Cùng tham khảo ngay và luôn đề minh họa môn toán thpt quốc gia 2023 với Tài Liệu Học Tập nhé. Vì khi tham khảo sớm chúng ta sẽ biết sớm được cấu trúc đề thi toán thpt quốc gia năm nay có khác gì so với đề thi toán thpt quốc gia năm 2022 hay không. Cùng xem ngay đề thi tham khảo môn toán thpt quốc gia 2023 dưới đây nhé !
Xem ngay: Đề thi toán thpt quốc gia 2023
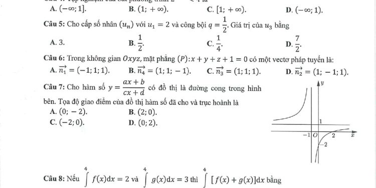
Đề minh họa môn toán thpt quốc gia 2023




Đáp án đề minh họa môn toán 2023
Đây là đáp án tham khảo không phải đáp án chính thức từ Bộ GD và ĐT:

Mọi người có thể tải file pdf đề thi tại đây.
Tham gia group Tài Liệu Học Tập để lấy đề thi các bạn nhé !






















Discussion about this post