1. Mặt tròn xoay là gì và sự tạo thành mặt tròn xoay
Cho mặt phẳng (P) và điểm O là giao điểm của hai đường thẳng d và Δ và tạo thành góc β với $0^{circ}<beta <90^{circ}$. Khi quay mặt phẳng (P) xung quanh Δ thì đường thẳng d sinh ra một mặt tròn xoay được gọi là mặt nón tròn xoay đỉnh O, hay còn được gọi mặt nón tròn xoay là mặt nón.
Trong đó:
-
Đường thẳng Δ gọi là trục.
-
Đường thẳng d gọi là đường sinh.
-
Góc 2β gọi là góc ở đỉnh của mặt nón đó.
2. Mặt nón tròn xoay
2.1. Khái niệm
Cho O là giao điểm hai đường thẳng d và Δ cắt nhau trong mặt phẳng (P) và tạo thành góc β ($0^{circ}<beta <90^{circ}$).
Khi quay mặt phẳng (P) xung quanh Δ thì đường thẳng d sinh ra một mặt tròn xoay được gọi là mặt nón tròn xoay đỉnh O (gọi tắt là mặt nón).
Trong đó:
-
Δ là trục.
-
Đường thẳng d gọi là đường sinh.
-
Góc 2β gọi là góc ở đỉnh của mặt nón đó.
2.2. Hình nón tròn xoay
Cho tam giác AOB với góc AOB= 90 độ. Khi quay tam giác quanh trục OA thì đường gấp khúc ABO tạo thành hình nón tròn xoay (Hình nón).
Trong đó: + Hình tròn (O; OB) là mặt đáy của hình nón.
+ A là đỉnh.
+ AB là đường sinh.
2.3. Khối nón tròn xoay
-
Khối nón tròn xoay là phần không gian được giới hạn bởi một hình nón tròn xoay kể cả hình nón đó. Người ta còn gọi tắt khối nón tròn xoay là khối nón.
-
Những điểm không thuộc khối nón được gọi là những điểm ngoài của khối nón.
-
Những điểm thuộc khối nón nhưng không thuộc hình nón ứng với khối nón ấy được gọi là những điểm trong của khối nón.
-
Ta gọi đỉnh, mặt đáy, đường sinh của một hình nón theo thứ tự là đỉnh, mặt đáy, đường sinh của khối nón tương ứng.
-
hể tích V của khối nón tròn xoay có diện tích đáy P và chiều cao a là:
$V=frac{1}{3}Pa$
2.4. Diện tích xung quanh của hình nón tròn xoay
Định nghĩa: Diện tích xung quanh của hình nón tròn xoay là giới hạn của diện tích xung quanh của hình chóp đều nội tiếp hình nón đó khi số cạnh đáy tăng lên vô hạn.
Công thức:
Diện tích xung quanh của hình nón tròn xoay bằng một nửa tích của độ dài đường tròn đáy và độ dài đường sinh.
$S_{xq}=pi rl$
Trong đó:
- r là bán kính của hình nón
- l là độ dài đường sinh
2.5. Thể tích khối nón tròn xoay
Định nghĩa:
Thể tích của khối nón tròn xoay cũng tương tự như thể tích khối nón bằng 1/3 tích của bình phương bán kính đáy, chiều cao và hằng số pi.
Công thức:
V=$frac{1}{3}Bh=frac{1}{3}pi r^{2}h$
Trong đó:
- B là diện tích đáy hình nón
- r là bán kính đáy hình nón
- h là chiều cao hình nón
- $pi $ là hằng số Pi= 3,14
Tham khảo ngay tài liệu tổng hợp kiến thức và phương pháp giải mọi dạng bài tập trong đề thi Toán THPT Quốc Gia

3. Mặt trụ tròn xoay
3.1. Định nghĩa
Trên mặt phẳng (P) và hai đường thẳng Δ và l song song với nhau, cách nhau một khoảng r. Ta quay mặt phẳng ( P ) xung quanh Δ. Một mặt tròn xoay được gọi là mặt trụ tròn xoay (mặt trụ xoay) từ đường thẳng l.
- Đường thẳng Δ gọi là trục.
- Đường thẳng l là đường sinh.
- bán kính của mặt trụ đó là r.
3.2. Hình trụ tròn xoay
Cho hai đường thẳng Δ và l song song trong mặt phẳng (P), cách nhau một khoảng bằng r. Mặt tròn xoay là mặt phẳng được tạo thành khi quay mặt phẳng (P) xung quanh đường thẳng Δ khi đó đường thẳng l tạo thành một mặt tròn xoay (mặt trụ tròn xoay).
- Đường thẳng Δ gọi là trục.
- Đường thẳng l là đường sinh.
- Bán kính của mặt trụ đó là R.
3.3. Khối trụ tròn xoay
Hình tròn xoay sinh bởi một hình chữ nhật (kể cả các điểm trong nó) khi quay quanh một đường trung bình của hình chữ nhật thì được gọi là khối trụ.
3.4. Diện tích xung quanh – hình trụ tròn xoay
Định nghĩa: Giới hạn của diện tích xung quanh của hình lăng trụ đều nội tiếp hình trụ đó khi số cạnh đáy tăng lên vô hạn là diện tích xung quanh của hình trụ tròn xoay.
Công thức: Công thức tính diện tích xung quanh của hình trụ tròn xoay bằng chu vi đường tròn đáy nhân độ dài đường sinh.
Công thức:
$S_{xq}=2pi rl$
Trong đó:
- Đáy của hình trụ tròn xoay là hình tròn bán kính r.
- Độ dài đường sinh là l.
3.5. Thể tích khối trụ tròn xoay
Định nghĩa: Giới hạn của thể tích khối lăng trụ đều nội tiếp khối trụ đó khi số cạnh đáy tăng lên vô hạn là thể tích của khối trụ tròn xoay.
Công thức:
Ta có công thức:
V = Bh
Trong đó:
- V là thể tích khối trụ tròn xoay
- B là diện tích đáy
- h là chiều cao
Như vậy, nếu bán kính đáy bằng r thì: B=$pi r^{2}$
Khi đó: V=$pi r^{2}h$
Đăng ký ngay để được các thầy cô tư vấn và xây dựng lộ trình ôn thi THPT sớm các môn ngay từ bây giờ

4. Một số bài tập về mặt tròn xoay (có lời giải)
Ví dụ 1: Trên mặt phẳng (P) cho đường tròn tâm O bán kính r. Kẻ những đường thẳng vuông góc với (P) từ những điểm M nằm trên đường tròn. CMR những đường thẳng đó đều nằm trên một mặt trụ tròn xoay.
Lời giải:
Dựng đt d$perp $(P) tại tâm O của đường tròn đã cho, đt Δ qua M thuộc đường tròn tâm O$perp $(P).
⇒ Δ // d và d(Δ,d) = r
Vậy Δ thuộc mặt trụ tròn xoay có trục là d và bán kính bằng r ( điều phải chứng minh).
Ví dụ 2: Bài cho hình chóp S.ABCD (đáy hình vuông ABCD), SA $perp $ đáy SC =$asqrt{6}$. Một hình nón tròn xoay được tạo thành khi cho tam giác SAC quay quanh đường thẳng SA. Xác định thể tích của khối nón tròn xoay trên vừa tạo thành?
Lời giải:
Lời giải:
+ Do ABCD là hình vuông cạnh a nên AC =$asqrt{2}$
+ Xét tam giác SAC có:
$SA=sqrt{SC^{2}-AC^{2}}=sqrt{6a^{2}-2a^{2}}=2a$
+ Hình nón tròn xoay được tạo thành có bán kính đường tròn đáy r = AC = $asqrt{2}$; đường cao SA = 2a.
Do đó, thể tích hình nón là: V=$frac{1}{2}pi r^{2}.h=frac{1}{3}pi (sqrt{2}a)^{2}.2a=frac{4}{3}pi a^{3}$
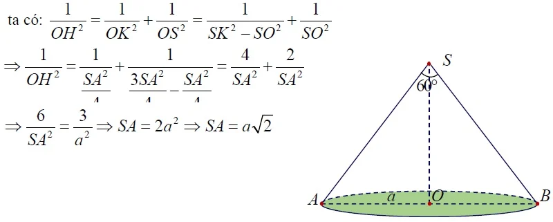
Ví dụ 3: Cho hình nón đỉnh là S, đường cao SO, A và B là hai điểm thuộc đường tròn đáy sao cho khoảng cách từ điểm O đến mặt phẳng (SAB) là $frac{asqrt{3}}{3}$ và góc (AS,AO) = 30°, góc (AS,AB) = 60°. Xác định độ dài đường sinh ?

Lời giải:
Gọi TĐ của AB là K, ta có OK vuông góc với AB vì tam giác OAB cân tại O.
Ta có: SO ⊥ AB nên AB ⊥ (SOK), suy ra (SOK) ⊥ (SAB).
Kẻ SK ⊥ OH (với H SK), khi đó OH ⊥ (SAB).
→ OH = d(O,(SAB)).
Xét tam giác SAO, có sin(SAO)=$frac{SO}{SA}$ → SO=$frac{SA}{2}$
Xét tam giác SAB có sin(SAB) =$frac{SK}{SA}$ → SK = $frac{SA}{frac{sqrt{3}}{2}}$
Lại có: OK là đường cao ứng với cạnh huyền của tam giác SOK vuông tại O.

Ví dụ 4: Bài cho hình chóp tứ giác đều S.ABCD (các cạnh đều bằng $asqrt{2}$). Xác định V của khối nón đỉnh là S có đường tròn đáy là đường tròn nội tiếp tứ giác ABCD?

Lời giải:
Gọi AC giao BD tại O
=> SO ⊥ (ABCD).
Lại có OC=$frac{AC}{2}a$
Suy ra: $SO^{2}=SA^{2}-OC^{2}=a^{2}$ vậy SO=a
Bán kính r=$frac{AB}{2}=frac{a}{sqrt{2}}$
Suy ra thể tích khối nón đã cho là: V = $frac{pi r^{2}h}{3}=frac{pi a^{2}}{6}$
Ví dụ 5: Bài cho một hình nón có bán kính đáy r = 25cm đường cao h = 20cm.
a)Tính $S_{xq}$ của hình nón đã cho.
b)Tính thể tích V của khối nón được tạo thành bởi hình nón đó.
c) Tính S thiết diện mà nó đi qua đỉnh của hình nón và khoảng cách từ tâm của đáy đến mặt phẳng thiết diện là 12cm.
Lời giải:
Lời giải:
a, Ta có: l=$=sqrt{r^{2}+h^{2}}=sqrt{s5^{2}+20^{2}}=sqrt{1025} $ (cm)
Diện tích xung quanh hình nón là: S=πrl=π.25.$sqrt{1025}$ ≈ 800,39π ($cm^{2}$)
b, Thể tích khối nón là: V=$frac{1}{3}pi r^{2}h=frac{1}{3}pi .25^{2}.20=frac{12500pi }{3}$ ($cm^{3}$).
c, Gọi H và S lần lượt là và đỉnh đường tròn đáy của hình nón.
Thiết diện đi qua đỉnh S là ΔSAC ( A và C thuộc đường tròn đáy).
Gọi M là trung điểm của AC.
Ta có: AC ⊥ MH; AC ⊥ SH
⇒ AC ⊥ (SMH)
Kẻ IH ⊥ SM
⇒ IH ⊥ (SAC)
⇒ d(H,(SAC))= IH = 12

Ví dụ 6: Ta cắt một hình nón bằng một mặt phẳng đi qua trục thì được thiết diện là một tam giác đều cạnh 2a. Tính Sxq, V của hình nón đó
Lời giải:
Gọi thiết diện qua trục hình nón là ΔSAB đều cạnh bằng 2a có đỉnh S và đường cao SH.
Chiều cao của hình nón là: h=$sqrt{l^{2}-r^{2}}=sqrt{(2a)^{2}-a^{2}}=asqrt{3}$
Diện tích xung quanh của hình nón là: $S_{xq}=pi rl=pi .a.2a=2pi a^{2}$
Thể tích của hình nón là: V=$frac{1}{3}pi r^{2}h=frac{1}{3}pi .a^{2}.asqrt{3}=frac{pi a^{3}sqrt{3}}{3}$
Ví dụ 7: Bài cho hình trụ trong đó r = 5 cm, h = 7cm. Tính $S_{xq}, S_{tp}, V$
Lời giải:
$S_{xq}=2pi rh=2pi .5.7=70pi $ $S_{tp}=2pi rh + 2pi r2=120pi $ $V=pi r2h=2pi .52.7=350pi $
Ví dụ 8: Một hình trụ có $S_{xq}=120pi (cm^{2})$ và r = 6cm. Tính chiều cao của hình trụ.
Lời giải:
Ta có:
$S_{tp}=2pi rh+2pi r^{2}=2.6.h+2pi .6^{2}=120pi $
=> h=4 (cm)
Vậy chiều cao của hình trụ là 4cm.
Ví dụ 9: Khối trụ có thiết diện qua trục là hình vuông cạnh 2a. Tính $S_{xq}, S_{tp}, V$?
Lời giải:
$S_{xp}=2pi rh=2pi .a.2a=4pi a^{2}$
$S_{tp}=2pi rh+2pi r^{2}=4pi a^{2}+2pi a^{2}=6pi a^{2}$
$V=pi r^{2}h=pi .a^{2}.2a=2pi a^{3}$
Ví dụ 10: Bài cho hình trụ (r = 5cm và khoảng cách giữa hai đáy là 7cm).
a)Tính $S_{xq}, V$ của khối trụ
b) Một thiết diện được tạo nên từ một mặt phẳng song song với trục và cắt trục một khoảng 3cm cắt khối trụ. Tính diện tích thiết diện đó?
Lời giải:

Ví dụ 11: Bài cho hình trụ có bán kính r và chiều cao h = $rsqrt{3}$
a, Tính $S_{xq}, S_{tp}$ của khối trụ
b, Tính V của khối trụ
c, Bài cho A và B thuộc hai đường và góc giữa đường thẳng AB và trục của hình trụ bằng 30 độ. Xác định khoảng cách giữa đường thẳng AB và trục của hình trụ là bao nhiêu?
Lời giải:

Trên đây là toàn bộ kiến thức và tổng hợp đầy đủ các dạng bài tập về dạng bài mặt tròn xoay: các khái niệm về mặt tròn xoay, mặt nón tròn xoay, mặt trụ tròn xoay, các công thức tính diện tích xung quanh, diện tích toàn phần và thể tích của những vật thể tròn xoay dạng khối nón và khối trụ. Mong rằng sau khi đọc bài viết, các bạn học sinh có thể hiểu rõ và áp dụng vào các dạng bài tập một cách dễ dàng. Để học thêm được nhiều hơn kiến thức toán phục vụ kỳ thi THPT Quốc gia sắp tới, các em hãy truy cập vuihoc.vn ngay từ bây giờ nhé!
Tham khảo thêm:
Lý thuyết về mặt cầu
Thể tích khối tròn xoay