Một xe tải chở đầy hàng và một xe con đang chuyển động cùng tốc độ mà muốn dừng lại cùng lúc thì lực hãm tác dụng lên xe tải sẽ phải
Tổng hợp đề thi học kì 1 lớp 10 tất cả các môn - Cánh diều
Toán - Văn - Anh - Lí - Hóa - Sinh - Sử - Địa...
CH tr 19 2.1
Một xe tải chở đầy hàng và một xe con đang chuyển động cùng tốc độ mà muốn dừng lại cùng lúc thì lực hãm tác dụng lên xe tải sẽ phải
A. gia tốc của vật không đổi.
B. gia tốc của vật giảm.
C. gia tốc của vật tăng.
D. gia tốc và vận tốc của vật đều giảm.
Phương pháp giải:
Một vật đang chuyển động nhanh dần đều dưới tác dụng của lực kéo mà lực đó đột ngột giảm độ lớn thì gia tốc của vật giảm vì gia tốc tỉ lệ thuận với lực kéo.
Lời giải chi tiết:
Đáp án B.
CH tr 19 2.2
Một xe tải chở đầy hàng và một xe con đang chuyển động cùng tốc độ mà muốn dừng lại cùng lúc thì lực hãm tác dụng lên xe tải sẽ phải
A. nhỏ hơn lực hãm lên xe con.
B. bằng lực hãm lên xe con.
C. lớn hơn lực hãm lên xe con.
D. có thể lớn hơn hoặc nhỏ hơn lực hãm lên xe con.
Phương pháp giải:
Do xe tải có khối lượng lớn hơn xe con, muốn hai xe dừng lại cùng lúc thì gia tốc gây ra cho xe tải phải lớn hơn gia tốc gây ra cho xe con. Kết quả là lực hãm của xe tải phải lớn hơn lực hãm của xe con.
Lời giải chi tiết:
Đáp án C.
CH tr 20 2.3
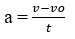
Sau thời gian 0,02 s tiếp xúc với chân của cầu thủ, quả bóng khối lượng 500 g ban đầu đứng yên bay đi với tốc độ 54,0 km/h. Lực tác dụng lên quả bóng là
A. 250 N. B. 375 N. C. 1,35 kN. D. 13,5 kN.
Phương pháp giải:
Áp dụng công thức:

Lời giải chi tiết:
Đổi: 54 km/h = 15 m/s
Gia tốc:

Lực tác dụng lên quả bóng là: F = ma = 0,5 . 750 = 375 N
Đáp án B.
CH tr 20 2.4
Một mẫu siêu xe có khối lượng 1,60 tấn. Nếu coi xe tăng tốc đều và lực trung bình để tăng tốc xe là 24,0 kN thì mẫu xe này cần bao lâu để có thể tăng tốc từ trạng thái nghỉ lên đến tốc độ 108 km/h?
A. Khoảng 2,00 s. B. Khoảng 7,20 s.
C. Khoảng 10,0 s. D. Khoảng 15,0 s.
Phương pháp giải:
Áp dụng công thức tính gia tốc:

Lời giải chi tiết:
Gia tốc: a = F/m = 24000/1600 = 15 m/s2
Thời gian để xe tăng tốc từ trạng thái nghỉ lên đến tốc độ v = 108 km/h là:

Đáp án A.
CH tr 20 2.5
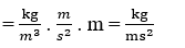
Đơn vị đo lực niutơn được viết theo các đơn vị cơ bản trong hệ SI là:
A. kg/m2. B. kg/s2. C. kg.m2/s. D. kg.m/s2.
Lời giải chi tiết:
Từ công thức: F = m.a
Ta có đơn vị tương ứng: 1N = 1kg . 1m/s2.
Đáp án D.
CH tr 20 2.6
Trong thí nghiệm với xe kĩ thuật số được gắn cảm biến đo lực và đo tốc độ, ta có thể thay đổi khối lượng của xe, thay đổi lực tác dụng lên xe và đo gia tốc của xe dựa vào đồ thị vận tốc – thời gian. Nêu các bước cần thực hiện nếu muốn khảo sát quan hệ giữa lực tác dụng và khối lượng của xe.
Lời giải chi tiết:
Khảo sát quan hệ giữa lực tác dụng và khối lượng của xe khi gia tốc không đổi,thực hiện bằng bộ thí nghiệm với xe kĩ thuật số được gắn cảm biến đo lực và đo tốc độ. Ta có thể thay đổi khối lượng của xe bằng cách thay các xe khác nhau, thay đổi lực tác dụng lên xe bằng các treo thêm vật nặng ở phía đầu dây vắt qua ròng rọc.
Tiến hành thí nghiệm: Thực hiện thí nghiệm với các xe có khối lượng khác nhau, xác định các kết quả đo lực khi gia tốc của xe như nhau.
Lập bảng lực tác dụng lên xe theo khối lượng xe:
|
m (kg) |
0,05 |
0,1 |
0,2 |
0,3 |
|
F (N) |
0,05 |
0,1 |
0,2 |
0,3 |
Từ số liệu bảng trên, ta thấy khối lượng và lực tác dụng tỉ lệ thuận với nhau.
CH tr 20 2.7
Tính lực cần thiết để ô tô khối lượng 1,8 tấn có gia tốc 2,0m/s2.
Phương pháp giải:
Từ công thức: F = m.a
Lời giải chi tiết:
Lực tác dụng cần thiết là:
F = ma = 1800.2 = 3600 N
CH tr 20 2.8
Một tên lửa có khối lượng 5 tấn. Tại một thời điểm cụ thể, lực tác dụng lên tên lửa là 4.105 N thì gia tốc của nó là bao nhiêu?
Phương pháp giải:
Áp dụng công thức tính gia tốc:

Lời giải chi tiết:
Gia tốc của tên lửa là: a = = F/m = 80 (m/s2)
CH tr 20 2.9
Một người có khối lượng 60,0 kg đi xe đạp khối lượng 10,0kg. Khi xuất phát, lực tác dụng lên xe đạp là 140 N. Giả sử lực do người đó tác dụng lên xe đạp không đổi, hãy tính vận tốc của xe đạp sau 5,00 s.
Phương pháp giải:
Áp dụng công thức tính gia tốc:

Lời giải chi tiết:
Khối lượng tổng cộng của người và xe là 70 kg.
Gia tốc:
a = F/m = 140/70 = 2 (m/s2)
Vận tốc của xe sau 5s là: v = a.t = 2,5 = 10 (m/s)
CH tr 20 2.10
Chứng tỏ rằng biểu thức sau không vi phạm về đơn vị: Áp suất chất lỏng = khối lượng riêng x gia tốc rơi tự do x độ sâu
Lời giải chi tiết:
Áp suất chất lỏng: 
Khối lượng riêng x tốc rơi tự do x độ sâu 
CH tr 20 2.11
Một ô tô có các thông số gồm:
|
Khối lượng (kg) |
Tải trọng (kg) |
Tốc độ tối ưu (km/h) |
|
2,10 . 103 |
950 |
75,6 |
Khi ô tô chở đủ tải trọng, nó có thể tăng tốc từ trạng thái nghỉ đến tốc độ tối ưu trong 3,00 giây. Tính độ lớn lực tác dụng lên ô tô khi tăng tốc.
Phương pháp giải:
Áp dụng công thức tính gia tốc:

Lời giải chi tiết:
Khối lượng xe khi chở đủ tải trọng: m = 3,05.103 kg
Gia tốc của xe khi tăng tốc:

Lực tác dụng lên xe khi tăng tốc:
F = ma = 3,05 . 103 . 7 = 21,4 . 103 (N)
CH tr 21 2.12
Cặp lực nào sau đây là cặp lực cân bằng?
A. Hai lực cùng tác dụng lên một vật, cùng phương, ngược chiều.
B. Hai lực cùng tác dụng lên một vật, cùng phương, cùng chiều.
C. Hai lực cùng tác dụng lên một vật, cùng phương, ngược chiều, cùng độ lớn.
D. Hai lực cùng tác dụng lên một vật, cùng phương, cùng chiều, cùng độ lớn.
Lời giải chi tiết:
Cặp lực cân bằng là hai lực cùng tác dụng lên một vật, cùng phương, ngược chiều và có cùng độ lớn.
Đáp án C.
CH tr 21 2.13
Vật có trọng tâm không nằm trên vật là

Lời giải chi tiết:
Hình B có trọng tâm nằm ngoài vật (tâm của hình tròn).
Đáp án B.
CH tr 21 2.14
Trường hợp nào sau đây đã thực hiện biện pháp làm giảm ma sát?
A. Đế giày, dép thường có các rãnh khía.
B. Quần áo được là phẳng sẽ giảm bám bụi hơn quần áo không được là.
C. Mặt bảng viết phấn có độ nhám.
D. Rải cát lên mặt đường bị loang dầu.
Lời giải chi tiết:
A, C, D – tăng ma sát
B – giảm ma sát giữa các hạt bụi và quần áo.
Đáp án B.
CH tr 21 2.15
Một tàu thủy bắt đầu rời cảng, động cơ của tàu được vận hành để tàu đạt được tốc độ ổn định sau một thời gian. Hình nào sau đây mô tả đúng dạng đồ thị tốc độ - thời gian của tàu thủy?

Lời giải chi tiết:
Vận tốc của tàu tăng nhanh sau đó dần ổn định và có tốc độ không đổi
A – vận tốc tăng đều
B – vận tốc giai đoạn đầu tăng chậm
C – thỏa mãn yêu cầu
D – vận tốc giảm dần
Đáp án C.
CH tr 21 Câu 16
Hình 2.1a và hình 2.1b biểu diễn các lực tác dụng lên một ô tô tại hai thời điểm:
a. Hình nào biểu diễn các lực tác dụng lên ô tô khi đang tăng tốc sang phải theo phương ngang? Giải thích?
b. Hình còn lại biểu diễn các lực tác dụng lên ô tô khi hãm phanh. Hãy gọi tên các lực tác dụng lên ô tô trên hình biểu diễn đó.
Lời giải chi tiết:
a. Hình 2.1a biểu diễn các lực tác dụng lên ô tô khi đang tăng tốc sang phải theo phương ngang, do lực theo phương ngang hướng sang phải lớn hơn lực theo phương ngang hướng sang trái.
b. Các lực tác dụng lên ô tô gồm: Trọng lực (hướng xuống), phản lực của mặt đường (hướng lên) và lực hãm (theo phương ngang hướng sang trái).
CH tr 22 2.17
Một vật được treo vào đầu một sợi dây như hình 2.2.

a. Nêu cách làm để chứng tỏ có lực khác cân bằng với trọng lực đã tác dụng lên vật khi vật được treo đứng yên.
b. Sợi dây treo quá mảnh, dây đứt. Vật sẽ chuyển động như thế nào? Nhận xét về các lực tác dụng lên vật ngay trước khi biến đổi chuyển động do dây đứt.
c. Sợi dây treo là dây cao su co giãn tốt. Dùng tay kéo vật mạnh xuống dưới cho dây giãn ra và thả tay. Vật sẽ chuyển động như thế nào? Nhận xét về các lực tác dụng lên vật ngay trước khi thả tay.
Lời giải chi tiết:
a. Dây cân bằng do có trọng lực tác dụng lên vật cân bằng với lực căng dây. Để chứng tỏ có lực khác cân bằng với trọng lực ta sẽ làm cho dây ngừng tác dụng lên vật (cắt, bỏ dây treo) thì vật chỉ chịu tác dụng của trọng lực nên sẽ rơi xuống.
b. Dây đứt, vật sẽ rơi xuống. Các lực tác dụng lên vật không cân bằng nên gây ra gia tốc khiến vật đang đứng yên thì chuyển động rơi xuống.
c. Thả tay, vật sẽ bật lên. Các lực tác dụng lên vật không cân bằng nên gây ra gia tốc khiến vật đang đứng yên thì chuyển động lên trên.
CH tr 22 2.18
Nêu và giải thích một tình huống trong đó trọng lượng của một vật thay đổi trong khi khối lượng của nó không đổi.
Lời giải chi tiết:
Cùng một vật (khối lượng không đổi), khi ở chân núi có trọng lượng khác với khi ở đỉnh núi do gia tốc rơi tự do thay đổi theo độ cao.
CH tr 22 2.19
Ước lượng khối lượng và ước tính trọng lượng của mỗi vật sau đây trên bề mặt Trái Đất, lấy g = 10 m/s2:
a. Một lít nước.
b. Một quyển vở 120 trang.
c. Một học sinh lớp 10.
d. Xe tải loại 20 tấn.
Lời giải chi tiết:
a. Khối lượng khoảng 1kg, trọng lượng khoảng 10 N.
b. Khối lượng khoảng 150 g, trọng lượng khoảng 1,5 N.
c. Khối lượng khoảng 45 kg, trọng lượng khoảng 450 N.
d. Khối lượng khoảng 20 tấn, trọng lượng khoảng 200 000 N.
CH tr 22 2.20
Dùng mũi tên biểu diễn các lực sau:
a. Lực đẩy của nước lên cột mốc phao trên mặt biển.
b. Lực cản trở chuyển động của khúc gỗ đang được kéo trên mặt đường.
c. Lực của sợi dây cáp nối giữa xe cứu hộ và ô tô gặp sự cố.
d. Lực gây khó khăn nếu cầm ô khi đi xe máy.
Lời giải chi tiết:
a. Lực đẩy Archimedes tác dụng lên cột mốc phao, phương thẳng đứng, hướng lên.
b. Lực ma sát tác dụng lên khúc gỗ, phương dọc theo mặt đường, ngược chiều chuyển động của khúc gỗ.
c. Lực căng dây tác dụng lên ô tô được kéo và cả lên xe cứu hộ, phương dọc theo sợi dây, chiều chống lại xu hướng bị kéo giãn của sợi dây.
d. Lực cản của không khí tác dụng lên cái ô có phương ngang, ngược chiều chuyển động.
CH tr 22 2.21
Ném một quả bóng tennis lên theo phương thẳng đứng. Biểu diễn các lực tác dụng lên quả bóng khi:
a) Quả bóng di chuyển lên trên.
b) Quả bóng rơi ngược trở lại.
Lời giải chi tiết:
Khi quả bóng tennis đang chuyển động, nó chịu tác dụng của hai lực:
- Trọng lực có phương thẳng đứng, luôn hướng xuống cả khi bóng bay lên hay rơi xuống.
- Lực cản của không khí: phương thẳng đứng, ngược chiều chuyển động của quả bóng nên sẽ hướng xuống khi quả bóng bay lên và sẽ hướng lên khi quả bóng rơi xuống.
a. Khi quả bóng di chuyển lên trên.
b. Khi quả bóng di chuyển xuống dưới.
CH tr 22 2.22
Lực phát động lớn nhất của một mẫu ô tô đạt được trong điều kiện thử nghiệm là F = 500 N. Cho rằng lực cản không khí Fc tác dụng lên ô tô phụ thuộc vào tốc độ của nó theo biểu thức: Fc = 0,2 v2, trong đó v là tốc độ tính bằng m/s. Xác định tốc độ khi ổn định của ô tô này trong điều kiện thử nghiệm.
Lời giải chi tiết:
Khi ô tô chuyển động ổn định thì lực cản của không khí cân bằng với lực kéo, tức là:
Fc = F = 500 N hay 0,2v2 = 500
Từ đó, ta tính được tốc độ khi ổn định của ô tô này là: v = 50 m/s.
CH tr 23 2.23
Trong cuộc đua, những người trượt tuyết xuống dốc muốn đi càng nhanh càng tốt. Hãy tìm cách để tăng tốc độ của người trượt tuyết đối với từng yếu tố sau:
a. Ván trượt.
b. Quần áo.
c. Độ dốc.
d. Cơ bắp của vận động viên.
Lời giải chi tiết:
Để tăng tốc độ của người trượt tuyết, đối với từng yếu tố dưới đây, ta cần:
a. Ván trượt: xuất hiện lực ma sát giữa ván trượt với mặt dốc → làm giảm lực ma sát bằng cách làm nhẵn mặt tiếp xúc của ván trượt.
b. Quần áo: xuất hiện lực cản của không khí khi chuyển động nhanh → làm giảm lực cản bằng cách mặc quần áo gọn gàng, ôm sát cơ thể.
c. Độ dốc: khi độ dốc càng lớn thì chuyển động trượt xuống càng nhanh nhưng cũng cần lưu ý các điều kiện an toàn.
d. Cơ bắp của vận động viên: tạo ra lực đẩy cho chuyển động, khi lực đẩy càng mạnh sẽ giúp ván trượt nhanh hơn.
CH tr 23 2.24
Trong môn nhảy dù nghệ thuật, những người nhảy dù nhảy lần lượt từ máy bay cách nhau vài giây sau đó cần bắt cặp lại với nhau để tạo hình nghệ thuật. Để hai người nhảy dù bắt cặp được với nhau thì trong khi họ rơi xuống, người thứ hai phải đuổi kịp người thứ nhất.
a. Nếu một người có khối lượng lớn hơn người kia thì người nào nên nhảy trước? Giải thích.
b. Nếu hai người có khối lượng như nhau, thì người thứ nhất và người thứ hai cần làm gì để hai người có thể bắt cặp được với nhau?
Lời giải chi tiết:
a. Người có khối lượng lớn hơn nên nhảy sau, người này có thể đạt được tốc độ ổn định lớn hơn nên dễ bắt kịp người nhảy trước.
b. Nếu hai người có khối lượng như nhau, thì người thứ nhất cần nằm ngang để tăng lực cản và giảm tốc độ ổn định của mình, người thứ hai cần giữ người theo phương thẳng đứng với đầu hướng xuống dưới để tăng tốc độ ổn định và bắt kịp người thứ nhất.
CH tr 23 2.25
Treo một quả cân vào lực kế thì lực kế chỉ 2,5 N. Vẫn treo quả cân đó nhưng nhúng ngập nó vào nước (hình 2.3) thì thấy lực kế chỉ 1,9 N. Sự thay đổi số chỉ của lực kế cho biết điều gì về lực tác dụng lên quả cân?

Lời giải chi tiết:
Số chỉ lực kế giảm chứng tỏ nước tác dụng lực đẩy 0,6 N lên quả cân.
CH tr 23 2.26
Có thể xảy ra ba trường hợp đối với trọng lượng P của vật và độ lớn lực đẩy Archimedes FA khi vật được thả vào trong chất lỏng. Ghép đúng biểu thức so sánh độ lớn của hai lực với câu mô tả trạng thái tương ứng của vật.
|
a. P > FA |
1. Vật chuyển động lên trên mặt thoáng (nổi lên) |
|
b. P = FA |
2. Vật chuyển động xuống dưới đáy (chìm xuống) |
|
c. P < FA |
3. Vật nằm lơ lửng trong chất lỏng (đứng yên) |
Lời giải chi tiết:
a – 2, b – 3, c – 1
CH tr 24 2.27
Thí nghiệm đo lực cần để kéo vật lên bằng ròng rọc được bố trí như hình 2.4. Quả cân và lực kế được nối bằng sợi dây nhẹ, không giãn luồn qua ròng rọc cố định.
a. Mô tả các lực tác dụng lên quả cân.
b. Một học sinh nói rằng nếu giữ quả cân đứng yên thì số chỉ của lực kế chính là trọng lượng của quả cân. Điều này có đúng không? Tại sao?
Lời giải chi tiết:
a. Các lực tác dụng lên quả cân gồm:
- trọng lực: có phương thẳng đứng, chiều từ trên xuống.
- lực căng của sợi dây: có phương thẳng đứng, chiều từ dưới lên.
b. Đúng. Khi quả cân đứng yên thì trọng lực và lực căng dây là hai lực cân bằng:
P = T.
Mà dây nhẹ, không giãn nên lực căng tại mọi điểm trên dây có độ lớn như nhau. Do đó, số chỉ của lực kế đo T cũng đồng thời cho biết trọng lượng của quả cân.
CH tr 24 2.28
Hình 2.5 mô tả một đoạn ống đường kính tiết diện D, chứa đầy nước và một viên bi sắt đường kính d được thả vào ống đang rơi qua đoạn ống này.
Khi viên bi chuyển động xuống thì nước di chuyển từ bên dưới viên bi lên trên, qua khe giữa viên bi và thành ống. Để kiểm tra xem lực cản của nước thay đổi như thế nào khi kích thước viên bi thay đổi, người ta tiến hành thí nghiệm và xác định được tốc độ chuyển động của viên bi tỉ lệ với chênh lệch tiết diện giữa ống và viên bi:
v = kΔS
Trong đó, 
Hãy lập phương án thực hiện thí nghiệm khảo sát này với các thiết bị gợi ý sau:
- Ống nhựa mềm chứa đầy nước.
- Giá đỡ, kẹp, nam châm (để lấy bi sắt ra khỏi ống);
- Một số bi sắt có kích thước khác nhau;
- Đồng hồ bấm giờ;
- Thước mét.
Lời giải chi tiết:
Phương án thí nghiệm:
Bước 1: Lắp ống nhựa lên giá theo hình chữ U, đổ đầy nước. Đánh dấu hai vị trí cách nhau một khoảng L trên cùng một nhánh ống.
Bước 2: Đo đường kính trong D của ống.
Bước 3: Đo đường kính d của viên bi sắt.
Bước 4: Thả viên bi vào ống và đo thời gian t để nó rơi quãng đường L từ vạch trên xuống vạch dưới.
Bước 5: Lặp lại bước 4 cho các viên bi còn lại. Nếu cần, dùng nam châm để lấy các viên bi ra khỏi ống.
Kết quả được ghi vào bảng sau:

CH tr 25 2.29
Chọn câu phát biểu đúng
A. Lực là nguyên nhân làm biến đổi chuyển động của một vật.
B. Lực là nguyên nhân duy trì chuyển động của một vật.
C. Nếu không có lực tác dụng vào vật thì vật không chuyển động.
D. Không cần có lực tác dụng thì vật vẫn chuyển động nhanh dần được.
Lời giải chi tiết:
A – đúng, lực là nguyên nhân làm vật biến đổi chuyển động
B, C, D – sai vì khi vật đang chuyển động, nếu hợp lực tác dụng lên vật bằng không thì vật sẽ tiếp tục chuyển động thẳng đều mãi.
Chọn A.
CH tr 25 2.30
Lực hãm không đổi có độ lớn F tác dụng vào vật khối lượng m đang chuyển động với vận tốc ban đầu v. Sau thời gian t bao lâu thì vật đó đứng yên?

Lời giải chi tiết:
Gia tốc gây ra cho vật: a = F/m
Thời gian cần thiết để vật đứng yên là:

Chọn B.
CH tr 25 2.31
Một người làm động tác “hít đất”: nằm sấp, chống tay xuống sàn để nâng người lên thì
A. người đó tác dụng lên sàn một lực hướng lên.
B. người đó không tác dụng lực lên sàn.
C. sàn tác dụng lên người đó một lực hướng lên.
D. sàn không tác dụng lực lên người đó.
Lời giải chi tiết:
Người tác dụng lên sàn một lực hướng xuống thì sàn tác dụng lên người một lực hướng lên, có độ lớn bằng lực người tác dụng lên sàn.
Chọn C.
CH tr 25 2.32
Người ta thả một quả cầu kim loại vào một ống hình trụ chứa đầy dầu. Lúc đầu, quả cầu chuyển động nhanh dần. Sau một khoảng thời gian, nếu ống đủ cao thì quả cầu chuyển động với tốc độ không đổi. Hãy giải thích:
a. Tại sao lúc đầu quả cầu tăng tốc?
b. Tại sao sau một thời gian thì quả cầu chuyển động đều?
Lời giải chi tiết:
Lực tác dụng lên quả cầu gồm trọng lực và lực cản của dầu.
a. Lúc đầu, lực cản nhỏ hơn trọng lực, hợp lực tác dụng lên quả cầu có hướng của trọng lực sẽ làm quả cầu chuyển động xuống nhanh dần.
b. Tốc độ của quả cầu tăng dần thì lực cản của dầu lên quả cầu tăng dần. Khi độ lớn lực cản bằng trọng lực thì quả cầu chịu tác dụng của hai lực cân bằng nên chuyển động với tốc độ không đổi. Lúc này, do tốc độ quả cầu không đổi nên lực cản của dầu lên quả cầu cũng không đổi. Trạng thái chuyển động đều của quả cầu là trạng thái ổn định.
CH tr 25 2.33
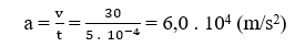
Một cầu thủ dùng chân đá quả bóng đang nằm yên trên mặt đất. Chân của cầu thủ tiếp xúc với bóng trong 5,0.10-4 s và bóng bay đi với vận tốc 30 m/s. Khối lượng của quả bóng là 4,2.10-2 kg.
a. Xác định độ lớn trung bình của lực do chân cầu thủ tác dụng lên quả bóng.
b. Nếu khối lượng quả bóng tăng gấp đôi thì cần lực có độ lớn bằng bao nhiêu để quả bóng vẫn bay đi với vận tốc 30 m/s?
Phương pháp giải:
Áp dụng công thức: F = ma.
Lời giải chi tiết:
Trong thời gian tiếp xúc với chân cầu thủ, quả bóng đã được tăng tốc từ 0 đến 30 m/s, tức là quả bóng đã có gia tốc:

a. Độ lớn trung bình của lực do chân cầu thủ tác dụng lên quả bóng:
F = ma = 4,2 . 10-2 . 6,0 . 104 = 25,2 . 102 (N)
b. Vận dụng, để quả bóng có khối lượng gấp đôi vẫn có gia tốc như trên thì F phải tăng gấp đôi, tức là cần lực có độ lớn
F = m’a = 8,4 . 102 . 6,0 . 104 = 50,4 . 102 (N)
CH tr 25 2.34
Chỉ ra cặp lực – phản lực theo định luật III Newton trong các tình huống sau:
a. Bạn A giẫm lên ngón chân của bạn B.
b. Xe đạp đâm vào tường gạch và dừng lại.
c. Dùng tay ném một quả bóng lên không trung.
Trong mỗi trường hợp, hãy nêu rõ vật mà mỗi lực tác dụng và hướng của lực.
Lời giải chi tiết:
Cặp lực – phản lực cùng phương, ngược chiều, cùng độ lớn, xuất hiện và mất đi đồng thời.
a. Lực do A tác dụng lên ngón chân của B và phản lực do ngón chân của B tác dụng lên bàn chân của A.
b. Xe tác dụng lực lên tường và phản lực của tường tác dụng lên xe.
c. Lực do tay tác dụng làm quả bóng bay lên và phản lực do quả bóng tác dụng lên tay.
CH tr 26 2.35
Một đường thử nghiệm được xây dựng để chạy thử xe có chiều dài một vòng là 1,10 km. Trong quá trình chạy thử nghiệm, một máy cảm biến ghi lại chiếc xe đang di chuyển ở tốc độ 16,0 m/s. Sau khi hoàn thành hai vòng tiếp theo của đường đua, máy cảm biến ghi lại tốc độ của xe là 289 m/s. Gia tốc của xe khi chạy trên đường thử nghiệm là không đổi và chiếc xe mẫu có khối lượng 1,25 tấn.
a. Tính lực tác dụng lên xe trong quá trình chạy thử.
b. Xe đạt tốc độ tối đa 320 m/s và duy trì được trên đoạn đường thẳng của đường thử nghiệm. So sánh lực phát động và lực cản tác dụng lên xe trong khoảng thời gian này.
Phương pháp giải:
Áp dụng công thức: F = ma.
Lời giải chi tiết:
Gia tốc của xe trên đường thử nghiệm:

a. Lực tác dụng lên xe:
F = ma = 1,25 . 103 . 18,9 = 23,6 . 103 (N)
b. Xe chuyển động thẳng đều nên lực phát động và lực cản tác dụng lên xe là hai lực cân bằng.
CH tr 26 2.36
Một sợi dây nhẹ, không giãn được vắt qua ròng rọc và treo các vật có khối lượng ở hai đầu dây thì bất kì sự khác biệt nào về khối lượng ở hai đầu dây sẽ làm cho hệ thống tăng tốc. Để kiểm tra giả thiết này, một nhóm học sinh đã thực hiện thí nghiệm khảo sát như sau:
- Bố trí thiết bị thí nghiệm như hình 2.6. Ở mỗi vị trí M và N, móc kẹp kẹp 10 miếng thép, mỗi miếng thép có khối lượng 50 g.
- Lần lượt chuyển các miếng thép được kẹp ở M đến kẹp tại N. Nâng N lên cho đến khi M vừa chạm sàn thì thả N ra và đo thời gian t để N chạm sàn. Ghi lại thời gian t và sự khác biệt n giữa số lượng miếng thép ở M và ở N theo mẫu sau:
a. So sánh gia tốc của M và của N. Nêu cách tính gia tốc a trong bảng ghi kết quả ở trên.
b. Một bạn học sinh nhận xét rằng dù độ chênh lệch khối lượng giữa N và M được thay đổi khi làm thí nghiệm nhưng tổng khối lượng được buộc vào dây không đổi. Vì thế, chênh lệch trọng lượng giữa N và M là độ lớn lực tác dụng lên cả hệ 20 miếng thép và gây ra gia tốc a nên a tỉ lệ thuận với n. Hãy áp dụng biểu thức định luật II Newton lần lượt cho khối lượng treo tại N và tại M để chứng tỏ:
Với g là gia tốc rơi tự do và bỏ qua ma sát.
c. Thực hiện thí nghiệm để kiểm tra lại kết quả trên.
CH tr 27 2.37
Ta thường nói bông nhẹ hơn sắt. Cách giải thích nào sau đây không đúng?
A. Trọng lực tác dụng lên sắt lớn hơn.
B. Khối lượng riêng của bông nhỏ hơn.
C. Mật độ phân tử của sắt lớn hơn mật độ phân tử của bông.
D. Khối lượng của sắt lớn hơn khối lượng của phần bông có cùng thể tích.
Lời giải chi tiết:
A – sai vì chưa biết rõ khối lượng của sắt và bông trong tình huống này và vị trí so sánh (ở nơi nào trên Trái Đất hay ở một hành tinh khác).
B, C, D – đúng
Chọn A.
CH tr 27 2.38
Do có khối lượng riêng khoảng 1,29 kg/m3 nên trọng lượng của không khí gây ra áp suất lên mặt nước biển vào khoảng 101 kPa. Bề dày của khí quyển Trái Đất được ước lượng bằng
A. 7,83 m. B. 7,83 km. C. 78,3 m. D. 78,3 km.
Lời giải chi tiết:
Áp suất: p = ρgh

Chọn B.
CH tr 27 2.39
Ba quả cầu bằng thép được nhúng vào trong nước như hình 2.7. Nhận xét nào sau đây là đúng về áp suất của nước lên các quả cầu?
A. Áp suất lên quả 2 là lớn nhất vì có thể tích lớn nhất.
B. Áp suất lên quả 1 là lớn nhất vì có thể tích nhỏ nhất.
C. Áp suất lên quả 3 là lớn nhất vì sâu nhất.
D. Áp suất lên ba quả như nhau vì cùng bằng thép và cùng ở trong nước.
Lời giải chi tiết:
Áp suất của chất lỏng tác dụng lên một điểm phụ thuộc vào độ sâu của điểm đó so với mặt thoáng chất lỏng.
Quả cầu 3 ở vị trí sâu nhất nên h lớn nhất, khi đó áp suất lên quả 3 là lớn nhất.
Chọn C.
CH tr 28 2.40
Khối lượng riêng của thép là 7 850 kg/m3. Một quả cầu thép bán kính 0,150 m có khối lượng 80,90 kg. Cho biết công thức tính thể tích của khối cầu là V=4/3 πr3. Chứng tỏ rằng quả cầu này rỗng và tính thể tích phần rỗng.
Lời giải chi tiết:
Thể tích quả cầu:
V = 4/3 πr3 = 4/3π . 0,1503 = 0,014 (m3)
Nếu quả cầu thép đặc thì sẽ có khối lượng:
m = ρ.D = 7850 . 0,014 = 109,9 (kg)
Giá trị này lớn hơn khối lượng của quả cầu nên quả cầu rỗng.
Phần rỗng có khối lượng:
mr = 109,9 − 80,90 = 29 (kg)
Do đó, thể tích phần rỗng của quả cầu là:

CH tr 28 2.41
Một chiếc ghế trọng lượng 80 N có bốn chân, diện tích mỗi chân 10 cm2. Tính áp suất do ghế tác dụng lên sàn.
Lời giải chi tiết:
Diện tích bị ép của mặt sàn:
S = 4 . (10 . 10−4) = 40 . 10−4 (m2)
Áp suất do ghế tác dụng lên sàn:
p = F/S = 80 : (40 . 10−4) = 20000 N/m2
CH tr 28 2.42
Đáy một tàu thủy bị thủng ở độ sâu 1,2 m. Người ta tạm sửa bằng cách đặt một miếng vá áp vào lỗ thủng từ phía trong. Biết lỗ thủng rộng 200cm2 và khối lượng riêng của nước là . Lực tối thiểu bằng bao nhiêu để được giữ miếng vá? Lấy g = 10 m/s2.
Lời giải chi tiết:
Áp suất lên miếng vá ở độ sâu 1,2m là
p = po + ρ.g.h = po + 1000 . 10 . 1,2 = po + 12000 (Pa)
Do trong tàu cũng có áp suất khí quyển p0 nên để giữ được miếng vá từ phía trong, thì lực tối thiểu bằng áp lực của nước lên miếng vá:
F = ρ.g.h.S = 12 000 . 200 . 10−4 = 240 (N)
CH tr 28 2.43
Vì sao càng lên cao, áp suất khí quyển càng giảm?
Lời giải chi tiết:
Càng lên cao, mật độ khí quyển càng giảm, lực hút của Trái Đất lên các phân tử khí càng giảm và bề dày của khí quyển tính từ điểm đo áp suất càng giảm nên áp suất khí quyển càng giảm.
CH tr 28 2.44
Một khối lập phương có cạnh 0,20 m nổi trên mặt nước như hình 2.8, phần chìm dưới nước cao 0,15 m. Khối lượng riêng của nước là 1000kg/m3.
a. Tính chênh lệch áp suất tác dụng lên mặt đáy và mặt trên của khối lập phương.
b. Tính lực đẩy lên khối lập phương do chênh lệch áp suất này gây ra. Lực này chính là lực đẩy Archimedes của nước lên khối lập phương. Cách tính lực đẩy của nước lên khối lập phương có gì khác nếu cả khối nằm trong nước?
c. Giải thích tại sao nếu khối lập phương là vật đặc đồng chất thì có thể xác định được chất liệu của nó qua thí nghiệm này.
Lời giải chi tiết:
a. Do mặt trên của khối lập phương không nằm trong nước, không chịu tác dụng của áp suất nước nên chênh lệch áp suất tác dụng lên mặt đáy và mặt trên của khối lập là:
Δp = ρ.g.Δh = 1000 . 10 . 0,15 = 1500 (Pa)
b. Lực đẩy của nước lên đáy của khối lập phương:
F = Δp.S = 1500 . (0,20 . 0,20) = 60 (N)
Nếu cả khối lập phương nằm trong nước thì lực đẩy của nước lên khối lập phương là hợp lực của áp lực lên mặt đáy và lên mặt trên của khối. Vì áp suất của nước lên đáy lớn hơn lên mặt trên nên hợp lực có chiều đẩy khối lập phương lên.
c. Khối lập phương chịu tác dụng của trọng lực và lực đẩy Archimedes của nước. Vì vật nằm yên trên mặt thoáng nên hai lực này là hai lực cân bằng, ta có:
F = P = 60 N
Nếu khối lập phương là vật đặc đồng chất thì trọng lượng của vật được tính qua khối lượng riêng của chất liệu:
P=ρvgV
Do đó, ta có thể tính được ρv tức là xác định được chất liệu của khối lập phương.
CH tr 28 2.45
Một bình chữ U chứa các chất lỏng A và B không hòa tan, không phản ứng với nhau sẽ có trạng thái ổn định như hình 2.9. Thước đo gắn với bình có đơn vị đo là cm.
a. Nhận xét về áp suất tại các điểm thuộc hai nhánh ống nhưng đều ở mực chất lỏng L?
b. So sánh khối lượng riêng của hai chất lỏng A và B.
Lời giải chi tiết:

a. Áp suất của chất lỏng A ở nhánh bên phải bằng tổng áp suất của chất lỏng B và một phần chất lỏng A ở nhánh bên trái.
b. Xét các điểm thuộc hai nhánh ống nằm ở mực chất lỏng M như hình 2.45G sẽ có cùng áp suất, tức là: ρB . g . hB = ρA . g . hA

CH tr 28 2.46
Hai lực có độ lớn lần lượt là 6N và 8N. Độ lớn hợp lực của hai lực này có thể
A. nhỏ hơn 6 N.
B. lớn hơn 8 N.
C. nhận giá trị bất kì.
D. nhận giá trị trong khoảng từ 2 N đến 14 N.
Lời giải chi tiết:
Độ lớn hợp lực thỏa mãn: (F1 − F1) ≤ F ≤ F1 + F2
Chọn D.
CH tr 29 2.47
Một vật đứng yên dưới tác dụng của ba lực có độ lớn lần lượt là 12 N, 16 N và 20 N. Nếu ngừng tác dụng lực 20 N lên vật thì hợp lực tác dụng lên vật có độ lớn là
A. 12 N.
B. 16 N.
C. 20 N.
D. không xác định được vì thiếu thông tin.
Lời giải chi tiết:
Ban đầu vật đứng yên, hợp lực của chúng bằng 0.
F1 + F2 + F3 = 0 => F1 + F2 = -F3
Nếu ngừng tác dụng lực 20 N lên vật thì hợp lực tác dụng lên vật có độ lớn là 20 N
Chọn C.
CH tr 29 2.48
Một vật có khối lượng 70 kg nằm yên trên mặt phẳng nghiêng một góc θ=30° so với phương ngang. Trọng lực của vật có thể phân tích thành hai thành phần như hình 2.10: Px có xu hướng kéo vật trượt xuống dọc theo mặt phẳng nghiêng, Py cân bằng với phản lực N của mặt phẳng nghiêng lên vật.
Trọng lực tác dụng lên vật là 700 N thì thành phần Px kéo vật trượt xuống có độ lớn là:
A. 350 N.
B. 606 N.
C. 700 N.
D. không xác định được vì thiếu thông tin.
Lời giải chi tiết:
Thành phần Px kéo vật trượt xuống có độ lớn là:
Px = P . sinθ = 700 . sin300 = 350 N
Chọn A.
CH tr 29 2.49
Một người nhảy dù có tổng trọng lượng của người và các thiết bị là 1 000 N. Khi người đó mở dù ra, dù sẽ kéo lên người đó một lực 2 000 N
a. Vẽ giản đồ vectơ thể hiện các lực tác dụng lên người đó lúc mở dù.
b. Xác định hợp lực tác dụng lên người đó lúc mở dù.
c. Hợp lực có tác dụng gì đối với người đó?
Lời giải chi tiết:
a. Giản đồ vectơ như hình 2.49G.
b. Hai lực trên cùng một đường thẳng và ngược chiều nên hợp lực F có độ lớn:
F = 2 000 – 1 000 = 1 000 (N)
Và có chiều của lực lớn hơn, tức là cùng chiều với lực kéo của dù lên người đó (hướng lên).
c. Hợp lực ngược chiều với chiều chuyển động rơi nên gây ra gia tốc ngược chiều chuyển động khiến tốc độ rơi giảm dần, người đó rơi chậm lại.
CH tr 29 2.50
Hình 2.11a biểu diễn một vật chịu hai lực tác dụng lên nó. Hai lực này vuông góc với nhau
Hình 2.11b biểu diễn giản đồ vectơ để xác định hợp lực của hai lực đó.
a. Tính độ lớn của hợp lực.
b. Sử dụng công thức lượng giác để tính góc của hợp lực so với phương ngang.
Lời giải chi tiết:
a. Hợp lực là cạnh huyền của tam giác vuông trong giản đồ vectơ. Sử dụng công thức Pythagoras, ta tính được độ lớn của hợp lực:

b. Góc giữa hợp lực và phương ngang được xác định bởi:
tanθ = 20/10 = 2 => θ = 63,30
CH tr 30 2.51
Một viên đá đang rơi chịu tác dụng của hai lực: trọng lực có độ lớn 15 N và lực đẩy do gió tác dụng theo phương ngang, có độ lớn 3 N.
a. Biểu diễn các lực tác dụng lên viên đá.
b. Dùng giản đồ vectơ xác định hợp lực của hai lực lên viên đá.
c. Xác định độ lớn hợp lực tác dụng lên viên đá và tính góc của hợp lực so với phương ngang.
Lời giải chi tiết:
Xác định độ lớn hợp lực tác dụng lên viên đá và tính góc của hợp lực so với phương ngang.
Lời giải:
a. Hình biểu diễn các lực tác dụng lên viên đá:
b. Hình 2.51G.b biểu diễn giản đồ vectơ lực. là hợp lực tác dụng lên viên đá.
c. Sử dụng định lí Pythagoras tính được độ lớn của hợp lực:

Góc θ của hợp lực so với phương ngang được xác định bởi:
tanθ = P/Fd = 15/3 = 5 => θ = 78,40
CH tr 30 2.52
Khi vận hành, nếu lực đẩy của động cơ là 50 kN thì con tàu có trọng lượng 1 000 kN đi với vận tốc không đổi
a. Con tàu có đang ở trạng thái cân bằng không? Vì sao?
b. Lực đẩy Archimedes của nước lên tàu là bao nhiêu?
c. Lực cản của nước đối với tàu là bao nhiêu?
Lời giải chi tiết:
a. Vì tàu đang chuyển động với vận tốc không đổi nên nó đang ở trạng thái cân bằng.
b. Lực đẩy Archimedes của nước lên tàu cân bằng với trọng lực của tàu:
FA = P = 1 000 kN
c. Lực cản của nước cân bằng với lực đẩy của động cơ:
Fc = Fđ = 50 kN
CH tr 30 2.53
Một thiết bị cảm biến có trọng lượng 2,5 N được thả xuống dòng nước chảy xiết. Nó không rơi theo phương thẳng đứng, vì dòng nước chảy tác dụng lên thiết bị một lực đẩy 1,5 N sang ngang (Hình 2.12). Lực đẩy Archimedes của nước lên thiết bị 0,5 N.
a. Tính độ lớn hợp lực tác dụng lên thiết bị.
b. Thiết bị đó có ở trạng thái cân bằng không?
Lời giải chi tiết:
a. Các lực tác dụng lên thiết bị như trong hình 2.53G.
Thành phần của hợp lực trên phương thẳng đứng:
Fy = P − FA = 2,5 − 0,5 = 2,0 (N)
Thành phần của hợp lực trên phương ngang:
Fx = Fđ = 1,5 N
Độ lớn hợp lực tác dụng lên thiết bị:

b. Độ lớn hợp lực khác 0 nên thiết bị không ở trạng thái cân bằng.
Ta cũng có thể dễ dàng nhận thấy trên mỗi phương thẳng đứng và phương ngang, vật chịu tác dụng của các lực không cân bằng.
CH tr 30 2.54
Cho lực 100 N như hình 2.13
a. Dùng hình vẽ xác định thành phần nằm ngang và thành phần thẳng đứng của lực này.
b. Tính độ lớn của mỗi thành phần của lực.
c. Kiểm tra kết quả câu b bằng cách sử dụng định lí Pythagoras để chứng tỏ rằng hợp lực của hai thành phần bằng lực ban đầu (100 N).
Lời giải chi tiết:
a. Các thành phần của lực được xác định như hình 2.54G.
b. Độ lớn của các thành phần:

c. 
CH tr 30 2.55
Một lực 250 N tác dụng lên vật theo phương nghiêng một góc 450 so với phương thẳng đứng.
a. Xác định thành phần theo phương ngang và theo phương thẳng đứng của lực này.
b. Giải thích tại sao hai thành phần này có độ lớn bằng nhau.
Lời giải chi tiết:
Các thành phần của lực được xác định như hình dưới.
a. Độ lớn của các thành phần:

b. Hai thành phần có độ lớn bằng nhau vì góc hợp bởi các thành phần với hợp lực đều bằng 450.
CH tr 30 2.56
Hình 2.14 biểu diễn các lực tác dụng lên một vận động viên trượt tuyết khi đang tăng tốc xuống dốc.
a. Gọi tên các lực tác dụng lên vận động viên và có độ lớn được cho trên hình 2.14.
b. Tính thành phần theo phương mặt dốc của trọng lực tác dụng lên vận động viên.
c. Tính hợp lực theo phương mặt dốc tác dụng lên vận động viên và giải thích tại sao người đó đang xuống dốc nhanh dần.
d. Giải thích tại sao phản lực của mặt đất lên vận động viên không giúp tăng tốc của chuyển động.
e. Chứng tỏ rằng thành phần theo phương vuông góc với mặt dốc của trọng lực bằng phản lực của mặt đất lên vận động viên.
Lời giải chi tiết:
a. Các lực tác dụng lên vận động viên gồm:
- Trọng lực P = 350 N.
- Phản lực của mặt đất: N = 329 N
- Lực ma sát: Fms = 60 N
b. Thành phần theo phương mặt dốc của trọng lực:
Px = P . sinθ = 350 . sin20° = 119,7 (N)
c. Theo phương mặt dốc có thành phần Px và lực ma sát tác dụng lên vận động viên.
Vì Px > Fms nên hợp lực theo phương mặt dốc có chiều hướng xuống dốc và có độ lớn:
Fx = Px − Fms = 119,7 − 60 = 59,7 (N)
Hợp lực theo phương mặt dốc cùng chiều chuyển động nên tạo ra gia tốc hướng xuống dọc theo mặt dốc, vì thế người đó trượt xuống nhanh dần.
d. Phản lực của mặt đất theo phương vuông góc với mặt dốc nên không có tác dụng đối với chuyển động dọc theo mặt dốc của vận động viên.
e. Vận động viên không chuyển động theo phương vuông góc với mặt dốc nên các lực tác dụng lên người đó theo phương này là các lực cân bằng.
Ta có thể kiểm tra được:
Py = P . cos20° = 329 (N) = N
CH tr 31 2.57
Một học sinh kiểm tra lại quy tắc tổng hợp lực đồng quy bằng cách bố trí thí nghiệm với các quả cân, ròng rọc, dây nối và một vòng nhựa mảnh, nhẹ. Lúc đầu vòng được giữ như hình 2.15.
a. Giải thích tại sao khi vừa thả ra thì vòng chuyển động thẳng đứng xuống dưới.
b. Học sinh này đổi các quả cân có trọng lượng P vào dây treo 6 N thì hệ thống cân bằng khi thả ra. Tính P.
c. Thực hiện lại thí nghiệm trên để kiểm tra.
Lời giải chi tiết:
a. Biểu diễn giản đồ vectơ như hình dưới.
Hệ thống sẽ cân bằng nếu vòng kim loại chịu tác dụng của các lực cân bằng trên mỗi phương, tức là: T3x = T1 và T3y = T2
Với góc nghiêng 530 được giữ lúc đầu thì:
T3x = T3 . cos53° = 5 . cos53° = 3 (N) = T1
T3y = T3 . sin53° = 5 . sin53° = 4 (N) < T2
Như vậy, khi vừa được thả ra thì vòng chịu tác dụng của hai lực cân bằng theo phương ngang, còn theo phương thẳng đứng thì hợp lực có chiều của lực T2 nên vòng sẽ chuyển động thẳng đứng xuống dưới.
b. Để hệ cân bằng khi thay T2 bằng P thì:
P = T3y = T3 . sin53° = 5 . sin53° = 4 (N)
c. Học sinh tự thực hiện thí nghiệm để kiểm tra
CH tr 31 2.58
Một thanh đồng chất tì lên giá đỡ tại O và được giữ nằm cân bằng với hai lực đặt tại A và B như hình 2.16. Vì thanh cân bằng nên hai lực tại A và B sẽ cho hợp lực đặt tại O. Độ lớn của lực tại B là:
A. X = 11 N.
B. X = 36 N.
C. X = 47 N.
D. Không xác định được vì thiếu thông tin.
Lời giải chi tiết:
Áp dụng công thức momen về điều kiện cân bằng của vật rắn.

Chọn B.
CH tr 32 2.59
Một vật có trục quay cố định chịu tác dụng của lực F . Tình huống nào sau đây, lực F sẽ gây tác dụng làm quay đối với vật?
A. Giá của lực F không đi qua trục quay.
B. Giá của lực F song song với trục quay.
C. Giá của lực F đi qua trục quay.
D. Giá của lực F có phương bất kì.
Lời giải chi tiết:
Lực sẽ gây tác dụng làm quay đối với vật khi giá của lực không đi qua trục quay.
Chọn A.
CH tr 32 2.60
Cặp lực nào trong hình 2.17 là ngẫu lực?
A. Hình a. B. Hình b. C. Hình c. D. Hình d.
Lời giải chi tiết:
Ngẫu lực là hệ gồm hai lực cùng phương, ngược chiều và có độ lớn bằng nhau, cùng tác dụng lên một vật nhưng có vị trí điểm đặt khác nhau.
Chọn B.
CH tr 32 2.61
Hai thanh dầm thép đồng chất, có trọng tâm tại A và B, đặt chồng lên nhau như hình 2.18. Thanh dài hơn có trọng lượng 10 kN.
a. Xác định hợp lực (độ lớn P và giá) của các trọng lực tác dụng lên hai thanh dầm.
b. Hai thanh dầm được đặt lên các cột đỡ tại O1 và O2. Để hệ đứng yên thì hợp lực của các lực đỡ bởi hai cột phải cân bằng với hợp lực xác định ở câu a. Hỏi mỗi cột đỡ chịu một lực bằng bao nhiêu?
Lời giải chi tiết:
a. Áp dụng quy tắc hợp lực song song, cùng chiều cho hai trọng lực và của hai thanh, ta xác định được hợp lực như hình 2.61G, trong đó:
Hai thanh dầm đồng chất, dựa vào hình vẽ ta có thể thấy thanh A có khối lượng bằng một nửa khối lượng thanh B
- Độ lớn P = P1 + P2 = 5 + 10 = 15 (kN)
- Giá của đi qua điểm O chia đoạn thẳng AB theo tỉ lệ:

Mà khoảng cách giữa giá của P1 và P2 là L/4 nên khoảng cách từ giá của P đến giá của P1 và P2 lần lượt là L/6 và L/12.
b. Hợp lực của các lực đỡ bởi hai cột phải cân bằng với
Tức là: F = P = 15 kN, F ngược chiều và có giá trùng với giá của
Vì là hợp lực của hai lực đỡ F1 và F2 song song, cùng chiều nên:

Ta xác định được lực mà mỗi cột đỡ phải chịu là:
F1 = 8,75 kN và F2 = 6,25 kN
CH tr 32 2.62
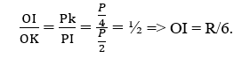
Một đĩa tròn phẳng, mỏng, đồng chất, bán kính R sẽ có điểm đặt của trọng lực tại tâm của đĩa. Hỏi khi khoét một lỗ tròn bán kính R/2 (hình 2.19) thì trọng tâm của đĩa sẽ ở vị trí nào?
Lời giải chi tiết:
Trọng tâm của đĩa bị khoét là điểm đặt hợp lực của trọng lực PK của hình tròn tâm K bán kính R/2 và trọng lực PI của phần đĩa còn lại sau khi khoét đi hai lỗ tròn đối xứng qua I.
Ta có: IK = OK + OI = R/2
Vì đĩa phẳng đồng chất nên trọng lượng mỗi phần đĩa tỉ lệ với diện tích. Gọi P là trọng lượng của đĩa nguyên, ta có:

Áp dụng quy tắc hợp lực song song cùng chiều cho các trọng lực PI và PK, ta xác định được điểm đặt O của hợp lực sẽ chia đoạn thẳng IK theo tỉ lệ:

CH tr 33 2.63
Một xe đẩy chở đất như trong hình 2.20. Xét với trục quay là trục bánh xe, hãy:
a. Tính mômen lực gây ra bởi trọng lực P = 400 N tác dụng lên đất trong xe. Mômen lực này có tác dụng làm quay theo chiều nào?
b. Tính độ lớn F2 của lực do tay người tác dụng lên càng xe để tạo ra mômen lực bằng với mômen của trọng lực. Mômen lực của F2 có tác dụng làm xe quay theo chiều nào?
Lời giải chi tiết:
a. Mômen của trọng lực đối với trục quay là trục bánh xe:
MP = 400 . 0,20 = 80,0 (Nm)
Mômen này có tác dụng làm quay theo chiều kim đồng hồ.
b.
Để tạo ra mômen lực bằng với mômen của trọng lực:
MP = M2 = F2 . 1,20 = 80,0 (Nm)
Do đó, F2 = 66,7 N
Mômen lực của có tác dụng làm quay ngược chiều kim đồng hồ.
CH tr 33 2.64
Một thanh cứng đồng chất chịu tác dụng của bốn lực như hình 2.21
Thanh có thể quay quanh trục tại P. Với mỗi lực, hãy xác định:
a. Mômen của lực đó đối với trục quay tại P.
b. Tác dụng làm quay của mỗi lực theo chiều nào.
Lời giải chi tiết:
a. Mômen của lực F1 bằng không do lực này đi qua trục quay.
Mômen của lực F2 có độ lớn bằng:
M2 = 10 . 0,25 = 2,5 (Nm)
Mômen của lực F3 có độ lớn bằng:
M3 = 10 . 0,50 . sin30° = 2,5 (Nm)
Mômen của lực F4 có độ lớn bằng:
M4 = 5 . 1,00 = 5 (Nm)
b. Các lực F2; F3 có tác dụng làm thanh quay cùng chiều kim đồng hồ.
Lực F1 không có tác dụng làm quay
Lực F4 có tác dụng làm thanh quay ngược chiều kim đồng hồ.
CH tr 33 2.65
Một người dùng búa để nhổ đinh như hình 2.22.
a. Biểu diễn các lực tác dụng lên búa.
b. Chỉ ra điểm tựa mà búa có thể quay xung quanh điểm đó khi nhổ đinh.
c. Biết lực cản của gỗ lên đinh là 1 000 N. Xác định độ lớn tối thiểu của lực mà người đó cần tác dụng để nhổ được đinh.
Lời giải chi tiết:
a. Các lực tác dụng lên búa gồm F do tay tác dụng lên cán búa và F2 là lực cản của gỗ lên búa (qua đinh).
b. Khi nhổ đinh, búa quay quanh điểm tựa O như hình vẽ.

c. F có tác dụng làm búa quay quanh O theo chiều kim đồng hồ, F2 có tác dụng làm búa quay quanh O ngược chiều kim đồng hồ. Lực cần tác dụng để nhổ được đinh tối thiểu gây ra mô men lực bằng mô men lực cản của gỗ:
F . 0,2 = 1000 . 0,02 => F = 100 N
CH tr 33 2.66
Ô tô đang chuyển động với vận tốc không đổi khi trục truyền động của ô tô tác dụng mômen lực 200 Nm lên bánh xe (hình 2.23). Bán kính của bánh xe là 0,18 m.

a. Mô tả tác dụng của mômen lực này đối với bánh xe và đối với cả xe.
b. Xác định độ lớn thành phần lực theo phương ngang mà bánh xe tác dụng lên mặt đường.
Lời giải chi tiết:
a. Mômen lực của trục truyền động làm quay bánh xe. Bánh xe quay sẽ tác dụng lực lên mặt đường. Lực do mặt đường tác dụng trở lại bánh xe sẽ gây ra mômen lực làm bánh xe quay, đẩy xe chuyển động về phía trước.
b. Lực do bánh xe tác dụng lên mặt đường do mômen lực của trục truyền động gây ra nên thành phần theo phương ngang mà bánh xe tác dụng lên mặt đường là:
Fx = 200 : 0,18 = 1 111 (N)
CH tr 34 2.67
Hình 2.24 cho thấy một bức tranh được treo bằng dây vào một chiếc đinh cố định trên tường. Bức tranh ở trạng thái cân bằng.
a. Biểu diễn ba vectơ lực tác dụng lên bức tranh.
b. Lực căng của dây là 45 N. Hãy tính thành phần theo phương thẳng đứng của mỗi lực căng dây và trọng lượng của bức tranh.
Lời giải chi tiết:
a. Lực tác dụng lên bức tranh gồm trọng lực và hai lực căng dây như hình 2.67G.
b. Bức tranh đứng yên nên: P + F1 + F2 = 0.
Khi đó, thành phần của các lực trên mỗi phương sẽ cân bằng.
Mỗi lực căng dây có thể phân tích thành hai phần:
- Thành phần theo phương ngang của hai lực căng cân bằng với nhau:
F1x = F2x => F1 = F2 = F
- Thành phần theo phương thẳng đứng:
F1y = F2y = F . sin50° = 45 . sin50° = 35 (N)
Tổng độ lớn của hai thành phần theo phương thẳng đứng của lực căng sẽ cân bằng với trọng lực.
Ta có: P = F1y + F2y = 70 (N)
CH tr 34 2.68
Một cuốn sách khối lượng 1,5 kg nằm yên trên mặt phẳng nghiêng 200 so với phương ngang (Hình 2.25).
a. Vẽ giản đồ vectơ lực tác dụng lên sách. Coi các lực đặt vào trọng tâm cuốn sách.
b. Tính thành phần của trọng lực có tác dụng kéo cuốn sách trượt xuống dốc. Lấy g = 9,81 m/s2.
c. Xác định độ lớn lực ma sát tác dụng lên cuốn sách.
d. Xác định thành phần pháp tuyến của lực tiếp xúc giữa sách và bề mặt mặt phẳng nghiêng.
Lời giải chi tiết:
a. Các lực tác dụng lên sách gồm: Trọng lực, phản lực của mặt phẳng nghiêng, lực ma sát.
Quyển sách nằm yên nên: P + N + Fms = 0
b. Dọc theo phương của mặt phẳng nghiêng thì thành phần của trọng lực có tác dụng kéo cuốn sách trượt xuống dốc sẽ là:
Px = P . sin20° = mgsin20° = 1,5 . 9,81 . sin20° = 5,03 (N)
c. Thành phần này của trọng lực cân bằng với lực ma sát.
Do đó, Fms = 5,03 N.
d. Thành phần pháp tuyến của lực tiếp xúc giữa sách và bề mặt mặt phẳng nghiêng là phản lực. Lực này cân bằng với thành phần theo phương vuông góc với mặt phẳng nghiêng của trọng lực:
N = Py = mgcos20° = 1,5 . 9,81 . cos20° = 13,83 (N)
CH tr 34 2.69
Một cân đòn sử dụng khối lượng trượt 100 g để cân vật M. Cân đạt được sự cân bằng khi hệ vật nằm ở vị trí như hình 2.26. Xác định khối lượng của vật M được cân trong trường hợp này.
Lời giải chi tiết:
Cân đạt được trạng thái cân bằng do mômen lực tạo bởi trọng lượng của quả cân (khối lượng trượt) và của vật M đảm bảo theo quy tắc mômen, tức là:
M . g . 0,2 = 0,1 . g . 0,3
Vậy M = 0,15 kg = 150 g.