Một ô tô chạy thử nghiệm trên một đoạn đường thẳng. Cứ 5 s thi có một giọt dầu từ động cơ rơi thẳng xuống mặt đường. Hình 1.1 cho thấy mô hình các giọt dầu để lại trên mặt đường.
Tổng hợp đề thi học kì 1 lớp 10 tất cả các môn - Cánh diều
Toán - Văn - Anh - Lí - Hóa - Sinh - Sử - Địa...
CH tr 5 1.1
Một ô tô chạy thử nghiệm trên một đoạn đường thẳng. Cứ 5 s thi có một giọt dầu từ động cơ rơi thẳng xuống mặt đường. Hình 1.1 cho thấy mô hình các giọt dầu để lại trên mặt đường.
Ô tô chuyển động trên đường này với tốc độ trung bình là:
A. 12,5 m/s B. 15 m/s C. 30 m/s D. 25 m/s
Phương pháp giải:
Công thức tính vận tốc trung bình: v = s/t
Lời giải chi tiết:
Từ giọt đầu tiên đến giọt cuối cùng có 5 khoảng. Giọt đầu tiên rơi vào thời điểm 0 và giọt cuối cùng vào thời điểm 5 x 5s = 25s.
Tốc độ trung bình là: vtb = s/t = 375m : 25s =15m/s
Đáp án B.
CH tr 6 1.2
Hai đại lượng nào sau đây là đại lượng vecto?
A. Quãng đường và tốc độ B. Độ dịch chuyển và vận tốc
C. Quãng đường và độ dịch chuyển D. Tốc độ và vận tốc
Phương pháp giải:
Đại lượng vectơ là đại lượng cho biết phương, chiều và độ lớn.
Lời giải chi tiết:
Độ dịch chuyển và vận tốc là các đại lượng vectơ.
Đáp án B.
CH tr 6 1.3
Một vật chuyển động trên một đường thẳng Ox, chiều dương là chiều Ox. Trong một khoảng thời gian xác định, trường hợp nào sau đây độ lớn vận tốc trung bình của vật có thể nhỏ hơn tốc độ trung bình của nó?
A. Vật chuyển động theo chiều dương và không đổi nhiều.
B. Vật chuyển động theo chiều âm và không đổi chiều.
C. Vật chuyển động theo chiều dương và sau đó đảo ngược chiều chuyển động của nó
D. Không có điều kiện nào thỏa mãn yêu cầu của đề bài.
Phương pháp giải:
Nếu vật chuyển động dọc theo một đường thẳng mà không đổi chiều thì độ dịch chuyển và quãng đường đi được trong bất kì khoảng thời gian nào cũng như nhau.
Lời giải chi tiết:
Độ lớn của vận tốc trung bình và tốc độ trung bình sẽ giống nhau. Tuy nhiên, nếu vật đảo ngược chiều chuyển động thì độ dịch chuyển sẽ nhỏ hơn quãng đường đi được. Trong trường hợp này, độ lớn của vận tốc trung bình sẽ nhỏ hơn tốc độ trung bình.
Đáp án C.
CH tr 6 1.4
Nêu một điểm giống nhau và một điểm khác nhau giữa tốc độ và vận tốc.
Lời giải chi tiết:
Giống nhau: cả hai đều có cùng đơn vị hoặc trong một số trường hợp có cùng độ lớn.
Khác nhau: vận tốc có hướng (là một đại lượng vectơ); tốc độ không có hướng (là một đại lượng vô hướng).
CH tr 6 1.5
Với tốc độ trung bình 24 km/h, người đi xe đạp sẽ đi được bao nhiêu kilomet trong 75 phút?
Phương pháp giải:
Công thức tính quãng đường: s = v.t
Lời giải chi tiết:
Quãng đường s = v.t = 24. (75/60) = 30km
CH tr 6 1.6
Một máy bay trong 2,5 giờ bay được 1,6 . 103 km. Tìm tốc độ trung bình của máy bay.
Phương pháp giải:
Công thức tính tốc độ trung bình: v = s/t
Lời giải chi tiết:
Tốc độ trung bình:

CH tr 6 1.7
Khi lái xe trên đường, người lái chỉ mất tập trung một khoảng thời gian nhỏ cũng có thể gây ra va chạm không mong muốn. Khi một người hắt hơi mạnh, mắt của người đó có thể nhắm lại trong 0,50 s. Nếu người đó đang lái xe với tốc độ 90 km/h thì xe đó đi được bao nhiêu mét trong khoảng thời gian nhắm mắt đó?
Phương pháp giải:
Công thức tính quãng đường: s = v.t
Lời giải chi tiết:
Quãng đường đi được: s = v.t = (90 : 3,6) . 0,5 = 12,5m
CH tr 6 1.8
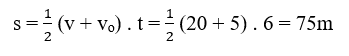
Thị trấn A cách thị trấn B là 20,0 km theo đường thẳng. Một người đi xe đạp rời thị trán A và đi đến thị trấn B với tốc độ 20,0 km/h. Vào đúng thời điểm đó, người đi xe đạp thứ hai rời thị trấn B đi đến thị trấn A với tốc độ 15,0 km/h.
a) Hai người đi xe đạp sẽ gặp nhau ở đâu giữa hai thị trấn?
b) Khoảng thời gian từ lúc xuất phát đến khi họ gặp nhau (tính bằng phút)?
Phương pháp giải:
Gọi S là khoảng cách từ thị trấn A đến điểm gặp nhau. Thời gian chuyển động của hai người là như nhau (do xuất phát cùng lúc) nên:

Lời giải chi tiết:
a) Ta có:

=> S = 11,4 km
Vậy 2 người sẽ gặp nhau ở điểm cách thị trấn A 11,4 km.
b) Thời gian từ lúc xuất phát đến lúc gặp nhau là:

CH tr 6 1.9
Một người đi bộ 5,0 km trên một con đường thẳng theo hướng bắc rồi quay đầu lại và đi 12 km theo hướng nam. Tìm:
a) Tổng quãng đường người đó đi.
b) Độ dịch chuyển
Lời giải chi tiết:
a. Quãng đường đã đi: s = s1 + s2 = 5 + 12 = 17km
b. Chọn chiều dương là chiều chuyển động ban đầu (theo hướng Bắc)
Độ dịch chuyển: d = d1 + d2 = 5 − 12 = − 7km đi theo hướng Nam.
CH tr 6 1.10
Nếu vận tốc trung bình của một vật bằng không trong một khoảng thời gian nào đó thì có thể nói gì về độ dịch chuyển của vật trong khoảng thời gian đó?
Phương pháp giải:
Công thức tính vận tốc trung bình: v = Δd/Δt
Lời giải chi tiết:
Vận tốc trung bình của một vật bằng không khi độ dịch chuyển bằng không.
CH tr 7 1.11
Một chiếc thuyền đi xuôi dòng 1,6 km rồi quay đều đi ngược dòng 1,2 km. Toàn bộ chuyến đi mất 45 phút. Tìm:
a) Tốc độ trung bình của thuyền
b) Độ dịch chuyển của thuyền
c) Vận tốc trung bình của thuyền.
Phương pháp giải:
Công thức tính vận tốc trung bình: v = Δd/Δt
Lời giải chi tiết:
Đổi 45 phút = 0,75 h
a. Quãng đường đi được:
s = 1,6 + 1,2 = 2,8km
Tốc độ trung bình của thuyền:

b. Chọn chiều dương là chiều chuyển động ban đầu (lúc xuôi dòng).
Độ dịch chuyển: d = d1 + d2 = 1,6 − 1,2 = 0,4km hướng xuôi dòng
c. Vận tốc trung bình:

CH tr 7 1.12
Một máy bay chuyển động với tốc độ 700 km/h trong 1 400 km rồi gặp gió ngược làm giảm tốc độ còn 500 km/h trong 800 km tiếp theo.
a) Tổng thời gian cho chuyến bay là bao nhiêu?
b) Tốc độ trung bình của máy bay là bao nhiêu?
Phương pháp giải:
Công thức tính tốc độ trung bình: v = s/t
Công thức tính vận tốc trung bình: v = Δd/Δt
Lời giải chi tiết:
a. Thời gian bay trước khi có gió: t1= 1400 : 700 = 2 h
Thời gian bay khi có gió: t2 = 800 : 500 = 1,6h
Tổng thời gian cho chuyến bay: 2 + 1,6 = 3,6 h
b. Tốc độ trung bình:

CH tr 7 1.13
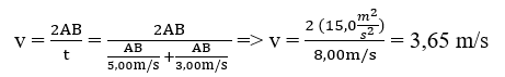
Một người đi bộ với tốc độ không đổi 5,00 m/s dọc theo đường thẳng từ A đến B rồi đi ngược lại theo đường thẳng đó từ B đến A với tốc độ không đổi 3,00 m/s.
a) Tốc độ trung bình của người ấy trong toàn bộ chuyến đi là bao nhiêu?
b) Tìm vận tốc trung bình của người ấy trong toàn bộ chuyến đi.
Lời giải chi tiết:
a) Tốc độ trung bình:

b) Độ dịch chuyển tổng hợp bằng không nên vận tốc trung bình toàn bộ chuyến đi bằng không.
CH tr 7 1.14
Một người đi bộ đi với tốc độ không đổi dọc theo nửa đường tròn có bán kính 5,0 m, từ A đến B như hình 1.2 với thời gian đi là 6,0 s. Tìm:
a) Quãng đường đã đi.
b) Tốc độ trung bình.
c) Độ dịch chuyển.
d) Vận tốc trung bình.
Lời giải chi tiết:
a. Quãng đường = nửa chu vi đường tròn = π x 5,0 m = 15,7 m.
b. Tốc độ trung bình: vtb = s/t = 15,7 : 6 = 2,62 m/s
c. Độ dịch chuyển = độ dài đường kính AB = 10 m, theo hướng đông.
d. Vận tốc trung bình v = d/t = 10/6 = 1,7m/s cùng hướng với độ dịch chuyển.
CH tr 7 1.15
Một xe thí nghiệm chuyển động trên đường thẳng. Độ dịch chuyển của nó theo thời gian được thể hiện trong bảng 1.
Tìm vận tốc trung bình của xe:
a) Trong 1 giây đầu tiên.
b) Trong 3 giây cuối.
c) Trong toàn bộ thời gian quan sát.
Lời giải chi tiết:
Các vận tốc đều có cùng chiều và có độ lớn lần lượt là:
a) Trong 1 giây đầu tiên:

b) Trong 3 giây cuối:

c) Trong toàn bộ thời gian:

CH tr 8 1.16
Hình 1.3 là đồ thị độ dịch chuyển – thời gian của ô tô chuyển động thẳng theo một hướng xác định. Ô tô đi với tốc độ lớn nhất trong đoạn đường nào?
A. 1. B. 2. C. 3. D. 4.
Phương pháp giải:
Ô tô chuyển động trên đường thẳng không đổi chiều nên độ dốc lớn nhất tương ứng với tốc độ lớn nhất.
Lời giải chi tiết:
Đáp án B.
CH tr 8 1.17
Một con nhện bò dọc theo hai cạnh của một chiếc bàn hình chữ nhật. Biết hai cạnh bàn có chiều dài lần lượt là 0,8 m và 1,2 m. Độ dịch chuyển của con nhện khi nó đi được quãng đường 2,0 m là:
A. 1,4 m. B. 1,5 m. C. 1,6 m. D. 1,7 m.
Phương pháp giải:

Lời giải chi tiết:
Khi con nhện đi được quãng đường 2 m thì độ dịch chuyển là

CH tr 8 1.18
Bảng 2 mô tả các đoạn đường khác nhau trong một cuộc đi bộ. Trong mỗi đoạn, người đi bộ đi trên đường thẳng với tốc độ ổn định và một hướng xác định.
a. Trong đoạn đường nào, người đi bộ chuyển động nhanh nhất? Giải thích.
b. Dùng giấy kẻ ô vuông, vẽ biểu đồ thể hiện đường đi bộ theo hướng và tỉ lệ như bảng 2. Dùng biểu đồ để tìm độ dịch chuyển giữa điểm bắt đầu và điểm kết thúc hành trình.
c. Dùng kết quả ở b) và số liệu ở bảng 2 để tìm vận tốc trung bình trong cả quãng đường đi bộ.
d. Giải thích tại sao người đi bộ không có vận tốc tính ở c) tại bất kì điểm nào của chuyến đi.
e. Một học sinh đã tính vận tốc trung bình bằng cách vẽ đồ thị quãng đường đi được theo thời gian như thể hiện ở hình 1.4. Dựa vào đồ thị này, học sinh ấy tính vận tốc trung bình như sau:
Vận tốc trung bình = 86m/27s = 3,2 m/s
Học sinh đã làm đúng hay sai? Vì sao?
Lời giải chi tiết:
a. Muốn biết trên đoạn đường nào, người đi bộ chuyển động nhanh nhất thì ta cần xác định tốc độ trên từng đoạn đường.
Đoạn 1: v = s/t = 25/8 = 3,1 m/s
Đoạn 2: v = s/t = 21/8 = 2,6 m/s
Đoạn 3: v = s/t = 28/6 = 4,7 m/s
Đoạn 4: v = s/t = 12/5 = 2,4 m/s
Như vậy trên đoạn 3 thì người đó chuyển động nhanh nhất.
b. Biểu đồ như hình dưới.
Độ dịch chuyển tổng hợp là cạnh huyền của tam giác vuông, có cạnh hướng tây 9 m và cạnh hướng nam 3 m. Độ lớn là 9,5 m.
Tạo với hướng tây góc sinα = 3/9 ⇒ α ≈ 190
c. Vận tốc trung bình được tính bằng độ dịch chuyển tổng hợp chia cho tổng thời gian.
v = d/t = 9,5/27 = 0,35m/s
d. Vì hướng của vận tốc trung bình khác với bất kì hướng nào trong bốn hướng mà người đi bộ đã đi.
e. Học sinh đã sai vì bạn này đã lấy tổng quãng đường chia cho tổng thời gian.
CH tr 9 1.19
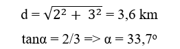
Một người đi bộ 3,0 km theo hướng nam rồi 2,0 km theo hướng tây
a. Vẽ giản đồ vectơ để minh họa các độ dịch chuyển.
b. Tìm độ d
Lời giải chi tiết:
a)
b) Độ dịch chuyển tổng hợp là:

Độ dịch chuyển tổng hợp có hướng lệch về phía tây 34o so với hướng Nam.
CH tr 9 1.20
Một người điều khiển thuyền đi được 5,6 km theo hướng bắc trên mặt hồ phẳng lặng trong thời gian 1,0 h. Sau đó, anh ta quay thuyền đi về phía tây 3,4 km trong 30,0 phút.
a. Tìm độ dịch chuyển tổng hợp của thuyền.
b. Xác định vận tốc trung bình của chuyến đi.
Phương pháp giải:

Lời giải chi tiết:
a) Độ dịch chuyển tổng hợp:

tanα = 3,4 : 5,6 => α = 31,3o; độ dịch chuyển có hướng lệch về phía Tây 31o so với hướng Bắc.
b) Vận tốc trung bình:

theo hướng của độ dịch chuyển tổng hợp.
CH tr 9 1.21
Một người đi xe đạp đang đi với vận tốc không đổi là 5,6m/s theo hướng đông thì quay xe và đi với vận tốc 5,6 m/s theo hướng bắc.
a. Vẽ giản đồ vectơ để biểu diễn sự thay đổi của vận tốc.
b. Tìm độ thay đổi vận tốc.
Phương pháp giải:
Lời giải chi tiết:
a)

b) Vận tốc tổng hợp:

theo hướng Đông Bắc.
CH tr 10 1.22
Một người có thể bơi với vận tốc 2,5 m/s khi nước sông không chảy. Khi nước sông chảy với vận tốc 1,2 m/s theo hướng bắc nam thì sẽ làm thay đổi vận tốc của người bơi. Tìm vận tốc tổng hợp của người đó khi:
a. Bơi ngược dòng chảy.
b. Bơi xuôi dòng chảy.
Lời giải chi tiết:
a) Biểu đồ khi bơi ngược dòng:
Vận tốc tổng hợp: v = vng – vn = 2,5 – 1,2 = 1,3 m/s theo hướng Bắc.
b) Biểu đồ khi bơi xuôi dòng:
Vận tốc tổng hợp: v = vng + vn = 2,5 + 1,2 = 3,7 m/s theo hướng Nam.
CH tr 10 1.23
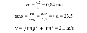
Một người đang ở phía tây của một cái hồ và muốn bơi ngang qua để đến vị trí ở phía đông, đối diện với vị trí xuất phát của mình. Người này có thể bơi với vận tốc 1,9 m/s khi nước hồ lặng. Biết rằng lá cây trôi trên mặt nước hồ được 4,2 m về hướng nam trong 5,0 s.
a. Người này sẽ phải bơi theo hướng nào để đến vị trí đối diện trực tiếp với vị trí của anh ta?
b. Tìm vận tốc tổng hợp của người đó.
c. Nếu hồ rộng 4,8 km thì người đó phải bơi bao nhiêu phút?
Phương pháp giải:

Lời giải chi tiết:
a) Vận tốc dòng nước:

Vậy để người đó bơi sang đúng vị trí đối diện với vị trí xuất phát thì người đó phải bơi với vận tốc 2,1 m/s theo hướng Bắc hợp với hướng Đông với góc 23,50.
b. Vận tốc tổng hợp: vng = 1,9 m/s theo hướng Đông.
c. Thời gian để bơi hết hồ:

CH tr 10 1.24
Một ca nô muốn đi thẳng qua một con sông rộng 0,10 km. Động cơ của ca nô tạo cho nó vận tốc 4,0 km/giờ trong nước sông không chảy. Tuy nhiên, có một dòng chảy mạnh đang di chuyển về phía hạ lưu với vận tốc 3,0 km/giờ.
a. Ca nô phải đi theo hướng nào để đến vị trí ở bờ bên kia đối diện với vị trí xuất phát.
b. Chuyến đi sẽ mất bao nhiêu phút?
Phương pháp giải:
Do nước chảy về phía hạ lưu nên ta có biểu đồ:

Lời giải chi tiết:
a) Vận tốc:

theo hướng về phía thượng lưu một góc thỏa mãn:

b) Thời gian dịch chuyển:

CH tr 10 1.25
Độ dốc của đồ thị vận tốc – thời gian cho chúng ta biết đại lượng nào sau đây?
A. Vận tốc. B. Độ dịch chuyển.
C. Quãng đường. D. Gia tốc.
Phương pháp giải:
Độ dốc của đồ thị vận tốc – thời gian cho chúng ta biết đại lượng gia tốc.
Lời giải chi tiết:
Đáp án D.
CH tr 10 1.26
Diện tích khu vực dưới đồ thị vận tốc – thời gian cho chúng ta biết đại lượng nào sau đây?
A. Thời gian. B. Gia tốc.
C. Độ dịch chuyển. D. Vận tốc.
Phương pháp giải:
Diện tích khu vực dưới đồ thị vận tốc – thời gian cho chúng ta biết đại lượng độ dịch chuyển.
Lời giải chi tiết:
Đáp án C.
CH tr 10 1.27
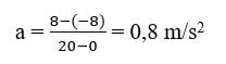
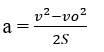
Một ô tô đang đi với tốc độ 14 m/s thì gặp đèn đỏ phía trước. Người lái hãm phanh và ô tô dừng lại sau 5,0 s. Tính gia tốc của ô tô.
Phương pháp giải:
Sử dụng công thức tính gia tốc:

Lời giải chi tiết:
Khi ô tô dừng lại thì v = 0
Gia tốc của ô tô là:

CH tr 11 1.28
Một chiếc xe thể thao đang chạy với tốc độ 110 km/h thì hãm phanh và dừng lại trong 6,1 giây. Tìm gia tốc của nó.
Lời giải chi tiết:
Khi ô tô dừng lại thì v = 0
Gia tốc của ô tô là:

CH tr 11 1.29
Một ô tô đang đi với vận tốc 50,0 km/h theo hướng bắc thì quay đầu đi về hướng tây với vận tốc 50,0 km/h. Tổng thời gian đi là 5,0 s. Tìm
a. Độ thay đổi vận tốc.
b. Gia tốc của xe.
Phương pháp giải:

Lời giải chi tiết:
a) Độ thay đổi vận tốc:

Độ lớn độ thay đổi vận tốc là:

theo hướng Tây Nam
b) Gia tốc của xe là:

CH tr 11 1.30
Một ô tô thể thao tăng tốc trên đường thử thẳng từ trạng thái đứng yên lên 70 km/h trong 6,3 s. Gia tốc trung bình của nó là bao nhiêu?
Phương pháp giải:
Sử dụng công thức tính gia tốc:

Lời giải chi tiết:
Ban đầu ô tô đứng yên v0 = 0.
Gia tốc trung bình của ô tô là:

CH tr 11 1.31
Một đoàn tàu hỏa đang đi trên đường thẳng với tốc độ 115km/h. Tàu phanh và mất 1,5 phút để dừng lại. Gia tốc trung bình của nó khi phanh có giá trị là bao nhiêu?
Lời giải chi tiết:
Đổi: 115 km/h = 31,9 m/s
Khi tàu dừng lại v = 0
Gia tốc trung bình có giá trị là:

Gia tốc hướng ngược chiều chuyển động.
CH tr 11 1.32
Một vận động viên chạy nước rút, đạt tốc độ tối đa là 9,0m/s trong 1,5 giây. Gia tốc trung bình của vận động viên này có giá trị là bao nhiêu?
Lời giải chi tiết:
Gia tốc trung bình của vận động viên này là: a = 9 : 1,5 = 6 m/s2
CH tr 11 1.33
Đồ thị vận tốc – thời gian của một vật chuyển động dọc theo trục x được thể hiện trong hình 1.5. Xác định gia tốc trung bình của vật trong các khoảng thời gian:
a. t = 5,00 s đến t = 15,0 s.
b. t = 0 đến t = 20,0 s.
Lời giải chi tiết:
a) Gia tốc trung bình trong khoảng thời gian từ t = 5,00 s đến t = 15,0 s là:

b) Gia tốc trung bình trong khoảng thời gian từ t = 0 s đến t = 20,0 s là

CH tr 11 1.34
Trên hình 1.6, a), b) và c) là đồ thị vận tốc – thời gian (v – t) của các vật chuyển động thẳng theo một hướng xác định. Các đồ thị gia tốc theo thời gian của các chuyển động này (a – t), được biểu diễn theo thứ tự xáo trộn là d), e) và g). Hãy chọn từng cặp đồ thị v – t và đồ thị a – t ứng với mỗi chuyển động.

Lời giải chi tiết:
- Đồ thị a) có hệ số góc không đổi, cho biết gia tốc không đổi; nó được biểu diễn bằng đồ thị e.
- Đồ thị b) biểu thị một tốc độ tăng liên tục nhưng không phải với tốc độ đồng đều. Do đó, gia tốc phải đang tăng và đồ thị biểu thị tốt nhất đó là d).
- Đồ thị c) mô tả một vận tốc đầu tiên tăng với tốc độ không đổi, cho thấy gia tốc không đổi. Khi đó vận tốc ngừng tăng và không đổi, cho biết gia tốc bằng không. Phù hợp nhất với tình huống này là đồ thị g).
CH tr 12 1.35
Các công thức về chuyển động có thể được sử dụng cho
A. chỉ chuyển động theo đường thẳng.
B. chỉ chuyển động cong.
C. chuyển động theo đường tròn.
D. tất cả các dạng chuyển động.
Phương pháp giải:
Các công thức về chuyển động có thể được sử dụng cho chỉ chuyển động theo đường thẳng.
Lời giải chi tiết:
Đáp án A.
CH tr 12 1.36
Nếu vận tốc ban đầu của một vật bằng không thì quãng đường vật đi được trong thời gian t và gia tốc là 9,8 m/s2 sẽ là
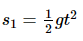
A. 2,9t2. B. 3t2. C. 4t2. D. 4,9t2.
Phương pháp giải:
Công thức tính quãng đường:

Lời giải chi tiết:
Quãng đường vật đi được là:

CH tr 12 1.37
Một quả bóng được ném xuống sàn và nảy lên theo phương hợp với phương ngang một góc nào đó. Sau đó, chuyển động theo phương ngang của quả bóng
A. chịu tác dụng của trọng lực.
B. không bị ảnh hưởng bởi trọng lực.
C. bị ảnh hưởng bởi trọng lượng.
D. chịu tác dụng của lực tiếp xúc với mặt sàn.
Phương pháp giải:
Chuyển động theo phương ngang của quả bóng không chịu tác dụng của trọng lực, là chuyển động đều với vận tốc không đổi.
Lời giải chi tiết:
Đáp án B.
CH tr 12 1.38
Đạn sẽ đạt được tầm xa tối đa, nếu nó được bắn ở góc
A. 300. B. 470. C. 900. D. 450.
Phương pháp giải:
Tầm xa lớn nhất khi góc bắn có giá trị 450.
Lời giải chi tiết:
Đáp án D.
CH tr 12 1.39
Cuối một cuộc chạy đua, một người chạy tăng tốc với gia tốc 0,3 m/s2 trong 12 s để đạt tốc độ 6,6 m/s.
Tìm vận tốc của người chạy khi bắt đầu tăng tốc.
Phương pháp giải:
Áp dụng công thức: v = vo + at
Lời giải chi tiết:
Vận tốc của người chạy khi bắt đầu tăng tốc là:
vo = v – at = 6,6 – 0,3 . 12 = 3 m/s
CH tr 12 1.40
Một ô tô khởi hành từ lúc đứng yên, đi được quãng đường 50 m trong thời gian 6,0 s
a. Tìm vận tốc cuối cùng của ô tô.
b. Độ lớn gia tốc của ô tô là bao nhiêu?
Phương pháp giải:
Sử dụng công thức tính độ dịch chuyển:

Lời giải chi tiết:
a) Vận tốc cuối cùng của ô tô là:

b) Độ lớn gia tốc của ô tô là:

CH tr 12 1.41
Một người đi xe đạp đang đi với vận tốc 5,6 m/s thì bắt đầu gia tốc 0,60 m/s2 trong khoảng thời gian 4,0 s.
a. Tìm quãng đường người ấy đã đi trong khoảng thời gian này.
b. Tìm vận tốc cuối cùng sau khi tăng tốc.
Phương pháp giải:
Công thức tính quãng đường:

Lời giải chi tiết:
a) Quãng đường người ấy đã đi trong khoảng thời gian đó là:
s = vot + 1/2 at2 = 5,6 . 4 + ½ . 0,6 . 42 = 27,2 m
b) Vận tốc cuối cùng sau khi tăng tốc là:
v = vo + at = 5,6 + 0,6 . 4 = 8 (m/s)
CH tr 12 1.42
Một xe ô tô đang đi với tốc độ 22 m/s thì người lái xe nhận thấy biển báo hạn chế tốc độ ở phía trước. Anh ta giảm dần tốc độ của xe đến 14m/s. Trong quá trình giảm tốc độ, người đó đi được quãng đường 125 m.
a. Tìm gia tốc của xe.
b. Người lái xe đã mất bao lâu để thay đổi vận tốc?
Lời giải chi tiết:
a) Áp dụng công thức: v2 – vo2 = 2as

b) Thời gian thay đổi vận tốc là:

CH tr 13 1.43
Một ô tô đang đi trên đường thẳng với tốc độ không đổi 24 m/s. Ô tô này đã chạy quá tốc độ và vượt qua một cảnh sát giao thông đang ngồi trên một xe mô tô đứng yên. Người cảnh sát ngay lập tức đuổi theo ô tô với gia tốc 2,1 m/s2. Kể từ thời điểm ô tô vượt qua xe cảnh sát:
a. Sau bao lâu thì xe cảnh sát đuổi kịp ô tô?
b. Các xe sẽ đi được quãng đường bao nhiêu mét trong thời gian đó?
Lời giải chi tiết:
a. Chọn chiều dương là chiều chuyển động của ô tô. Ô tô và người cảnh sát trong trường hợp này chuyển động cùng chiều dương.
Gọi thời gian từ thời điểm ô tô bắt đầu vượt đến thời điểm cảnh sát đuổi kịp ô tô là t.
Quãng đường ô tô đi được từ thời điểm bắt đầu vượt qua cảnh sát đến thời điểm gặp nhau được xác định là:
Quãng đường cảnh sát đuổi đến khi gặp ô tô là:
s2 = 1/2 at2 = 1/2 . 2,1 . t2 = 1,05 t2
Khi gặp nhau, quãng đường xe ô tô và cảnh sát đi được bằng nhau:
s1 = s2 ⇔ 24t = 1,05 t2 ⇔ t = 22,9s (vì t ≠ 0)
b. Quãng đường đi được trong khoảng thời gian trên là:
s = s1 = s2 = 24. 22,9 = 549,6m
CH tr 13 1.44
Một học sinh đang đứng ở chỗ đợi tàu trên sân của một nhà ga, nhận thấy rằng hai toa đầu tiên của một đoàn tàu đến vượt qua mình trong 2,0 giây và hai toa tiếp theo trong 2,4 giây. Tốc độ của đoàn tàu đang giảm đều; mỗi toa tàu dài 20 m. Khi tàu dừng thì học sinh đó đứng đối diện với toa cuối cùng. Đoàn tàu có bao nhiêu toa?
Lời giải chi tiết:
Gọi vận tốc của tàu khi bắt đầu đi ngang qua học sinh là v0.
Theo đề bài cho, tốc độ của đoàn tàu đang giảm đều ⇒ tàu chuyển động chậm dần đều
Quãng đường 2 toa đầu tiên đi qua người là: s1 = v0t1 + 1/2 at12 = 40 (m)
Quãng đường 4 toa đầu tiên đi qua người là: s2 = v0t2 + 1/2 at22 = 80 (m)
Với thời gian tương ứng là: t1 = 2s; t2 = 4,4s
Từ đây ta giải hệ phương trình:
40 = 2v0 + 2a
80 = 4,4v0 + 9,68a

Khi tàu dừng lại, người quan sát ở đối diện với vị trí của toa tàu cách vị trí đầu tiên một đoạn:

Vậy đoàn tàu có 8 toa.
CH tr 13 1.45
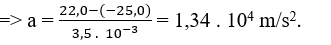
Một viên bi bay với tốc độ 25,0 m/s vuông góc với một bức tường và bật ngược lại với tốc độ 22,0 m/s. Nếu viên bi tiếp xúc với tường trong thời gian 3,50 ms thì gia tốc trung bình của nó trong khoảng thời gian này là bao nhiêu? Biết 1 ms = 10-3 s.
Lời giải chi tiết:
Chọn chiều dương hướng ra ngoài, vuông góc với tường.
Ta có công thức: v = v0 + at

CH tr 13 1.46
Một ô tô chuyển động chậm dần đều, trong 8,50 s đi được quãng đường 40,0 m với vận tốc cuối cùng là 2,80 m/s.
a. Tìm độ lớn vận tốc ban đầu của xe.
b. Tìm gia tốc của xe.
Phương pháp giải:
Áp dụng công thức:

Lời giải chi tiết:
a. Độ lớn vận tốc ban đầu của xe là:
⇒ 40 = 1/2 (v0 + 2,80).8,5
b. Gia tốc:

CH tr 13 1.47
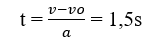
Một ô tô đang đi với tốc độ 25 m/s thì tăng tốc với gia tốc có giá trị 1,8 m/s2. Sau bao lâu ô tô đạt đến tốc độ 31 m/s?
Lời giải chi tiết:
Thời gian để ô tô đạt đến tốc độ 31 m/s là:

CH tr 13 1.48
Một ô tô tăng tốc độ từ 25 m/s lên 31 m/s với gia tốc không đổi là 1,8 m/s2. Ô tô đi được bao xa khi đang tăng tốc?
Lời giải chi tiết:
Quãng đường ô tô đi được khi tăng tốc là:

CH tr 13 1.49
Gia tốc trung bình của một vận động viên chạy nước rút từ khi xuất phát đến khi đạt tốc độ tối đa 9,0 m/s và 6,0 m/s2. Người ấy tăng tốc trong bao lâu?
Lời giải chi tiết:
Thời gian để vận động viên đạt tốc độ tối đa 9 m/s là:

CH tr 13 1.50
Một ô tô tăng tốc từ 5,0 m/s đến 20 m/s trong 6,0 s. Giả sử gia tốc đều, tính quãng đường ô tô đi được trong thời gian này.
Lời giải chi tiết:
Quãng đường ô tô đi được trong thời gian 6,0s là:

CH tr 14 1.51
Một máy bay đạt vận tốc 110 m/s mới có thể cất cánh. Nếu chiều dài của đường băng là 2,4 km và máy bay tăng tốc đều từ điểm dừng ở một đầu đến khi rời mặt đất ở đầu kia thì gia tốc tối thiểu phải có để cất cánh là bao nhiêu?
Phương pháp giải:
Sử dụng công thức tính gia tốc:

Lời giải chi tiết:
Gia tốc tối thiểu phải có để cát cánh là:

CH tr 14 1.52
Một ô tô chuyển động trên đường thẳng. Đồ thị vận tốc – thời gian của nó được biểu diễn ở hình 1.7

a. Tính độ lớn dịch chuyển tổng hợp từ t = 0 s đến t = 50 s.
b. Tính độ lớn độ dịch chuyển trong khoảng thời gian từ t = 10 s đến t = 40 s
c. Tìm gia tốc của xe trong các khoảng thời gian: từ 0 s đến 15 s; từ 15 s đến 40 s và từ 40 s đến 50 s.
d. Viết biểu thức liên hệ thời gian và khoảng cách từ vị trí xuất phát đến vật cho mỗi giai đoạn của chuyển động: OA, AB và BC.
e. Tìm vận tốc trung bình của ô tô trong khoảng thời gian từ t = 0 s đến t = 50 s.
Lời giải chi tiết:
a) Độ dịch chuyển từ t = 0s đến t = 50s bằng diện tích của phần bên dưới đồ thị v – t:
d0-50 = ½ . (50 + 50 – 15 – 10) . 50 = 1875m
b) Độ dịch chuyển từ t = 10s đến t = 40s là:
d10-40 = ½ . (50 – 33) . (15 – 10) + 50 . (40 – 15) = 1292,5m
c) Gia tốc của xe trong khoảng 0 ≤ t ≤ 15s là:
a0-15 = (50 – 0) : 15 = 3,3 m/s2
Gia tốc của xe trong khoảng 15s ≤ t ≤ 40s là:
a15-40 = 0 (do xe chuyển động thẳng đều)
Gia tốc của xe trong khoảng 40s ≤ t ≤ 50s là:
a40-50 = (0 – 50) : (50 – 40) = -5,0 m/s2
Gia tốc có độ lớn 5,0 m/s2 và ngược chiều chuyển động.
d) Trong đoạn OA, 0 ≤ t ≤ 15s
xOA = 0 + ½ (a0-15 t2) = ½ . 3,3 . t2 = 1,65 t2
Trong đoạn AB, 15s ≤ t ≤ 40s
xAB = ½ (15s) (50 m/s – 0) + (50 m/s) (t – 15s)
Trong đoạn BC, 40 ≤ t ≤ 50s
xBC = 375m + 1250m + ½ (a40-50) (t – 40s)2 + (50 m/s) (t – 40s)
xBC = 250 . t – 2,5 t2 – 4375
e) Vận tốc trung bình: v = 1875 : 50 = 37,5 m/s.
CH tr 14 1.53
Cảnh sát giao thông có thể ước tính tốc độ của các xe ô tô liên quan đến vụ tai nạn bằng độ dài của vết trượt do lốp xe trượt và để lại trên mặt đường. Biết rằng độ giảm tốc tối đa mà ô tô có thể đạt được khi hãm phanh trên mặt đường bình thường là khoảng 9 m/s2. Trong một vụ tai nạn, vết lốp được tìm thấy dài 125 m. Ước tính tốc độ của xe trước khi hãm phanh.
Phương pháp giải:
Sử dụng công thức tính gia tốc:

Chọn chiều dương là chiều chuyển động.
Khi ô tô hãm phanh thì gia tốc ngược hướng chuyển động nên a = - 9 m/s2.
Áp dụng công thức: v2−v02=2as⇔02−v02=2.−9.125⇔v0=47,4 m/s">v2−v20=2as⇔02−v20=2.(−9).125⇔v0=47,4m/s
Vậy ước tính tốc độ của xe trước khi hãm phanh là 47,4 m/s.
Lời giải chi tiết:
Chọn chiều dương là chiều chuyển động.
Khi ô tô hãm phanh thì gia tốc ngược hướng chuyển động nên a = - 9 m/s2.
Áp dụng công thức:
v2 – vo2 = 2as => 02 – vo2 = 2 . (-9) . 125 => vo = 47,4 m/s
Vậy ước tính tốc độ của xe trước khi hãm phanh là 47,4 m/s.
CH tr 14 1.54
Một ô tô đang đi trên đường thẳng với tốc độ v thì trước mặt ô tô đột ngột xuất hiện một mối nguy hiểm. Trong khoảng thời gian từ khi mối nguy xuất hiện đến khi phanh hoạt động, ô tô chuyển động được quãng đường 29,3 m. Khi phanh hoạt động làm bánh xe ngừng quay, các bánh xe của ô tô để đạt vết trượt dài 12,8m trên đường, như minh họa trong hình 1.8.

Người ta ước tính rằng trong quá trình trượt, ô tô giảm tốc với gia tốc có độ lớn là 0,85g, trong đó g là gia tốc rơi tự do.
a. Xác định:
- Tốc độ v của ô tô trước khi hãm phanh.
- Khoảng thời gian từ khi nguy hiểm xuất hiện đến khi phanh hoạt động.
b. Trên một con đường có giới hạn tốc độ cho phép là 60 km/h, sử dụng kết quả ở câu hỏi a) để thảo luận về việc tuân thủ quy định về tốc độ cho phép khi lái ô tô.
Lời giải chi tiết:
Chọn chiều dương là chiều chuyển động.
Khi xe hãm phanh thì gia tốc ngược chiều chuyển động nên có giá trị âm.
a. Áp dụng công thức cho quá trình xe trượt:
v2 – vo2 = 2as => 02 – vo2 = 2 . (-0,85 . 9,8) . 12,8 => vo = 14,6 m/s
Khoảng thời gian kể từ khi xuất hiện đến khi phanh hoạt động:
t = s/v = 29,3 : 14,6 = 2s
b. Đổi 60 km/h = 16,7 m/s
Tốc độ giới hạn cho phép có ý nghĩa cực kì quan trọng đối với sự an toàn khi tham gia giao thông. Nếu phương tiện vượt quá tốc độ giới hạn cho phép thì có thể xảy ra những hậu quả cực kì nghiêm trọng.
CH tr 15 1.55
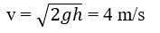
Nếu một hạt mưa rơi từ độ cao 1 km, nó sẽ chạm đất với tốc độ nào nếu không có lực cản của không khí?
Lời giải chi tiết:
Nếu không có lực cản của không khí thì hạt mưa có thể được coi như một vật rơi tự do.
Vận tốc chạm đất:
v=2gh=2.9,8.1000=140 m/s">v = √2gh = √2.9,8.1000 = 140 m/s
CH tr 15 1.56
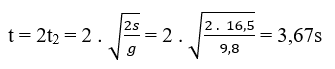
Một vận động viên ném một quả bóng theo phương thẳng đứng lên trên với tốc độ ban đầu là 18,0 m/s.
a. Quả bóng lên cao bao nhiêu?
b. Sau thời gian bao lâu nó trở về điểm ném?
Lời giải chi tiết:
Chọn trục tọa độ có phương thẳng đứng.
Chiều dương là chiều chuyển động của quả bóng khi được ném lên trên.
Gốc tọa độ tại vị trí ném.
a. Khi quả bóng lên đến độ cao cực đại thì vận tốc tại đó bằng 0.
Gia tốc trọng trường có phương thẳng đứng, chiều hướng xuống
⇒">⇒ ngược chiều chuyển động của quả bóng khi ném lên
⇒">⇒ a = - g
Ta có:
v2 – vo2 = 2as => 02 – 182 = 2 . (-9,8) . s => s = 16,5 m
Quả bóng lên tới độ cao 16,5m so với vị trí ném.
b. Thời gian quả bóng trở về vị trí ném ban đầu bằng 2 lần thời gian bóng rơi từ độ cao 16,5 m xuống vị trí ném (thời gian rơi bằng thời gian vật rơi tự do từ độ cao 16,5 m).

CH tr 15 1.57
Trong công trường xây dựng, một chiếc lồng thang máy chở vật liệu đang di chuyển thẳng đứng lên trên với tốc độ không đổi. Khi sàn lồng thang máy đi qua bên cạnh mặt sàn tầng 3, một con vít (A) bị rơi qua sàn lồng. Cùng lúc đó, một con vít (B) bị rơi khỏi mặt sàn.
a. Con vít nào chạm đất trước?
b. Con vít nào có tốc độ chạm đất lớn hơn?
Lời giải chi tiết:
a. Con vít A rơi với vận tốc ban đầu v (bằng vận tốc của sàn thang máy). Vận tốc v có phương thẳng đứng, chiều hướng lên.
Con vít B rơi tự do không vận tốc đầu.
Nên con vít B sẽ chạm đất trước con vít A.
b. Con vít A chạm đất có tốc độ lớn hơn do nó có vận tốc ban đầu khác không.
CH tr 15 1.58
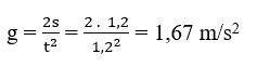
Một nhà du hành vũ trụ trên Mặt Trăng thả một chiếc búa từ độ cao 1,2 m. Búa chạm bề mặt Mặt Trăng sau 1,2 s tính từ khi được thả. Tính độ lớn gia tốc rơi tự do trên Mặt Trăng.
Lời giải chi tiết:
Độ lớn gia tốc rơi tự do trên Mặt Trăng:

CH tr 15 1.59
Một viên đạn được bắn theo phương ngang từ độ cao 1,2m. Viên đạn rời súng với tốc độ 280 m/s.
a. Mô tả đường đi của viên đạn.
b. Giả sử mặt đất bằng phẳng. Tính:
- Thời gian để viên đạn chạm đất.
- Khoảng cách mà viên đạn đi được theo phương ngang đến khi chạm đất.
Lời giải chi tiết:
a. Đường đi của viên đạn có dạng parabol hoặc ban đầu nằm ngang, cong dần xuống dưới (về phía mặt đất).
b. Thời gian để viên đạn chạm đất:

Khoảng cách tầm xa:
L=v0.t=280.0,49=137,2 m">L = v0.t = 280 . 0,49 = 137,2m
CH tr 15 1.60
Một người thợ xây ở mặt đất tung một viên gạch lên cho người thợ xây đang ở trên giàn giáo, người này sẽ bắt được nó. Đồ thị ở hình 1.9 thể hiện vận tốc của viên gạch từ khi nó rời khỏi tay người thợ xây ở mặt đất đến khi người thợ xây ở trên giàn giáo bắt được nó.
a. Chứng tỏ rằng viên gạch chuyển động với gia tốc có độ lớn là 9,8 m/s2

b. Độ dốc của đồ thị vận tốc – thời gian là âm nói lên điều gì?
c. Người thợ xây ở trên giàn giáo bắt được viên gạch sau 1,04 giây từ khi người thợ xây ở mặt đất tung nó lên.
Tính khoảng cách giữa hai người thợ xây.
d. Người thợ xây ở trên giàn giáo thả một viên gạch để người thợ xây trên mặt đất bắt được. Tại sao việc bắt viên gạch này khó hơn nhiều so với viên gạch trong trường hợp tung viên gạch lên.
Lời giải chi tiết:
a. Gia tốc:

Chứng tỏ viên gạch chuyển động với gia tốc có độ lớn 9,8 m/s2
b. Độ dốc của đồ thị (v – t) cho biết vận tốc đang giảm dần về độ lớn, chiều vẫn giữ nguyên, gia tốc và vận tốc ngược chiều nhau.
c. Người thợ xây ở trên giàn giáo bắt được viên gạch sau 1,04 giây từ khi người thợ xây ở mặt đất tung nó lên.

Mà viên gạch đi lên đến hết 0,9 s, chứng tỏ viên gạch sau đó đi xuống trong thời gian 0,14 s mới đến được tay người thợ xây.
s=s1−s2=12.8,8+0.0,9−121,4+0.0,14=3,862 m">s = s1 − s2 = 1/2 . (8,8 + 0) . 0,9 − 12 (1,4 + 0) . 0,14 = 3,862m
d. Việc bắt viên gạch này khó hơn nhiều so với viên gạch trong trường hợp tung viên gạch lên vì khi đi xuống đến tay người thợ xây ở mặt đất viên gạch có tốc độ lớn hơn viên gạch khi đến tay người thợ xây trên giàn giáo (gần như đứng yên khi tiếp cận người đứng trên giàn giáo).
CH tr 16 1.61
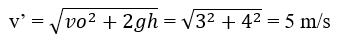
Một nhóm học sinh thử nghiệm sự rơi của vật. Đầu tiên, họ thả một quả bóng rơi tự do không tốc độ ban đầu từ độ cao nhất định. Quả bóng chạm mặt sàn với tốc độ là 4 m/s.
a. Tiếp theo, quả bóng được ném thẳng đứng xuống với tốc độ ban đầu 3 m/s từ cùng độ cao. Trong thử nghiệm này, tốc độ của nó khi chạm vào mặt sàn là bao nhiêu?
b. Nếu quả bóng được ném thẳng đứng lên trên với tốc độ ban đầu 3 m/s từ cùng độ cao. Tốc độ của nó khi chạm mặt sàn trong thử nghiệm này là bao nhiêu?
Lời giải chi tiết:
Rơi từ trạng thái nghỉ, ta có vận tốc khi chạm sàn:

a. Chọn chiều dương hướng xuống.
Ta có:

Vận tốc khi chạm sàn:

Do đó tốc độ khi chạm sàn là v’ = 5 m/s.
b. Chọn chiều dương hướng xuống.
Vận tốc khi chạm sàn:

Do đó tốc độ khi chạm sàn là v’’ = 5 m/s.
CH tr 16 1.62
Một nhóm học sinh làm thí nghiệm vật rơi. Đầu tiên, họ thả một quả bóng từ một độ cao xác định. Nó chạm đất với tốc độ v. Sau đó, họ lặp lại việc thả quả bóng này đồng thời với một quả bóng khác được ném từ mặt đất thẳng đứng lên trên với tốc độ ban đầu cũng là v. Trong quá trình chuyển động, có một vị trí hai quả bóng đi ngang qua nhau. Vị trí này nằm ở
A. điểm M là chính giữa điểm thả và điểm ném.
B. phía trên điểm M
C. phía dưới điểm M.
Lời giải chi tiết:
Đáp án đúng là: B

Chọn chiều dương hướng xuống.
Ta có: 

Ta thấy s2>s1">s2 > s1
Vì vậy, quả bóng thả rơi đi được một quãng đường nhỏ hơn quả bóng được ném lên.
CH tr 17 1.63
Một hòn đá được ném từ đỉnh của một vách đá thẳng đứng, cao 45 m so với mặt đất, với vận tốc ban đầu có độ lớn 15 m/s theo phương ngang (hình 1.10). Mất bao lâu để hòn đá đến mặt đất? Nó cách chân vách đá bao xa khi chạm đất?

Lời giải chi tiết:
Thời gian để hòn đá chạm đất:

Tầm xa: L=v0t=15.3,03=45,45 m">L = v . t = 15 . 3,03 = 45,45m
CH tr 17 1.64
Một quả bóng được ném theo phương ngang từ đỉnh tháp cao 30 m và chạm đất cách chân tháp 15 m. Tốc độ ban đầu của quả bóng là bao nhiêu?
Lời giải chi tiết:
Áp dụng công thức:

CH tr 17 1.65
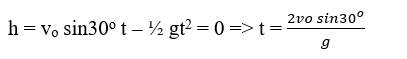
Từ mặt đất, một quả bóng được đá đi với vận tốc 15 m/s hợp với phương ngang góc 300 (hình 1.11). Nó chạm đất cách điểm được đá bao xa?

Lời giải chi tiết:
Thành phần theo phương ngang của vận tốc quả bóng là:

Thành phần theo phương thẳng đứng của vận tốc quả bóng là:
vy = vo sin30o = vo/2
Quả bóng chạm đất khi:

Tầm bay xa của quả bóng:
