Phân tử nào sau đây là phân tử sinh học?
Tổng hợp đề thi học kì 1 lớp 10 tất cả các môn - Chân trời sáng tạo
Toán - Văn - Anh - Lí - Hóa - Sinh - Sử - Địa...
CH tr 18 6.1
Phân tử nào sau đây là phân tử sinh học?
Carbon dioxide Nước Protein Barium chloride
Lipid Bạc nitrate Hemoglobin Carotenoid
Lời giải chi tiết:
=> Các phân tử sinh học là: protein, lipid, carotenoid.
CH tr 18 6.2
Trong các phân tử sau đây, có bao nhiêu phân tử được cấu tạo theo nguyên tắc đa phân?
1) Protein 2) Tinh bột 3) Cholesterol 4) Phospholipid
5) Lactose 6) mRNA 7) DNA 8) Nucleotide
Lời giải chi tiết:
Các chất được cấu tạo theo nguyên tắc đa phân là:
- Protein: từ các amino acid
- Tinh bột: từ các glucose
- mRNA: từ các ribonucleotide
- DNA: từ các nucleotide
CH tr 18 6.3
Carbohydrate được chia thành đường đơn, đường đôi và đường đa dựa vào:
A. số lượng nguyên tử carbon có trong phân tử đường đó
B. số lượng liên kết glycosidic giữa các đơn phân
C. số lượng đơn phân có trong phân tử đường đó
C. số lượng phân tử glucose có trong phân tử đường đó
Phương pháp giải:
Carbohydrate được chia thành 3 loại đường đơn, đường đôi và đường đa theo số lượng đơn phân trong phân tử đó.
Lời giải chi tiết:
Chọn đáp án C.
CH tr 18 6.4
Phát biểu nào dưới đây sai khi nói về các loại đường glucose, fructose và galactose?
A. Đều là các loại đường đơn
B. Khác nhau về cấu hình không gian
C. Đều có sáu nguyên tử carbon trong phân tử
D. Có công thức phân tử khác nhau.
Phương pháp giải:
Các đường đơn đều có công thức phân tử là C6H12O6.
Lời giải chi tiết:
Chọn đáp án D.
CH tr 18 6.5
Loại đường đơn cấu tạo nên nucleic acid có
A. 6 carbon B. 3 carbon C. 4 carbon D. 5 carbon
Phương pháp giải:
Đường đơn cấu tạo nên các nucleic acid là đường có 5 carbon.
Ở DNA là dường deoxiribose (C5H10O4) còn ở RNA là đường ribose (C5H10O5).
Lời giải chi tiết:
Chọn đáp án D.
CH tr 18 6.6
Cho biết hình ảnh sau đây mô tả phân tử nào?

A. Protein B. Saccharose C. DNA D. Phospholipid
Lời giải chi tiết:
Chọn đáp án B.
CH tr 19 6.7
Tại sao trong điều kiện bình thường, dầu thực vật tồn tại ở trạng thái lỏng?
A. Vì dầu thực vật được cấu tạo từ các acid béo no.
B. Vì dầu thực vật được cấu tạo từ các acid béo không no.
C. Vì dầu thực vật có thành phần chủ yếu là glycerol.
D. Vì dầu thực vật có thành phần chủ yếu là acid béo.
Lời giải chi tiết:
Chọn đáp án B.
CH tr 19 6.8
Hãy ghép các phân tử sinh học sau đây cho đúng với vai trò của chúng.

Lời giải chi tiết:

1 - d; 2 - f; 3 - e; 4 - b; 5 - a; 6 - c.
CH tr 19 6.9
Điền từ/cụm từ thích hợp vào chỗ trống.
Đại phân tử sinh học là các phân tử … (1) … do cơ thể sinh vật tạo thành, chúng tham gia vào nhiều hoạt động sống của tế bào và cơ thể. Trong tế bào, có bốn đại phân tử có vai trò quan trọng là … (2) …, … (3) …, … (4) …, … (5) …; trong đó, … (6) … là đại phân tử có vai trò đa dạng nhất. Đa phần các đại phân tử đều được cấu tạo theo … (7) …, gồm nhiều … (8) … liên kết với nhau tạo thành.
Trong tế bào, … (9) … là vật chất mang thông tin di truyền. Thông tin di truyền được biểu hiện thành tính trạng của cơ thể sinh vật thông qua hoạt động chức năng của phân tử … (10) … . Nguồn năng lượng để cung cấp cho các hoạt động sống trong cơ thể chủ yếu được lấy từ … (11) … . Ngoài ra, cơ thể cũng có nguồn năng lượng dự trữ từ … (12) … .
Lời giải chi tiết:
(1) hữu cơ (2) carbohydrate
(3) protein (4) nucleic acid
(5) lipid (6) protein
(7) nguyên tắc đa phân (8) đơn phân
(9) nucleic acid (10) DNA
(11) carbohydrate (12) lipid
CH tr 19 6.10
Khi nói về lipid, có bao nhiêu phát biểu sau đây là đúng?
(1) Lipid là đại phân tử hữu cơ được cấu tạo theo nguyên tắc đa phân.
(2) Lipid là chất dự trữ và cung cấp năng lượng cho tế bào.
(3) Lipid được chia thành hai loại là lipid đơn giản và lipid phức tạp tùy theo số lượng nguyên tử carbon có trong các acid béo.
(4) Vitamin A, D, E, K là các vitamin tan trong dầu.
(5) Các acid béo liên kết với glycerol tại các nhóm -OH của chúng.
(6) Steroid là loại lipid phức tạp. Đây là thành phần chính cấu tạo màng sinh chất.
A. 4 B. 3 C. 2 D. 1
Phương pháp giải:
Các ý đúng là: (2); (4); (5).
Lời giải chi tiết:
Chọn đáp án B.
CH tr 20 6.11
Khi nói về nucleic acid, có bao nhiêu phát biểu sau đây là sai?
(1) Hai chuỗi polynucleotide của một phân tử DNA sẽ có chiều ngược nhau.
(2) Tên gọi của các nucleotide được đặt dựa trên tên gọi của các base.
(3) rRNA là phân tử làm khuôn để tổng hợp chuỗi polypeptide.
(4) Hai mạch polynucleotide của phân tử DNA xoắn theo chiều từ phải sang trái quanh trục phân tử.
(5) Thông tin di truyền trên DNA được truyền đạt một cách chính xác qua các thế hệ là nhờ nguyên tắc bổ sung.
A. 4 B. 3 C. 2 D. 1
Phương pháp giải:
Các ý sai là: (3); (4); (5).
Lời giải chi tiết:
Chọn đáp án B.
CH tr 20 6.12
Trong các đặc điểm sau đây, những đặc điểm nào là đặc điểm giống nhau ở tinh bột và cellulose?
Là đường đa. Có cấu trúc mạch phân nhánh
Có cấu trúc mạch thẳng Đơn phân là các phân tử fructose
Là chất dự trữ năng lượng trong tế bào
Không tan trong nước
Lời giải chi tiết:
Các đặc điểm giống nhau ở tinh bột và cellulose là:
- Là đường đa
- Là chất dự trữ năng lượng trong tế bào
- Không tan trong nước
CH tr 20 6.13
Phân tử nào sau đây khác so với các phân tử còn lại?
A. Glycogen B. Tinh bột C. Maltose D. Testosterol
Phương pháp giải:
Ba phân tử: glycogen, tinh bột và maltose đều thuộc nhóm carbonhydrate còn testosterol có bản chất là lipid.
Lời giải chi tiết:
Chọn đáp án D.
CH tr 20 6.14
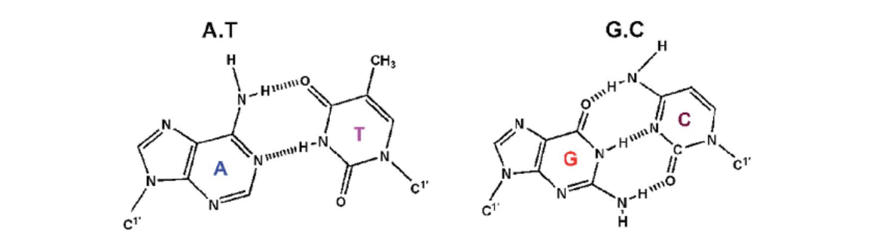
Hãy vẽ sơ đồ minh họa cấu tạo của một cặp nucleotide. Xác định loại liên kết được hình thành giữa nhóm phosphate và base với phân tử đường; giữa hai nucleotide với nhau.
Lời giải chi tiết:
Cấu tạo của một cặp nucleotide theo Watson và Crick:

Liên kết giữa nhóm phosphate và base với phân tử đường là liên kết phosphodieste.
Liên kết giữa 2 nucleotide trong cùng cặp liên kết với nhau bằng liên kết hydro.
CH tr 20 6.15
So sánh các phân tử mRNA, tRNA, rRNA về cấu tạo và chức năng.
Lời giải chi tiết:

CH tr 21 6.16
Biết khối lượng của một nucleotide là 300 đơn vị carbon (đvC), của một amino acid là 110 đvC; cứ ba nucleotide kế tiếp nhau sẽ quy định một amino acid. Hãy xác định thứ tự tăng dần về khối lượng của các phân tử sau: DNA, protein, mRNA.
Lời giải chi tiết:
Thứ tự tăng dần về khối lượng của các phân tử là: protein < RNA < DNA.
CH tr 19 6.17
Một nhà sinh học đã sử dụng ba loại nucleotide A, G, C để tiến hành tổng hợp một đoạn phân tử DNA xoắn kép trong điều kiện môi trường nhân tạo. Em hãy dự đoán phân tử DNA được tạo thành sẽ chứa bao nhiêu loại nucleotide. Giải thích.
Phương pháp giải:
DNA có cấu tạo hai chuỗi polynucleotide xoắn kép, song song và ngược chiều. Trong đó các nucleotide giữa hai mạch đơn liên kết với nhau bằng liên kết hydrogen theo nguyên tắc bổ sung như sau:
Nuleotide loại A liên kết với nucleotide loại T; nucleotide loại G liên kết với nucleotide loại C và ngược lại.
Lời giải chi tiết:
Trong môi trường nhân tạo có A, G, C, em dự đoán phân tử DNA tạo thành sẽ chứa 2 loại nucleotide là G và C.
Vì nucleotide loại A trong môi trường khoogn conucleotide loai jT để bắt cặp cùng nên DNA sẽ không có A.
CH tr 20 6.18
Dựa vào cấu trúc của các loại mRNA, tRNA, rRNA; em hãy dự đoán thời gian tồn tại của chúng trong tế bào. Giải thích.
Phương pháp giải:
mRNA có cấu tạo mạch đơn, thẳng, không có liên kế hydrogen giữa các nucleotide.
tRNA có cấu trúc mạch đơn, xoắn lại tạo cấu trúc không gian 3 thùy, có liên kết hydrogen giữa các nucleotide nhưng rất ít.
rRNA có cấu trúc xoắn cục bộ, nhiều liên kết hydrogen và đồng thời rRNA còn liên kết với protein để tạo thành ribosome.
Lời giải chi tiết:
Thời gian tồn tại của 3 loại RNA trong tế bào theo thứ tự từ ngắn đến dài nhất là: mRNA < tRNA < rRNA, vì:
mRNA có cấu tạo mạch đơn, thẳng, không có liên kế hydrogen giữa các nucleotide.
tRNA có cấu trúc mạch đơn, xoắn lại tạo cấu trúc không gian 3 thùy, có liên kết hydrogen giữa các nucleotide nhưng rất ít.
rRNA có cấu trúc xoắn cục bộ, nhiều liên kết hydrogen và đồng thời rRNA còn liên kết với protein để tạo thành ribosome.
CH tr 20 6.19
Hãy chứng minh cấu trúc bậc 1 của protein quyết định cấu trúc không gian của nó.
Phương pháp giải:
Cấu trúc bậc 1 của protein là chuỗi polypeptide vừa được tổng hợp từ quá trình dịch mã, bao gồm trình tự amino acid liên kết với nhau bởi liên kết peptide.
Lời giải chi tiết:
Cấu trúc bậc 1 của phân tử protein là trình tự sắp xếp các amino acid, cấu trúc này quy định tính đa dạng và đặc thù của phân tử protein.
Cấu trúc bậc 1 làm cơ sở để hình thành cấu trúc bậc 2 và 3 của protein, do đó, cấu trúc bậc 1 quyết định cấu trúc không gian của protein.
CH tr 20 6.20
X là một loại đường đơn rất quan trọng đối với sức khỏe vì đây là nguồn năng lượng cần thiết giúp cho các tế bào trong cơ thể hoạt động bình thường, đặc biệt là tế bào não. Tuy nhiên, nếu cơ chế kiểm soát hàm lượng X trong cơ thể bị rối loạn, dẫn đến hàm lượng chất X trong máu tăng cao sẽ gây ra bệnh tiểu đường.

a) Chất X là loại đường nào?
b) Chế độ ăn uống như thế nào sẽ khiến hàm lượng chất X trong máu tăng cao?
c) Cho các nhóm chất sau: tinh bột, đường, protein, lipid, chất xơ. Em hãy sắp xếp các nhóm chất trên vào Hình 6.2 để xây dựng một tháp dinh dưỡng cho người mắc bênh tiểu đường và giải thích cơ sở để xây dựng tháp dinh dưỡng đó.
d) Hãy đề xuất một số biện pháp phòng tránh bệnh tiểu đường.
Phương pháp giải:
Glucose là loại đường đơn rất quan trọng đối với sức khỏe vì đây là nguồn năng lượng cần thiết giúp cho các tế bào trong cơ thể hoạt động bình thường, đặc biệt là tế bào não.
Tuy nhiên, nếu cơ chế kiểm soát hàm lượng glucose trong cơ thể bị rối loạn, dẫn đến hàm lượng glucose trong máu tăng cao sẽ gây ra bệnh tiểu đường.
Lời giải chi tiết:
a) X là glucose.
b) Chế dộ ăn nhiều các loại thức ăn chứa carbohydrate (tinh bột, ngũ cốc, trái cây …) sẽ làm tăng hàm lượng glucose trong máu.
c) (1) tinh bột (theo chỉ định của bác sĩ);
(2) chất xơ;
(3) protein;
(4) đường.
d)
Hạn chế ăn các loại thức ăn có chứa hàm lượng đường cao;
Ăn nhiều rau, củ để hỗ trợ tiêu hóa và kiểm soát cân nặng;
Hạn chế ăn các loại thức ăn được chế biến sẵn;
Thường xuyên tập thể dục thể thao.
CH tr 20 6.21
Một phân tử DNA có chiều dài 5 100 Ao, trong đó, số nucleotide loại A gấp ba lần số nucleotide loại G. Biết rằng, mỗi nucleotide có chiều dài 3,4 Ao và khối lượng là 300 đvC.
a) Tổng số nucleotide của phân tử DNA trên là bao nhiêu?
b) Tính số nucleotide từng loại của phân tử DNA.
c) Xác định khối lượng của phân tử DNA.
d) Số liên kết hydrogen của phân tử DNA đó là bao nhiêu?
Phương pháp giải:
DNA có cấu tạo 2 mạch đơn bằng nhau, chiều dài DNA sẽ bằng chiều dài của một mạch đơn của DNA và mỗi nucleotide có chiều dài 3,4 Ao nên ta có công thức tính số nucleotide của phân tử DNA (N) theo chiều dài (L) là:

Lời giải chi tiết:
a) L = 5 100 Ao => N = 5 100 x 2 : 3,4 = 3 000 (nucleotide).
b) Tổng số lượng nucleotide của DNA = 3000 = A + T + G + C
mà A = T; G = C (do các cặp nucleotide này liên kết với nhau theo nguyên tắc bổ sung).
=> 2 A + 2 G = 3 000. (1)
Theo đề bài, ta có số nucleotide loại A gấp ba lần số nucleotide loại G
=> A = 3 G (2)
Từ (1) và (2) => A = T = 1 125 (nu); G = C = 375 (nu).
c) Mỗi nucleotide có khối lượng là 300 đvC
=> Khối lượng của DNA = 3 000 x 300 = 9.105 đvC.
d) Theo nguyên tắc bổ sung, các nucleotide giữa hai mạch đơn của DNA liên kết với nhau bằng liên kết hydrogen theo nguyên tắc:
A liên kết với T bằng 2 liên kết hydrogen; G liên kết với C bằng 3 liên kết hydrogen và ngược lại.
=> Số liên kết hydrogen của DNA = 2 A + 3 G = 2 x 1 125 + 3 x 375 = 3 375.
CH tr 20 6.22
Một phân tử DNA có khối lương 9.105 đvC. Phân tử DNA này có hiệu số giữa nucleotide loại A với loại nucleotide không cùng nhóm bổ sung là 10 %. Mạch 1 của phân tử DNA có 525 nucleotide loại A, 250 nucleotide loại T và 150 nucleotide loại C.
a) Xác định tổng số nucleotide và chiều dài của phân tử DNA.
b) Tính số nucleotide mỗi loại của phân tử DNA.
c) Mạch 2 của phân tử DNA nói trên được dùng làm khuôn để tổng hợp một phân tử mRNA. Hãy xác định số nucleotide từng loại của phân tử mRNA được tổng hợp.
Phương pháp giải:
Theo nguyên tắc bổ sung (NTBS), các nucleotide giữa hai mạch đơn của DNA liên kết với nhau bằng liên kết hydrogen theo nguyên tắc:
A liên kết với T bằng 2 liên kết hydrogen; G liên kết với C bằng 3 liên kết hydrogen và ngược lại.
Cũng vì vậy mà số nucleotide giữa 2 mạch đơn sẽ có sự liên kết với nhau theo cách:
A mạch 1 (kí hiệu là A1) = T2; T1 = A2; G1 = C2; C1 = G2.
Lời giải chi tiết:
a) Phân tử DNA có khối lượng là 9.105 đvC mà mỗi nucleotide có khối lượng là 300 đvC
=> Số nucleotide của DNA là: N = 9.105 : 300 = 3000 (nu).
L = 3000 : 2 x 3,4 = 5 100 Ao
b) Theo đề bài, hiệu số giữa nucleotide loại A với loại nucleotide không cùng nhóm bổ sung là 10 % => A – G = 10%; mà A + G = 50%.
=> A = T = 30%; G = C = 20%.
=> Số nucleotide từng loại của DNA là:
A = T = 3000 x 30% = 900 (nu); G = C = 3000 x 20% = 600 (nu).
c) Mạch 2 được dùng làm khuôn để tổng hợp phân tử mRNA.
Theo đề bài, mạch 1 của phân tử DNA có 525 nucleotide loại A, 250 nucleotide loại T và 150 nucleotide loại C.
Dựa vào NTBS, ta có: A1 = T2 = 525 (nu)
T1 = A2 = 250 (nu)
C1 = G2 = 150 (nu)
G1 = C2 = G – G2 = 575 (nu)
=> Mạch mRNA mới được tổng hợp sẽ có trình tự bổ sung với mạch gốc (mạch 2) của DNA nên ta có số nucleotide từng loại của phân tử mRNA là:
AmRNA = T2 = 525; UmRNA = A2 = 250; G mRNA = C2 = 575; C mRNA = G2 = 150.
CH tr 20 6.23
Phân tích vật chất di truyền của bốn chủng vi sinh vật gây bệnh thì thu được kết quả như bảng sau. Từ kết quả phân tích, có thể rút ra được nhận xét gì về dạng vật chất di truyền của các chủng vi sinh vật này?

Phương pháp giải:
DNA được cấu tạo từ 4 loại nucleotide là A, T, G, C.
Theo nguyên tắc bổ sung (NTBS), các nucleotide giữa hai mạch đơn của DNA liên kết với nhau bằng liên kết hydrogen theo nguyên tắc:
A liên kết với T; G liên kết với C và ngược lại.
RNA được cấu tạo từ 4 loại nucleotide là A, U, G, C và không thể hiện NTBS.
Lời giải chi tiết:
- Vật chất di truyền của chủng 1 là DNA mạch kép vì có bốn loại nucleotide của DNA là A, T, G, C và A = T; G = C nên chứng tỏ các nucleotide liên kết với nhau theo NTBS.
- Vật chất di truyền của chủng 2 là DNA mạch đơn, vì có bốn loại nucleotide của DNA là A, T, G, C nhưng tỉ lệ A khác T, G khác C.
- Vật chất di truyền của chủng 3 là RNA mạch đơn vì có bốn loại nucleotide của RNA là A, U, G, C và tỉ lệ A = U nhưng G khác C nên các nucleotide không liên kết với nhau theo NTBS.
- Vật chất di truyền của chủng 4 là RNA mạch kép vì có bốn loại nucleotide của RNA là A, U, G, C và tỉ lệ A = U nhưng G = C nên các nucleotide liên kết với nhau theo NTBS.
CH tr 21 6.24
Một nhà khoa học khi nghiên cứu về loại thuốc AZT (Azidothymidine) được dùng để làm chậm tiến triển của các bệnh ở người do virus gây ra. Ông đã mô tả cấu trúc của thuốc như Hình 6.3. Từ cấu trúc này, ông đã đưa ra kết luận rằng loại thuốc này có khả năng ức chế sự hình thành phân tử nucleic acid của virus, do đó sẽ ngăn chặn được sự nhân lên của chúng trong cơ thể người. Theo em, dựa vào cơ sở nào mà nhà khoa học có thể đưa ra kết luận đó?

Lời giải chi tiết:
Dựa vào cấu trúc phân tử của thuốc: nhóm base, đường và gốc phosphate => cấu trúc tương tự các nucleotide trên DNA => phân tử này có thể tham gia vào quá trình tổng hợp nucleic acid.
Tuy nhiên phân tử này không có nhóm -OH ở C3 giống nucleotide nên không thể hình thành liên kết phosphodieste (liên kết hóa trị) với các nucleotide cùng một mạch => không thể kéo dài mạch đơn => dừng quá trình tổng hợp mạch nucleic acid.
CH tr 21 6.25
Trong nghiên cứu di truyền, nguyên tắc bổ sung đóng vai trò rất quan trọng vì nguyên tắc này được dùng trong phương pháp lai phân tử với nhiều mục đích nghiên cứu khác nhau. Tùy theo mục đích người ta có thể tiến hành các kiểu lai phân tử khác nhau như DNA – DNA, DNA – RNA, và RNA – RNA. Trong đó, kiểu DNA – DNA để xác định mối quan hệ họ hàng giữa các loài khác nhau.
(1) Cho mẫu DNA của hai loài A (không có đánh dấu) và loài B (có đánh dấu) vào trong một dung dịch thích hợp.
(2) Đun dung dịch trên ở nhiệt độ khoảng 80 – 90 độ C.
(3) Hạ từ từ nhiệt đjộ đến khi dung dịch nguội hẳn.
(4) Thu mẫu các phân tử DNA, phân tích kết quả và đưa ra kết luận.
Dựa vào thông tin trên, em hãy trả lời các câu hỏi sau:
a) Việc đun nóng dung dịch chứa hai mẫu DNA ở nhiệt độ khoảng 80 – 90 độ C có tác dụng gì?
b) Tại sao sau khi đun, người ta lại hạ từ từ nhiệt độ xuống? Nếu hạ nhiệt độ một cách đột ngột sẽ gây ảnh hưởng gì đến kết quả nghiên cứu?
c) Người ta sẽ thu được các phân tử DNA như thể nào từ dung dịch sau khi để nguội?
d) Dựa vào đâu để xác định mối quan hệ họ hàng giữa loài A và loài B từ các phân tử DNA thu nhận được?
Lời giải chi tiết:
a) Việc đun dung dịch chứa hai mẫu DNA ở nhiệt độ 80 – 90 độ C có tác dụng gây biến tính DNA, có nghĩa là lúc này các liên kết hydrogen giữa hai mạch của DNA bị phá vỡ và tách rời nhau.
b) Hạ nhiệt độ xuống từ từ giúp các mạch polynucleotide liên kết trở lại với nhau theo NTBS. Nếu hạ nhiệt độ xuống đột ngột sẽ gây sốc nhiệt, làm hư hỏng cấu trúc của DNA.
c) Các loại phân tử DNA có thể thu được gồm:
(1) DNA chứa cả hai mạch của loài A;
(2) DNA chứa cả hai mạch của loài B;
(3) DNA chứa một mạch của loài A và một mạch của loài B.
d) Dùng các phân tử chứa một mạch của loài A và một mạch của loài B, xem tỉ lệ bắt cặp bổ sung của hai mạch với nhau. Tỉ lệ bổ sung đúng càng cao thì hai loài A và B càng có quan hệ họ hàng gần gũi và ngược lại.