BẢN AUDIO TÓM TẮT NHANH NỘI DUNG BÀI VIẾT
Số hữu tỉ là gì?
Theo định nghĩa từ một số trang thông tin như Wiki, beta.wikiversity.org thì trong toán học, số hữu tỉ là các số x có thể biểu diễn dưới dạng phân số a/b, trong đó a và b là các số nguyên với b # 0. Tập hợp các số hữu tỉ, hay còn gọi là trường số hữu tỉ, có ký hiệu là Q.
Số hữu tỉ là số có thể viết dưới dạng a/b với a, b ∈ Z,b ≠ 0 và được kí hiệu là Q.
Ví dụ: Các số 3; -1/2; 2/3;… là các số hữu tỉ
Tập hợp số hữu tỉ Q gồm:
-
Số thập phân hữu hạn: 0.5 (½), 0.2 (⅕),…
-
Số thập phân vô hạn tuần hoàn: 0.16666… (⅙), 0.3333… (⅓),…
-
Tập hợp số nguyên (Z): -2, -1, 0, 1, 2,…
-
Tập hợp số tự nhiên (N): 1, 2, 3, 4, 5, 6,…
Tính chất của số hữu tỉ là gì trong toán học?
-
Tập hợp số hữu tỉ q là tập hợp đếm được.
-
Phép nhân số hữu tỉ có dạng:
-
Phép chia số hữu tỉ có dạng:
-
Nếu số hữu tỉ là số hữu tỉ dương thì số đối của nó là số hữu tỉ âm và ngược lại. Tức tống số hữu tỉ và số đối của nó bằng 0.
Xem thêm: Nguyên hàm từng phần là gì? Công thức tính nguyên hàm từng phần cơ bản và nâng cao đầy đủ nhất
So sánh số hữu tỉ với số nguyên
Khi học về các tập hợp số, học sinh thường gặp hai khái niệm quen thuộc là số nguyên và số hữu tỉ. Nhiều bạn dễ nhầm lẫn giữa chúng vì cả hai đều có thể biểu diễn trên trục số và đều có thể mang giá trị âm, dương hoặc bằng 0. Tuy nhiên, số hữu tỉ là một khái niệm rộng hơn bao gồm cả số nguyên. Bảng sau sẽ giúp bạn thấy rõ sự khác nhau và mối quan hệ giữa hai loại số này:
Kết luận:
-
Tập hợp số nguyên (Z) nằm trong tập hợp số hữu tỉ (Q).
-
Mọi số nguyên đều là số hữu tỉ, nhưng không phải số hữu tỉ nào cũng là số nguyên.
Phân loại: Tập Q gồm những số nào?
Tập hợp q là số hữu tỉ, vậy số hữu tỉ là những số nào? Trong toán học sẽ có 2 loại số hữu tỉ, bao gồm số hữu tỉ âm và số hữu tỉ dương. Cụ thể:
- Số hữu tỉ âm: Bao gồm những số hữu tỉ nhỏ hơn 0
- Số hữu tỉ dương: Bao gồm những sổ hữu tỉ lớn hơn 0
- Lưu ý: số 0 không phải là số hữu tỉ âm và cũng không phải là số hữu tỉ dương.

Các phép toán cơ bản với số hữu tỉ
Qua phần kiến thức trên bạn đã nắm được q là tập hợp số gì trong toán. Trong kiến thức số hữu tỉ toán học lớp 7, các em sẽ được làm quen với các phép toán cơ bản với q là số hữu tỉ như sau:
Phép tính cộng trừ
Sau đây là các bước mà bạn có thể áp dụng để tính các phép toán cộng trừ với các số hữu tỉ.
Bước 1: Viết các số hữu tỉ dưới dạng phân số
Bước 2: Áp dụng quy tắc cộng, trừ và các tính chất để tính
Quy tắc cộng, trừ: Đưa các số hữu tỉ về cùng mẫu (quy đồng mẫu số, rút gọn phân số,…) rồi cộng, trừ tử số, giữ nguyên mẫu số.
Tính chất:
-
Tính chất giao hoán: x + y = y + x
-
Tính chất kết hợp: (x + y) + z = x + (y + z)
-
Tính chất cộng với 0: x + 0 = 0 + x = x
Bước 3: Rút gọn kết quả (nếu có thể)
Phép tính nhân chia
-
Nhân hai số hữu tỉ:
-
Chia hai số hữu tỉ:
Các phép tính và công thức toán khác với số hữu tỉ
Bên cạnh các phép tính cơ bản kể trên, thì các bạn còn cần phải lưu ý một số phép tính và công thức liên quan đến số hữu tỉ thường gặp sau.
Giá trị tuyệt đối của 1 số hữu tỉ
Giá trị tuyệt đối của một số hữu tỉ x được kí hiệu là |x|, là khoảng cách từ điểm x tới điểm O trên trục số.
-
Nếu x > 0 thì |x| = x.
-
Nếu x = 0 thì |x| = 0.
-
Nếu x < 0 thì |x| = -x.
Dựa vào định nghĩa trên, công thức xác định giá trị tuyệt đối của 1 số hữu tỉ như sau:
Công thức tính lũy thừa của 1 số hữu tỉ:
Các công thức tính lũy thừa của 1 số hữu tỉ mà bạn cần phải ghi nhớ:
Cách so sánh hai số hữu tỉ
Để so sánh hai số hữu tỉ x, y ta có thể làm như sau:
-
Viết x, y dưới dạng phân số cùng mẫu dương.
x = a /m; y = b/m ( m > 0)
-
So sánh các tử là số nguyên a và b
-
Nếu a > b thì x > y
-
Nếu a = b thì x = y
-
Nếu a < b thì x < y
-
GIÚP CON HỌC TOÁN KẾT HỢP VỚI TIẾNG ANH SIÊU TIẾT KIỆM CHỈ TRÊN MỘT APP MONKEY MATH. VỚI NỘI DUNG DẠY HỌC ĐA PHƯƠNG PHÁP GIÚP BÉ PHÁT TRIỂN TƯ DUY NÃO BỘ VÀ NGÔN NGỮ TOÀN DIỆN CHỈ VỚI KHOẢNG 2K/NGÀY.

Số vô tỉ là gì?
Trong toán học, các số vô tỉ là tất cả các số thực không phải là số hữu tỉ, mà là các số được xây dựng từ các tỷ số (hoặc phân số) của các số nguyên.
Số vô tỉ kí hiệu là gì? Số vô tỉ là các số viết được dưới dạng số thập phân vô hạn không tuần hoàn. Và kí hiệu của số vô tỉ là I.
Các bạn cần ghi nhớ các số thực không phải là số hữu tỉ có nghĩa là các bạn không thể biểu diễn được dưới dạng tỉ số như a/ b (trong đó a, b là các số nguyên).
Tính chất của số vô tỉ: Tập hợp số vô tỉ là tập hợp không đếm được.
Ví dụ:
-
Số vô tỉ: 0,1010010001000010000010000001… (đây là số thập phân vô hạn không tuần hoàn)
-
Số căn bậc 2: √2 (căn 2)
-
Số pi (π): 3,14159 26535 89793 23846 26433 83279 50 288…..
Sự khác nhau giữa số hữu tỉ và số vô tỉ
-
Số hữu tỉ bao gồm số thập phân vô hạn tuần hoàn, còn số vô tỉ là các số thập phân vô hạn không tuần hoàn.
-
Số hữu tỉ chỉ là phân số, còn số vô tỉ có rất nhiều loại số khác nhau
-
Số hữu tỉ là số đếm được, còn số vô tỉ là số không đếm được
Các dạng bài tập về tập Q – Số hữu tỉ và phương pháp giải
Tới đây, các em đã nắm được khái niệm số hữu tỉ là gì? Tập hợp q là ký hiệu gì trong toán học. Dưới đây là một số dạng bài tập về số hữu tỉ thường gặp cùng phương pháp giải để các em tham khảo và áp dụng:
Dạng 1: Thực hiện phép tính với q là số hữu tỉ
Phương pháp giải: Đầu tiên cần viết 2 số hữu tỉ đã cho dưới dạng phân số, rồi tiến hành áp dụng quy tắc tính toán để tính và đưa ra đáp số chính xác, cũng như rút gọn kết quả nếu có thể.
Lưu ý: Chỉ được áp dụng tính chất:
- a.b + a.c = a.(b+c)
- a.c + b.c = (a+b).c)
Chứ không được áp dụng: a:b + a:c = a:(b+c)
Ví dụ:

Dạng 2: Biểu diễn tập hợp q số hữu tỉ trên trục số
Phương pháp giải:
- Trường hợp a/b là số hữu tỉ dương: ta tiến hành chia khoảng có độ dài 1 đơn vị làm b phần bằng nhau. Sau đó tiến hành lấy về chiều dương trục Ox với a phần. Lúc này ta sẽ được vị trí của số a/b.
- Trường hợp a/b là số hữu tỉ âm: ta tiến hành chia khoảng có độ dài 1 đơn vị làm b phần bằng nhau. Sau đó tiến hành lấy về chiều âm trục Ox với a phần. Lúc này ta sẽ được vị trí của số a/b.
Ví dụ: Biểu diễn số 5/4
Giải:
Ta thấy 5/4 là số hữu tỉ dương. Lúc này ta chia các khoảng tương ứng với độ dài 1 đơn vị làm thành 4 phần bằng nhau. Lấy 5 phần ta sẽ biểu diễn được phân số 5/4.
Dạng 3: So sánh các số hữu tỉ q
Phương pháp giải: Ta sẽ đưa các số hữu tỉ đã cho dưới dạng phân số có cùng mẫu số dương rồi so sánh tử số. Ngoài ra, các em cũng có thể so sánh với số 0, so sánh với số 1, -1 hay dựa vào phần bù của 1, cũng như so sánh với phân số trung gian để tìm đáp án chính xác.
Ví dụ: So sánh các số hữu tỉ sau:

Dạng 4: Tìm điều kiện để một số hữu tỉ q là âm, dương hoặc là 0
Phương pháp giải: Các em dựa vào tính chất của số hữu tỉ để xác định được đó là số âm, dương hay là 0.
Ví dụ:

Dạng 5: tìm các số hữu tỉ nằm trong một khoảng
Phương pháp giải: Đưa các số hữu tỉ đó về cùng mẫu hoặc tử số.
Dạng 6: Tìm x để biểu thức nguyên
Phương pháp giải: Trường hợp tử số không chứa x ta dùng dấu chia hết, nếu tử số chứa x ta dùng dấu chia hết hoặc áp dụng cách tách tử số theo mẫu số. Đối với những bài toán tìm đồng thời cả x và y, ta sẽ nhóm x hoặc y rồi rút chúng đưa về dạng phân thức.
Dạng 7: Các bài toán tìm x với số hữu tỉ q
Phương pháp giải: Đầu tiên ta phải quy đồng khử mẫu số, rồi chuyển những số hạng chứa x về một vế, các số hạng còn lại về một vế (chuyển vế đổi dấu) rồi tiến hành tìm x.
Ví dụ:

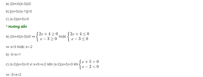
Dạng 8: Bài toán tìm x trong các bất phương trình
Phương pháp giải:

Ví dụ: Tìm x, biết:

Dạng 9: Các bài toán tính tổng tập hợp q là các số hữu tỉ theo quy tắc
* Quy tắc 1: Tính tổng dãy số với những số hạng cách nhau một số không đổi
Phương pháp giải:

* Quy tắc 2: Tính tổng dãy số với những số hạng có số đứng sau gấp n số đứng trước.
Phương pháp giải: Tiến hành phân tích từ số thành hiệu của 2 số (số cuối – số đầu) phía mẫu số.

Một số bài tập mẫu về tập hợp Q – số hữu tỉ tự luyện

TẢI TRỌN BỘ TÀI LIỆU LÝ THUYẾT + BÀI TẬP SỐ HỮU TỈ PDF CHI TIẾT
FAQ – Một số câu hỏi thường gặp về số hữu tỉ
1. Số hữu tỉ là gì?
Số hữu tỉ là số có thể viết được dưới dạng phân số abdfrac{a}{b}ba với a,ba, ba,b là số nguyên và b≠0b neq 0b=0.
2. Số thập phân có phải là số hữu tỉ không?
Có, nếu số thập phân đó hữu hạn hoặc vô hạn tuần hoàn (ví dụ: 0,5 = 1/2; 0,333… = 1/3).
3. Số vô tỉ có phải là số hữu tỉ không?
Không. Số vô tỉ không thể viết được dưới dạng phân số abdfrac{a}{b} (ví dụ: 2,πsqrt{2}, pi2).
4. 0 có phải là số hữu tỉ không?
Có. Vì 0 có thể viết được dưới dạng 01dfrac{0}{1}.
5. Số nguyên có phải là số hữu tỉ không?
Có. Mọi số nguyên đều là số hữu tỉ vì có thể viết dưới dạng a1dfrac{a}{1}.
6. Làm sao nhận biết một số là hữu tỉ?
Nếu bạn có thể viết số đó dưới dạng phân số abdfrac{a}{b} (với b≠0b neq 0), thì đó là số hữu tỉ.
7. Số hữu tỉ có thể âm không?
Có. Ví dụ: −34-dfrac{3}{4} hay −2,5 đều là số hữu tỉ âm.
8. Tập hợp số hữu tỉ được ký hiệu như thế nào?
Tập hợp số hữu tỉ được ký hiệu là Q.
9. Giữa hai số hữu tỉ bất kỳ có tồn tại số hữu tỉ khác không?
Có. Giữa hai số hữu tỉ luôn có vô số số hữu tỉ khác.
10. Số hữu tỉ có thể viết được dưới mấy dạng?
Có thể viết dưới dạng phân số hoặc dạng số thập phân hữu hạn / tuần hoàn.
Hy vọng, thông qua những chia sẻ trên của Monkey sẽ giúp bạn phần nào hiểu được hết khái niệm và các công thức tính toán về số hữu tỉ và số vô tỉ. Đồng thời, qua đó hỗ trợ bạn xây dựng và tiếp thu kiến thức nâng cao một cách tốt hơn trên lớp. Xin được đồng hành cùng bạn.