đúng
OT 1.22
Nhiệt độ sôi và độ tan của một số ester, carboxylic acid và alcohol có cùng số nguyên tử carbon được cho trong bảng sau:
|
Công thức |
Nhiệt độ sôi (0C) |
Độ tan ở 250C (g/100 g nước) |
|
HCOOCH3 |
31,5 |
23,0 |
|
HCOOC2H5 |
54,2 |
12,0 |
|
CH3COOH |
117,9 |
Tan vô hạn |
|
C2H5COOH |
141 |
Tan vô hạn |
|
C2H5OH |
78,4 |
Tan vô hạn |
|
CH3CH2CH2OH |
97,2 |
Tan vô hạn |
Em hãy cho biết phát biểu sau đúng hay sai bằng cách đánh dấu X vào bảng theo mẫu sau đây
|
Phát biểu |
Đúng |
Sai |
|
a) Do không tạo được liên kết hydrogen giữa các phân tử nên ester có nhiệt độ sôi thấp hơn nhiệt độ sôi của carboxylic acid và alcohol có cùng số nguyên tử carbon. |
? |
? |
|
b) Do có khả năng tạo liên kết hydrogen yếu với nước nên ester thường ít tan trong nước hơn so với carboxylic acid và alcohol có cùng số carbon. |
? |
? |
|
c) Carboxylic acid có nhiệt độ sôi cao hơn alcohol có cùng số nguyên tử carbon. |
? |
? |
|
d) Methanol có khả năng tan vô hoạn trong nước. |
? |
? |
Phương pháp giải:
Dựa vào tính chất vật lí của ester.
Lời giải chi tiết:
|
Phát biểu |
Đúng |
Sai |
|
a) Do không tạo được liên kết hydrogen giữa các phân tử nên ester có nhiệt độ sôi thấp hơn nhiệt độ sôi của carboxylic acid và alcohol có cùng số nguyên tử carbon. |
X |
|
|
b) Do có khả năng tạo liên kết hydrogen yếu với nước nên ester thường ít tan trong nước hơn so với carboxylic acid và alcolhol có cùng số carbon. |
X |
|
|
c) Carboxylic acid có nhiệt độ sôi cao hơn alcohol có cùng số nguyên tử carbon. |
X |
|
|
d) Methanol có khả năng tan vô hoạn trong nước. |
X |
|
OT 1.23
Có bao nhiêu ester của methyl alcohol có công thức phân tử là C5H10O2?
Phương pháp giải:
Dựa vào cấu tạo của ester.
Lời giải chi tiết:
2 công thức: CH3CH2CH2COOCH3 và (CH3)2CHCOOCH3
OT 1.24
Có bao nhiêu hợp chất hữu cơ đơn chức, phân tử chỉ chứa carbon, hydrogen, oxygen và có phân tử khối là 60?
Phương pháp giải:
Dựa vào cấu tạo của ester.
Lời giải chi tiết:
C2H4O2: CH3COOH và HCOOCH3
C3H8O: C3H7OH(2); CH3OC2H5 (1)
Tổng: 5 phân tử.
OT 1.25
Có bao nhiêu triglycerid mà khi xà phòng hóa hoàn toàn thu được glycerol cùng hỗn hợp chỉ gồm muối của palmitic acid và stearic acid?
Phương pháp giải:
Dựa vào điều chế chất béo.
Lời giải chi tiết:
4 phân tử. RCOO(R’COO)2C3H5 (2 phân tử); (RCOO)2R’COOC3H5 (2 phân tử)
OT 1.26
Xà phòng hóa hoàn toàn 0,1 mol ester E đơn chức, mạch hở bằng dung dịch NaOH vừa đủ thu được muối F và alcohol G. Biết khối lượng muối F thu được lớn hơn khối lượng ester E đã tham gia xà phòng hóa. Tính khối lượng alcohol G thu được.
Phương pháp giải:
Dựa vào tính chất hóa học của ester.
Lời giải chi tiết:
Do khối lượng muối lớn hơn ester\( \to \)Alcohol là CH3OH = 0,1 mol \( \to \)m = 3,2 g
OT 1.27
Xà phòng hóa hoàn toàn một ester mạch hở E (Chỉ tạo bởi một carboxylic acid và một alcohol) bằng lượng vừa đủ dung dịch NaOH rồi cô cạn, thu được muối khan F và alcohol G. Đốt cháy hoàn toàn F chỉ thấy tạo CO2 và 0,2 mol Na2CO3, còn đót cháy hoàn toàn G được số mol H2O gấp hai lần số mol CO2. Xác định khối lượng của E, cho biết phân tử khối của E < 200.
Phương pháp giải:
Dựa vào tính chất hóa học của ester.
Lời giải chi tiết:
Muối: (COONa)2 \( \to \) n = 0,2 mol.
G có số mol H2O gấp đôi CO2 nên G là CH4O.
E là: (COOCH3)2 (0,2 mol) \( \to \) m = 0,2. 118 = 23,6 g.
OT 1.28
Trong thực tế, thành phần chất béo gồm các triglyceride có lẫn một ít acid béo tự do. Để sản xuất được m gam xà phòng, người ta thủy phân hoàn toàn 300 g chất béo A trong 500 mL dung dịch KOH 2M (vừa đủ). Sau phản ứng thu được 29,44 g glycerol. Xác định giá trị của m. Cho biết các muối carboxylate trong xà phòng chiếm 70% khối lượng xà phòng. Khối lượng OH đã dùng để xà phòng hóa là tổng hợp khối lượng KOH tác dụng với acid béo tự do và KOH tác dụng với các triglyceride.
Phương pháp giải:
Dựa vào phương pháp sản xuất chất béo.
Lời giải chi tiết:
Số mol KOH đã dùng là 1 mol và số mol glycerol tạo thành là 0,32 mol.
Áp dụng bảo toàn khối lượng, ta có:
m A + m KOH = m muối + m glycerol + m nước
vậy m muối = (m A + m KOH ) – (m glycerol + m nước)
= (300 + 1.56) – [29,44 + 18(1 – 3.0,32)] = 325,84g
Do khối lượng muối sodium carboxylate chiếm 70% khối lượng xà phòng nên khối lượng xà phòng thu được là: 325,84 : 70% = 465,5g