Sự kiểm soát chu kì tế bào bằng hệ thống phân tử trong tế bào chất đã được chứng minh thông qua thí nghiệm của Potu Rao và Robert Johnson được thực hiện vào năm 1970 (Hình 1).
- Thí nghiệm 1: Lấy tế bào đang ở pha S cho dung hợp với tế bào đang ở pha G1.
Tổng hợp đề thi học kì 1 lớp 10 tất cả các môn - Chân trời sáng tạo
Toán - Văn - Anh - Lí - Hóa - Sinh - Sử - Địa...
CH tr 64 1
Sự kiểm soát chu kì tế bào bằng hệ thống phân tử trong tế bào chất đã được chứng minh thông qua thí nghiệm của Potu Rao và Robert Johnson được thực hiện vào năm 1970 (Hình 1).
- Thí nghiệm 1: Lấy tế bào đang ở pha S cho dung hợp với tế bào đang ở pha G1.
- Thí nghiệm 2: Lấy tế bào đang ở pha M cho dung hợp với tế bào đang ở pha G1.
a) Hãy mô tả kết quả thí nghiệm và giải thích.
b) Một nhà khoa học đem dung hợp một tế bào đang ở pha G2 với một tế bào đang ở pha M với mong muốn tế bào ở pha M ngừng nguyên phân. Theo em, mong muốn của nhà khoa học đó có đạt được không? Giải thích.
Phương pháp giải:
Hệ thống kiểm soát chu kì tế bào có 2 điểm kiểm soát chính là:
- Điểm kiểm soát G1: nhận diện các sai hỏng của tế bào trước khi bước vào pha S để nhân đôi DNA. Tế bào bị sai hỏng sẽ dừng lại ở đó cho đến khi các sai hỏng được khắc phục.
- Điểm kiểm soát G2/M: kiểm soát sự nhân dổi nhiễm sắc thể, kiểm tra xem tế bào đã có đủ nguyên liệu bước vào nguyên phân và nhận diện các sai hỏng.
Tùy thuộc vào vị trí của các điểm kiểm soát mà khi dung hợp các tế bào ở các pha khác nhau sẽ gây ra nhiều biến đổi trong tế bào dung hợp.
Lời giải chi tiết:
Kết quả thí nghiệm:
- Thí nghiệm 1: Tế bào ở pha G1 lập tức bước vào pha S để tiến hành nhân đôi DNA.
- Thí nghiệm 2: Tế bào ở pha G1 lập tức bắt đầu hình thành thoi phân bào, tiến vào pha M, xoắn nhiễm sắc thể dù nhiễm sắc thể chưa nhân đôi.
Giải thích:
Ở thí nghiệm 1, trong tế bào chất của tế bào đang ở pha S đã có tín hiệu vươt qua được điểm kiểm soát G1 nên kích hoạt tế bào đang ở pha G1 đi vào pha S.
Ở thí nghiệm 2, trong tế bào chất của tế bào đang ở pha M đã có tín hiệu vượt qua được điểm kiểm soát G2/M nên đa kích hoạt tế bào đang ở pha G1 đi vào pha M dù nhiễm sắc thể chưa nhân đôi.
b) Mong muốn không thực hiện được. Vì tế bào đang ở pha M đã vượt qua điểm kiểm soát G2/M nên sẽ kích hoạt tế bào đang ở pha G2 bước vào nguyên phân ngay lập tức.
CH tr 64 2
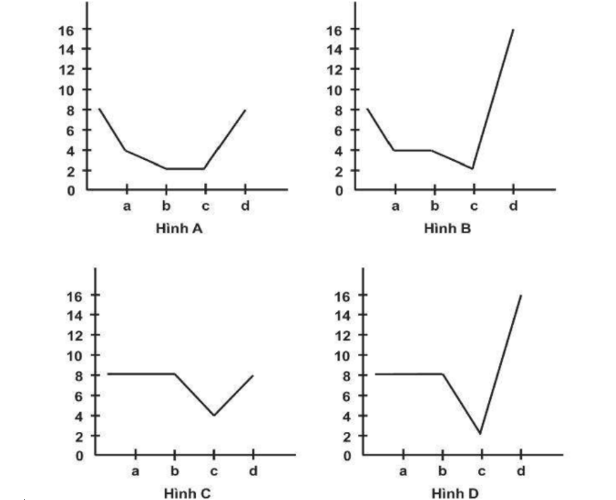
Một tế bào sinh dục ở loài ruồi giấm có bộ nhiễm sắc thể 2n = 8, tiến hành nguyên phân hai lần, các tế bào con được tạo ra tiếp tục đi vào quá trình giảm phân. Một trong số các giao tử tạo ra được thụ tinh để tạo hợp tử. Sơ đồ nào sau đây biểu thị sự thay đổi về số lượng nhiễm sắc thể trong tế bào nói trên?

Phương pháp giải:
Sơ đồ có đường gấp khúc biểu thị sự thay đổi số lượng NST trong tế bào. Quan sát các hình em sẽ thấy:
Khi tế bào sinh dục bước vào nguyên phân 2 lần, kết quả của nguyên phân là từ một tế bào ban đầu (2n) tạo ra hai tế bào con (2n). Vì bộ NST được giữa nguyên nên đường biểu thị sẽ là đường di ngang.
Sau nguyên phân, các tế bào con bước vào giảm phân, kết quả của giảm phân là từ tế bào sinh dục chín (2n) tạo thành các giao tử (n). Bộ NSt giảm đi một nửa nên đường biểu thị sẽ giảm xuống 1 nửa.
Một trong số các giao tử được thụ tinh tạo hợp tử. Vì quá trình thụ tinh là sự kết hợp giữa giao tử đực (n) và giao tử cái (n) tạo hợp tử (2n). Nên số lượng NST tăng trở lại (2n).
Lời giải chi tiết:
Hình C.
CH tr 65 3
Ung thư là bệnh liên quan đến việc tăng sinh tế bào một các mất kiểm soát và có khả năng xâm lấn sang những mô kế cận hoặc di chuyển đến những bộ phận khác trong cơ thể (di căn). Hãy cho biết đặc điểm nào sau đây là đặc điểm của khối u ác tính và giải thích tại sao.

Lời giải chi tiết:
Các đặc điểm A, C, E, F, G, J.
Giải thích:
Khi sự tăng sinh bất thường hay sự phân chia tế bào bị mất kiểm soát sẽ hình thành khối u. Nếu là khối u ác tính, các tế bào trong khối u sẽ tách khỏi vị trí ban đầu và đi vào mạch máu, mạch bạch huyết di chuyển đi khắp cơ thể. Chung định cư ở một cơ quan mới và tăng trưởng để hình thành khối u tại cơ quan mới.
CH tr 65 4
Hãy cho biết ứng dụng nào sau đây là ứng dụng của công nghệ tế bào. Giải thích.
A. Tạo giống cà chua bất hoạt gene chín quả.
B. Tạo giống cây lưỡng bội đồng hợp tử về tất cả các gene.
C. Tạo giống lúa “gạo vàng” có khả năng tổng hợp β – caroten.
D. Tạo giống cừu sản sinh sữa có protein huyết tahnh của người.
Lời giải chi tiết:
Đáp án B.
Do công nghệ tế bào là quy trình kĩ thuật ứng dụng phương pháp nuôi cáy hạt phấn trên môi trường dinh dưỡng nhân tạo để tạo ra cơ thể hoàn chỉnh là các dòng tế bào với số lượng lớn.
CH tr 65 5
Một tế bào có kiểu gene AaBb tiến hành giảm phân tạo giao tử. Tại kì giữa I, các nhiễm sắc thể kép xếp thành hai hàng trên mặt phẳng xích đạo của thoi phân bào. Hãy xác định hình nào mô tả đúng kì giữa I của quá trình giảm phân (mũi tên mô tả chiều phân li của các nhiễm sắc thể về hai cực tế bào). Giải thích.

Lời giải chi tiết:
Hình A và B đúng.
Giải thích:
Sự phân li đồng đều các NST tại kì sau giúp phân chia đồng đều vật chất di truyền cho các tế bào, Sự đồng đều về vật chất di truyền bao gồm đồng đều về số lượng NST và hàm lượng gene. Ở hình C và D, sau khi phân li NST, tuy các tế bào con đồng đều về số lượng NST nhưng không đồng đều về hàm lượng gene (tế bào chỉ chứa 1 trong hai gene).