Carbohydrate nào sau đây không được tạo thành chỉ từ các đơn vị glucose?
OT 2.1
Carbohydrate nào sau đây không được tạo thành chỉ từ các đơn vị glucose?
A. Tinh bột. B. Saccharose. C. Cellulose. D. Maltose.
Phương pháp giải:
Dựa vào cấu tạo của carbohydrate.
Lời giải chi tiết:
Saccharose được cấu tạo từ các đơn vị glucose và fructose.
Đáp án B
OT 2.2
Đơn vị nào sau đây là monosaccharide cấu thành phân tử tinh bột và cellulose?
A. Fructose. B. Maltose. C. Saccharose. D. Glucose.
Phương pháp giải:
Dựa vào cấu tạo của monosaccharide.
Lời giải chi tiết:
Tinh bột và cellulose được cấu tạo từ glucose.
Đáp án D
OT 2.3
Glucose được tìm thấy trong tự nhiên dưới dạng D – glucose hoặc L - glucose, trong đó D – glucose có nhiều trong tự nhiên còn L – glucose ít gặp hơn. Destrose là tên gọi khác của D - glucose. Phát biểu nào sau đây không đúng về dextrose?
A. Dextrose là một carbohydrate.
B. Dextrose và glucose có cùng công thức phân tử.
C. Dextrose phản ứng được với thuốc thử Tollens.
D. Do không thể mở vòng, Dextrose không có cấu tạo dạng mạch hở.
Phương pháp giải:
Dựa vào cấu tạo của glucose.
Lời giải chi tiết:
D – glucose và L – glucose đều có khả năng mở vòng.
Đáp án D
OT 2.4
Cho sơ đồ phản ứng:
Các chất X, Y, Z lần lượt là:
A. tinh bột, glucose, ethanol. B. tinh bột, glucose, carbon dioxide.
C. cellulose, saccharose, carbon dioxide. D. cellulose, fructose, carbon dioxide.
Phương pháp giải:
Dựa vào tính chất hóa học của carbohydrate.
Lời giải chi tiết:
Vì Y phản ứng được với thuốc thử Tollens nên Y là glucose.
Y được sinh ra từ phản ứng thủy phân X nên X có thể là tinh bột hoặc cellulose.
Từ (d): quá trình quang hợp Z là CO2 và X là tinh bột.
Đáp án B
OT 2.5
Tinh bột và cellulose là các polymer thiên nhiên. Con người có thể tiêu hóa tinh bột nhưng không thể tiêu hóa cellulose. Nguyên nhân của sự khác biệt này là do
A. số đơn vị mắt xích trong các phân tử tinh bột và cellulose là khác nhau.
B. phần trăm khối lượng carbon trong cellulose lớn hơn so với tinh bột.
C. cách liên kết giữa các đơn vị mắt xích ở mỗi loại phân tử.
D. phân tử cellulose không phân nhánh.
Phương pháp giải:
Dựa vào cấu tạo của tinh bột và cellulose.
Lời giải chi tiết:
Do liên kết giữa các đơn vị mắt xích ở cellulose và tinh bột khác nhau nên con người có thể tiêu hóa tinh bột nhưng không thể tiêu hóa cellulose.
Đáp án C
OT 2.6
Chất nào sau đây không phải polymer sinh học?
A. Tinh bột. B. Cellulose. C. Glucosamine. D. Chitin.
Phương pháp giải:
Dựa vào ứng dụng của carbohydrate.
Lời giải chi tiết:
Glucosamine không phải polymer sinh học.
Đáp án C
OT 2.7
Trong quá trình lên men một carbohydrate, biểu đồ nào dưới đây thể hiện tốt nhất vai trò xúc tác của enzyme cho sự hình thành phát triển P theo thời gian?

Phương pháp giải:
Dựa vào cơ chế phản ứng của xúc tác.
Lời giải chi tiết:
Vai trò xúc tác của enzyme làm cho quá trình lên men carbohydrate tăng đều theo thời gian.
Đáp án A
OT 2.8
Đốt cháy hoàn toàn hỗn hợp glucose, saccharose và tinh bột thu được 8,8 g CO2 và 3,24 g nước. Khối lượng hỗn hợp X đã đốt là
A. 12,04 g. B. 2,76 g. C. 7,68 g. D. 5,64 g.
Phương pháp giải:
Dựa vào tính chất hóa học của glucose và saccharose.
Lời giải chi tiết:
\({n_{CO2}} = \frac{{8,8}}{{44}} = 0,2mol\)
\({n_{{H_2}O}} = \frac{{3,24}}{{18}} = 0,18mol\)
Khi đốt cháy glucose, saccharose: n CO2 = n O2 = 0,2 mol
Bảo toàn khối lượng: m X + m O2 = m CO2 + m H2O
m X = 8,8 + 3,24 + 0,2.32 = 5,64g
Đáp án D
OT 2.9
Cho các phát biểu sau về carbohydrate:
a) Saccharose và fructose không phải là đường khử.
b) Amylopectin phân nhánh là do sự xuất hiện của liên kết \(\alpha - \)1,6 – glycoside.
c) Cellulose không phân nhánh do chỉ xuất hiện liên kết \(\beta - \)1,4 – glycoside.
d) Số nhóm – OH trong phân tử saccharose là 8.
Số phát biểu đúng là
A. 1. B. 2. C. 3. D. 4.
Phương pháp giải:
Dựa vào cấu tạo của carbohydrate.
Lời giải chi tiết:
a) sai, fructose có khả năng mở vòng nên frucose là đường khử.
b) đúng
c) đúng
d) đúng
OT 2.10
Giải thích vì sao các phân tử glucose, frutose và maltose đều có thể mở vòng nhưng phân tử saccharose lại không có khả năng này.
Phương pháp giải:
Dựa vào cấu tạo của glucose, fructose và maltose.
Lời giải chi tiết:
- Glucose, maltose còn nhóm - OH hemiacetal.
- Fructose còn nhóm – OH hemiketal
- Saccharose không còn nhóm – OH hemiacetal cũng như hemiketal.

OT 2.11
Thế nào là liên kết glycoside? Cho ví dụ.
Phương pháp giải:
Dựa vào cấu tạo của carbohydrate.
Lời giải chi tiết:
Liên kết giữa hai đơn vị monosaccharide qua cầu nối oxygen do sự loại đi 1 phân tử nước được gọi là liên kết glycoside.
Ví dụ liên kết trong phân tử saccharose (Giữa 2 đơn vị monosaccharide là \(\alpha - \) glucose và \(\beta - \)fructose)
OT 2.12
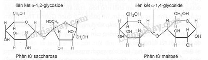
Cho biết tên của loại liên kết giữa 2 đơn vị monosaccharide đã nêu trong các chuỗi mắt xích hoặc phân tử sau:

Phương pháp giải:
Dựa vào cấu tạo của carbohydrate.
Lời giải chi tiết:

OT 2.13
Khi ăn, carbohydrate được chuyển hóa thành glucose. Glucose theo máu đi đến các tế bào rồi bị oxi hóa để tạo ra năng lượng nuôi cơ thể, còn carbon dioxide và nước thì carbon dioxide được thải qua đường thở. Tính thể tích carbon dioxide được thải ra khi 60 g glucose bị oxi hóa. Cho biết ở nhiệt độ cơ thể người bình thường, 1 mol CO2 có thể tích 25,4 lít. Hiệu suất phản ứng đạt 100%.
Phương pháp giải:
Dựa vào tính chất hóa học của glucose.
Lời giải chi tiết:
Vì 1 mol glucose khi bị oxi hóa tạo 6 mol CO2 nên thể tích CO2 thải ra là:
V CO2 = \(\frac{{60.6.25,4}}{{180}} = 50,8(l)\)
OT 2.14
Cho phương trình nhiệt hóa học các phản ứng sau:
Tính giá trị \({\Delta _r}H_{298}^0\)của phản ứng:
Phương pháp giải:
Dựa vào tính chất hóa học của glucose.
Lời giải chi tiết:
Cộng 3 phản ứng (1) + (2) + (3) \( \to \)\({\Delta _r}H_{298}^0\) = -71,4 kJ
OT 2.15
Galactose là một carbohydrate, đồng phân của glucose. Điểm khác biệt là cấu tạo giữa glucose và galactose là ở nguyên tử carbon số 4. Nếu nhóm – OH ở nguyên tử carbon số 4 và nhóm – CH2OH cuối cùng nằm khác phía với vòng ta có glucose, nằm cùng phía ta có galactose.
a) Trình bày cấu trúc phân tử \(\beta \)- glucose và \(\beta \) - galactose.
b) Galactose có phản ứng với thuốc thử Tollens tương tự như glucose không? Vì sao?
Phương pháp giải:
Dựa vào cấu tạo của glucose.
Lời giải chi tiết:
a)

b) Do còn nhóm – OH hemiacetal nên phân tử \(\beta \) - galactose có thể mở vòng, có nhóm – CHO nên phản ứng với thuốc thử Tollens.
OT 2.16
Lactose hay đường sữa, là một disaccharide có trong sữa. Những người không dung nạp được lactose thì không thể tiêu hóa hoàn toàn được lượng lactose có trong sữa này. Kết quả họ bị tiêu chảy, đầy hơi và chướng bụng sau khi ăn hoặc uống các sản phẩm từ sữa. Tình trạng này còn được goi là kém hấp thu lactose, thường vô hại nhưng các triệu chứng của nó có thể gây khó chịu.
a) Em hãy đề xuất một nguyên nhân dẫn đến tình trạng cơ thể không dung nạp lactose.
b) Biết phân tử lactose được tạo bởi một đơn vị \(\beta \)- galactose và một đơn vị \(\beta \)- glucose liên kết với nhau qua nguyên tử oxygen giữa C1 của đơn vị \(\beta \)- galactose và C4 của đơn vị \(\beta \)- glucose. Trình bày cấu trúc phân tử của lactose.
c) Lactose có phải là đường khử không? Giải thích.
Phương pháp giải:
Dựa vào ứng dụng của glucose.
Lời giải chi tiết:
a) Khi cơ thể có quá ít lactase, loại enzyme được sản xuất trong ruột non, thường là nguyên nhân gây ra tình trạng không dung nạp lactose. Một người có lượng lactase thấp vẫn có thể tiêu hóa được các sản phẩm từ sữa. Tuy nhiên mức độ lactase quá thấp dẫn đến cơ thể không dung nạp được một lượng lớn lactose, từ đó xuất hiện các triệu chứng sau khi dùng các sản phẩm tử sữa như đầy bụng, đầy hơi, tiêu chảy…
b)

c) Do còn nhóm –OH hemiacetal, phân tử lactose có thể mở vòng vì vậy còn nhóm – CHO, có phản ứng với thuốc thử Tollens nên lactose là đường khử.
OT 2.17
Con người có thể chỉ sử dụng cellulose làm thức ăn chính thay thế cho tinh bột được không? Giải thích?
Phương pháp giải:
Dựa vào ứng dụng của cellulose và tinh bột.
Lời giải chi tiết:
Không. Vì dịch tiêu hóa của con ngườit hiếu enzyme thủy phân liên kết \(\beta - \)1,4 – glycoside trong phân tử cellulose.
OT 2.18
Ester của carboxylic acid với saccharose còn được gọi là saccharose ester, ví dụ saccharose monostearate với công thức được cho bên dưới, được tổng hợp từ phản ứng giữa saccharose và stearic acid hoặc với tristearine, là một chất hoạt động bề mặt. Phân tử saccharose monostearate cũng có một đầu ưa nước gắn với một đuôi dài kị nước, nên vừa ưa dầu, vừa ưa nước. Nhờ tính chất này, saccharose monostearate hoạt động như một chất nhũ hóa do chúng có khả năng liên kết đồng thời với cả dầu lẫn nước, nhờ đó duy trì trạng thái ổn định cho sản phẩm, giúp sản phẩm tránh tình trạng tách lớp, chảy nước,…
Cho biết công thức phân tử của saccharose monostearate.
Phương pháp giải:
Dựa vào cấu tạo của saccharose.
Lời giải chi tiết:
Công thức phân tử của saccharose monostearate là C30H56O12
OT 2.19
Saccharose octaacetate có công thức C26H38O19 hay (C2H3O2)8C12H14O3, là ester của acetic acid với saccharose. Saccharose octaacetate được dùng làm chất nhũ hóa, chất kháng nấm trong các chế phẩm thuộc lĩnh vực dược phẩm, mĩ phẩm. Cơ quan Quản lí thực phẩm và dược phẩm Mỹ (FDA) cho phép sử dụng Saccharose octaacetate làm chất phụ gia thực phẩm, chất chống cắn móng tay và mút ngón tay ở trẻ do tính chất rất đắng của nó.
a) Biểu diễn cấu trúc hóa học của Saccharose octaacetate. Viết phương trình hóa học của phản ứng điều chế Saccharose octaacetate từ saccharose và acetic anhydride với xúc tác sodium acetate.
b) Để tổng hợp saccharose octaacetate theo phương pháp “Hóa học xanh” (green chemistry), người ta tiến hành ester hóa saccharose trong điều kiện chiếu xạ siêu âm cho 10 g saccharose phản ứng với 30 mL acetic anhydride (D = 1,08 g/mL). Tính khối lượng saccharose octaacetate thu được. Cho hiệu suất đạt 75%.
c) Nêu những hiểu biết của em về “Hóa học xanh”. Cho ví dụ.
Phương pháp giải:
Dựa vào tính chất hóa học của saccharose.
Lời giải chi tiết:

b) n saccharose = 0,029 (mol); n (acetic anhydride) = 0,317 (mol)
m (saccharose octaacetate) = \(\frac{{678.0,029.75}}{{100}} = 14,746(g)\)
c) “Hóa học xanh” là khái niệm về phát triển hóa học bền vững trong việc hạn chế sử dụng và tạo thành sp phụ là các hóa chất độc hại, tránh gây ô nhiễm môi trường.
Ví dụ: Khi thay thế sodium acetate bằng chiếu xạ siêu âm sẽ giải quyết được vấn đề tránh ô nhiễm môi trường, hệ sinh thái do sodium acetate làm tăng pH của nước, gây kích ứng da…
OT 2.20
Trong mỗi ý a), b), c), d) ở mỗi câu từ 20 đến 23, học sinh chọn đúng hoặc sai.
Việc phân loại một carbohydrate có thể dựa vào phản ứng thùy phân carbohydrate và số phân tử thu được sau phản ứng thủy phân một phân tử carbohydrate đó.
Em hãy cho biết phát biểu sau đúng hay sai bằng cách đánh dấu X vào bảng theo mẫu sau đây
|
Phát biểu |
Đúng |
Sai |
|
a) Glucose là monosaccharide do glucose không cho được phản ứng thủy phân. |
? |
? |
|
b) Saccharose là disaccharide do thủy phân một phân tử saccharose thu được một phân tử glucose và một phân tử fructose. |
? |
? |
|
c) Maltose là monosaccharide do thủy phân maltose chỉ thu được glucose. |
? |
? |
|
d) Cellulose là polysaccharide do thủy phân một phân tử cellulose thu được nhiều phân tử glucose. |
? |
? |
Phương pháp giải:
Dựa vào tính chất hóa học của carbohydrate.
Lời giải chi tiết:
a) đúng
b) đúng
c) sai, maltose là disaccharide.
d) đúng
OT 2.21
Cấu trúc phân tử saccharose và maltose được cho dưới đây:
Em hãy cho biết phát biểu sau đúng hay sai bằng cách đánh dấu X vào bảng theo mẫu sau đây
|
Phát biểu |
Đúng |
Sai |
|
a) Phân tử Saccharose không còn nhóm – OH hemiacetal và nhóm – OH hemiketal. |
? |
? |
|
b) Phân tử Saccharose và maltose đều không có khả năng mở vòng. |
? |
? |
|
c) Phân tử Saccharose tạo bởi một đơn vị \(\beta - \)glucose và một đơn vị \(\alpha - \)fructose, liên kết với nhau qua nguyên tử oxygen giữa C1 của đơn vị \(\beta - \)glucose và C4 của đơn vị \(\alpha - \)fructose. |
? |
? |
|
d) Saccharose và maltose đều là các disaccharide. |
? |
? |
Phương pháp giải:
Dựa vào cấu tạo của saccharose.
Lời giải chi tiết:
a) đúng
b) sai, maltose có khả năng mở vòng.
c) sai, saccharose tạo từ một đơn vị \(\beta - \)fructose và một đơn vị \(\alpha - \)glucose.
d) đúng
OT 2.22
Quan sát cấu trúc phân tử maltose dạng mạch vòng và dạng mở vòng sau:
Em hãy cho biết phát biểu sau đúng hay sai bằng cách đánh dấu X vào bảng theo mẫu sau đây
|
Phát biểu |
Đúng |
Sai |
|
a) Phân tử maltose tạo bởi hai đơn vị glucose, liên kết với nhau qua nguyên tử oxygen giữa C1 của đơn vị glucose này và C4 của đơn vị glucose kia. |
? |
? |
|
b) Phân tử maltose còn một nhóm – OH hemiacetal. |
? |
? |
|
c) Thùy phân maltose chỉ thu được glucose. |
? |
? |
|
d) Maltose không có khả năng phản ứng với thuốc thử Tollens. |
? |
? |
Phương pháp giải:
Dựa vào cấu tạo của maltose.
Lời giải chi tiết:
a) đúng
b) đúng
c) đúng
d) sai, maltose có khả năng phản ứng với thuốc thử Tollens.
OT 2.23
Quan sát cấu trúc phân tử amylose và phân tử cellulose dưới đây
Em hãy cho biết phát biểu sau đúng hay sai bằng cách đánh dấu X vào bảng theo mẫu sau đây
|
Phát biểu |
Đúng |
Sai |
|
a) Phân tử amylose tạo bởi nhiều đơn vị \(\beta - \)glucose, nối với nhau qua liên kết \(\beta - \) 1,4 – glycoside. |
? |
? |
|
b) Phân tử cellulose tạo bởi nhiều đơn vị \(\alpha - \)glucose, nối với nhau qua liên kết \(\alpha - \) 1,4 – glycoside. |
? |
? |
|
c) Amylose và cellulose đều là những polymer mạch không phân nhánh. |
? |
? |
|
d) Thủy phân amylose hoặc cellulose đều thu được glucose. |
? |
? |
Phương pháp giải:
Dựa vào cấu tạo của cellulose.
Lời giải chi tiết:
a) sai, Phân tử amylose tạo bởi nhiều đơn vị \(\alpha - \)glucose, nối với nhau qua liên kết
\(\alpha - \) 1,4 – glycoside.
b) sai, Phân tử cellulose tạo bởi nhiều đơn vị \(\beta - \)glucose, nối với nhau qua liên kết \(\beta - \) 1,4 – glycoside.
c) đúng
d) đúng
OT 2.24
Trong số 6 carbohydrate: glucose, fructose, saccharose, maltose, tinh bột và cellulose, có bao nhiêu carbohydrate cho được phản ứng thủy phân?
Phương pháp giải:
Dựa vào tính chất hóa học của carbohydrate.
Lời giải chi tiết:
Có 4 carbohydrate có phản ứng thủy phân: saccharose, maltose, tinh bột và cellulose.
OT 2.25
Trong số 4 carbohydrate: glucose, fructose, saccharose, maltose có bao nhiêu carbohydrate có nhóm – OH hemiacetal trong phân tử?
Phương pháp giải:
Dựa vào cấu tạo của carbohydrate.
Lời giải chi tiết:
Có glucose và maltose.
OT 2.26
Thủy phân 10 g saccharose thu được 10,3 g hỗn hợp gồm glucose, fructose và saccharose còn dư. Saccharose còn dư bao nhiêu gam?
Phương pháp giải:
Dựa vào phản ứng thủy phân saccharose.
Lời giải chi tiết:
m H2O = 3 \( \to \) m (saccharose dư) = 10 - \(\frac{{0,3}}{{18}}.342\)=4,3 g.
OT 2.27
Lên men m gam tinh bột rồi hấp thụ hết lượng carbon dioxide sinh ra vào nước vôi trong dư thu được 20 g kết tủa. Biết hiệu suất quá trình lên men đạt 81%. Xác định giá trị của m.
Phương pháp giải:
Dựa vào tính chất hóa học của tinh bột.
Lời giải chi tiết:
nCO2 = 0,2 mol \( \to \)n tinh bột = \(\frac{1}{2}{n_{C{O_2}}}\)\( \to \) m (tinh bột) = \(\frac{{0,1.100}}{{81}}.162 = 20{\rm{ g}}\).
OT 2.28
Đốt cháy hoàn toàn một lượng rắn X gồm glucose, saccharose và tinh bột thu được 0,55 mol CO2 và 0,5 mol H2O. Khối lượng X đã đốt cháy là bao nhiêu gam ?
Phương pháp giải:
Dựa vào phản ứng đốt cháy của carbohydrate.
Lời giải chi tiết:
Khi đốt cháy carbohydrate: n CO2 = n O2 = 0,55 mol
Bảo toàn khối lượng: m X + m O2 = m CO2 + m H2O
m X = 0,55.44 + 0,5.18 – 0,55.32 = 15,6g
OT 2.29
|
Trong một thí nghiệm quang hợp của tảo xanh, oxygen sinh ra từ quá trình này được thu bằng phương pháp đẩy nước như hình bên: Nếu thể tích oxygen thu được là 60 mL (270C, 1 atm) thì khối lượng tinh bột (tính theo mg) tạo thành là bao nhiêu? Cho áp suất hơi nước ở 270C là 0,035 atm; R = 0,082 L.atm.mol-1.K-1. |
![]() |
Phương pháp giải:
Dựa vào số mol của O2 từ đó tính khối lượng tinh bột.
Lời giải chi tiết:
n O2 = \(\frac{{P.V}}{{R.T}} = \frac{{(1 - 0,035).0,06}}{{0,082.(27 + 273)}} = 0,00235(mol)\)
m tinh bột = \(\frac{{0,00235.162.1000}}{6} = 63,5(mg)\)
