1. Chuyên đề toán ôn thi vào 10: Rút gọn và tính giá trị biểu thức
– Để rút gọn biểu thức có chứa căn thức bậc hai ta vận dụng thích hợp các phép tính về căn thức và các phép biến đổi đơn giản của biểu thức chứa căn bậc hai. Những điều cần chú ý khi thực hiện rút gọn và tính giá trị biểu thức:
+ Tìm điều kiện xác định của căn thức và phân thức:
có nghĩa khi A
0
+ Tìm điều kiện để bỏ dấu giá trị tuyệt đối:

– Ví dụ1: Rút gọn biêu thức 
Lời giải:


– Ví dụ 2: Cho biểu thức:

+ Rút gọn P;
+ Tìm giá trị của P, biết x = 4 + 2
;
+ Tìm giá trị nhỏ nhất của P.
Lời giải:
ĐKXĐ: x
0 ; x
9



Ta có: x = 4 + 2
= (
+ 1)2 => =
+ 1, thay vào P ta có:
Ta có:
Vì nên P có giá trị nhỏ nhất lớn nhất
nhỏ nhất
Khi đó min P = 5 – 7 = -2.
2. Chuyên đề toán ôn thi vào 10: Giải phương trình và hệ phương trình bậc nhất hai ẩn
– Phương trình bậc nhất hai hẩn là phương trình có dạng ax + by = c, trong đó x, y là ẩn; a, b, c là các số cho trước, a và b không đồng thời bằng 0.
– Phương tình bậc nhất hai ẩn ax + by = c luôn luôn có vô số nghiệm (x;y). Công thức nghiệm tổng quát là:
hoặc
+ Chú ý: Phương trình ax + by = c có nghiệm nguyên khi và chỉ khi c chia hết cho ước chung lớn nhất (a,b).
– Hệ phương trình bậc nhất hai ẩn có dạng:
Trong đó a và b cũng như a’, b’ không đồng thời bằng 0. Với a’b’c’ = 0 ta dễ dàng đưa được về các trường hợp đặc biệt đã biết.
Với a’b’c’
0 ta thì:
- Hệ (I) có nghiệm duy nhất khi
- Hệ (I) vô nghiệm khi:
- Hệ (I) có vô số nghiệm khi:
– Phương pháp giải hệ phương trình:
- Phương pháp thế: Dùng quy tắc thế biến đổi hệ phương trình đã cho thành một hệ mới trong đó có phương trình một ẩn. Giải phương trình một ẩn rồi suy ra nghiệm của hệ.
- Phương pháp cộng đại số: Nhân hai vế của mỗi phương trình với thừa số phụ sao cho giá trị tuyệt đối của hệ số của một ẩn nào đó trong hai phương trình bằng nhau. Dùng duy tắc cộng đại số để được một hệ mới trong đó có một phương trình một ẩn. Giải phương trình và suy ra nghiệm của hệ.
– Ví dụ: Giải hệ phương trình:
>> Kinh nghiệm ôn thi vào 10 môn toán giúp đạt điểm cao
3. Chuyên đề toán ôn thi vào 10: Phương trình bậc hai một ẩn
– Phương trình bậc hai một ẩn là phương trình có dạng ax2 + bx + c = 0 (1) trong đó x là ẩn; c,b,c là những số cho trước và a
0.
– Công thức nghiệm:
Công thức nghiệm Công thức nghiệm thu gọn
Nếu > 0: Phương trình có hai nghiệm phân biệt:
Nếu = 0: Phương trình có nghiệm kép:
Nếu < 0: Phương trình vô nghiệm.
với b = 2b’
Nếu ‘ > 0: Phương trình có hai nghiệm phân biệt:
Nếu ‘ = 0: Phương trình có nghiệm kép:
Nếu ‘ < 0: Phương trình vô nghiệm.
– Hệ thức viet:
+ Nếu x1; x2 là nghiệm của phương trình bậc hai ax2 + bx + c = 0 (a 0) thì:
+ Tìm hai số u và v biết u + v = S; u.v = P ta giải phương trình sau: x2 – Sx + P = 0 (Đk: S2 – 4P > 0)
– Nhẩm nghiệm của phương trình bậc hai ax2 + bx + c = 0 (a 0):
Nếu a + b + c = 0 thì phương trình có 2 nghiệm
Nếu a – b + c = 0 thì phương trình có 2 nghiệm:
– Cách nhẩm nghiệm phương trình bậc hai một ẩn ax2 + bx + c = 0 (a 0)
- Nếu a + b + c = 0 thì phương trình có nghiệm x1 = 1 ; x2 = c/a.
- Nếu a – b + c = 0 thì phương trình có nghiệm x1 = -1 ; x2 = -c/a.
– Ví dụ: Cho phương trình:
4. Chuyên đề toán ôn thi vào 10: Giải bài toàn bằng cách lập phương trình hoặc hệ phương trình
– 3 bước giải bài toán bằng cách lập phương trình hoặc hệ phương trình:
-
Bước 1: Lập phương trình hoặc hệ phương trình của bài toán
-
Chọn ẩn số và đặt điều kiện;
-
Biểu diễn các đại lượng theo ẩn và theo các đại lượng đã biết;
-
Lập phương trình hoặc hệ phương trình.
-
-
Bước 2: Giải phương trình hoặc hệ phương trình.
-
Bước 3: Kết luận nghiệm.
– Ví dụ: Lúc 6 giờ, ô tô chạy từ A đến B. Sau đó nửa giờ, một xe máy chạy từ B về A. Ô tô gặp xe máy lúc 8h. Biết vận tốc ô tô lớn hơn xe máy 10 km/h và khoảng cách từ A đến B là 195km. Hãy tính vận tốc mỗi xe.
Lời giải:
Gọi vận tốc ô tô là x (km/h) (x > 0)
Gọi vận tốc xe máy là y (km/h) (y > 0)
Vì vận tốc ô tô lớn hơn xe máy 10km/ h => x – y = 10 (1)
Thời gian ô tô đã đi cho đến khi gặp xe máy là: 8 – 6 = 2 giờ
Thời gian xe máy đã đi cho đến lúc gặp ô tô là 2 – 1/2 = 3/2 giờ.
Quãng đường ô tô chạy trong 2 giờ là 2x (km)
Quãng đường xe máy chạy trong 3/2 giờ là 3y/2 (km)
Vì quãng đường AB = 195 km nên ta có phương trình: 2x + 3y/2 = 195 hay 4x + 3y = 390 (2)
Từ (1) và (2) ta có phương trình:
Vậy vận tốc của ô tô là 60 km/h, xe máy là 50 km/h.
Khóa học trực tuyến ôn thi vào 10 mới nhất của nhà trường VUIHOC giúp các em vững bước vào 10. Đăng ký ngay để nhận tài liệu ôn thi được biên soạn bởi thầy cô đến từ trường chuyên TOP 5 toàn quốc.
5. Chuyên đề toán ôn thi vào 10: Hàm số và đồ thị
a. Định nghĩa
– Hàm số bậc nhất là hàm số được cho bởi công thức y = ax + b trong đó a,b là các số cho trước và a
0. Đặc biệt khi b = 0 ta có hàm số có dạng y = ax.
– Phương trình bậc nhất hai ẩn có dạng ax + by = c, trong đó a,b,c là các số cho trước đã biết, a
0 hoặc b
0. Nếu b
0 thì có thể đưa phương trình về dạng y = mx + n. Hàm số y = ax2 (a
0) là hàm số bậc hai đặc biệt. b. Tính chất:
– Hàm số bậc nhất y = ax + b (a
0) xác định với mọi giá trị của và đồng biến trên khi a > 0; nghịch biến trên khi a < 0.
– Hàm số y = ax2 (a
0) xác định với mọi giá trị của và :
- Nếu a > 0 thì hàm số nghịch biến khi x < 0, đồng biến khi x > 0;
- Nếu a < 0 thì hàm số đồng biến khi x < 0, nghịch biến khi x > 0.
c. Đồ thị hàm số
– Đồ thị hàm số y = ax + b (a
0) là một đường thẳng:
- Cắt trục tung tại điểm có tung độ bằng b.
- Song song với đường thẳng y = ax nếu b
0 và trùng với đường thẳng y = ax nếu b = 0.
Số a gọi là hệ số góc, số b gọi là tung độ gốc của đường thẳng. Gọi là góc tạo bởi đường thẳng y = ax + b (a
0) và trục Ox:
- Nếu a > 0 thì tg = a.
- Nếu a < 0 thì ta đặt = 180o – . Khi đó tg = |a|. Tính rồi suy ra = 180o – .
– Đồ thị của hàm số y = ax2 (a
0) là một parabol đỉnh O và nhận trục Oy làm trục đối xứng:
- Nếu a > 0 thì đồ thị hàm số nằm phía trên trục hoành, O là điểm thấp nhất của đồ thị. Giá trị nhỏ nhất của hàm số là y = 0.
- Nếu a < 0 thì đồ thị nằm bên dưới trục hoành, O là điểm cao nhất của đồ thị. Giá trị lớn nhất của hàm số là y = 0.
d. Vị trí tương đối của hai đường thẳng, của đường thẳng và parabol:
Xét đường thẳng y = ax + b (d) và y = a’x + b’ (d’)
(d) và (d’) cắt nhau a a’
(d) // (d’) a = a’ và b b’
(d) (d’) a = a’ và b = b’
(d) (d’) a.a’ = -1
Xét đường thẳng y = ax + b (d) và y = kx2 (P)
(d) và (P) cắt nhau tại hai điểm khi phương trình ax + b = kx2 có 2 nghiệm phân biệt.
(d) tiếp xúc với (P) tại một điểm khi phương trình ax + b = kx2 có nghiệm kép.
(d) và (P) không có điểm chung khi phương trình ax + b = kx2 vô nghiệm.
e. Ví dụ: Cho hàm số y = m(x + 1)2 – 2×2 (1).
– Với giá trị nào của m thì (1) là hàm số bậc nhất? Khi đó hàm đồng biến hay nghịch biến? Vẽ đồ thị hàm số ứng với giá trị đó của m.
– Với giá trị nào của m thì (1) là hàm số y = ax2 (a
0)? Vẽ đồ thị của hàm số ứng với giá trị đó cảu m.
6. Chuyên đề toán ôn thi vào 10: Chứng minh bất đẳng thức
a. Định nghĩa bất đẳng thức:
Ta gọi hệ thức dạng a < b ( hay a > b; a b; a
b) là bất đẳng thức.
b. Tính chất:
- Cộng từng vế của hai bất đẳng thức cùng chiều được một bất đẳng thức cùng chiều.
- Trừ từng vế của hai bất đẳng thức khác chiều được một bất đẳng thức mới cùng chiều với bất đẳng thức thứ nhất.
- Nhân từng vế của hai bất đẳng thức cùng chiều mà hai vế không âm ta được một bất đẳng thức cùng chiều. Đặc biệt:
c. Phương pháp chứng minh bất đẳng thức:
+ Dựa vào đinh nghĩa: A > B
+ Biến đổi trực tiếp: A = A1 = A2 = … = M2 + B > 0 ( M
0)
+ Dùng tính chất bắc cầu: A > C và C > B => A > B.
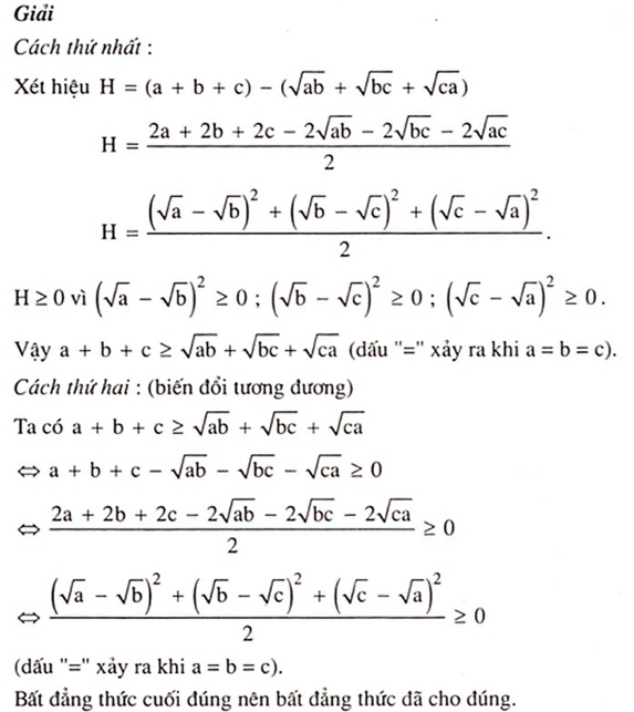
d. Ví dụ: Cho a,b,c >0. Chứng minh rằng:
7. Chuyên đề toán ôn thi vào 10: Giải bất phương trình
– Bất phương trình ẩn x có dạng A(x) < B(x); A(x) > B(x); A(x) B(x); A(x)
B(x) trong đó A(x) và B(x) là hai biểu thức cùng biến x.
– Quy tắc biến đổi bất phương trình:
+ Quy tắc chuyển vế đổi dấu
+ Quy tắc nhân với một số: Khi nhân hai vế của một bất phương trình với một số khác 0 ta phải giữ nguyên chiều BĐT nếu số đó dương, đổi chiều BĐT nếu số đó âm.
– Một số trường hợp đặt biệt:
+ Nếu 0x < m vô nghiệm khi m 0; nghiệm tùy ý khi m > 0.
+ 0x > m vô nghiệm khoi m
0; nghiệm tùy ý khi m < 0 – Giải bất phương trình chứa ẩn trong dấu giá trị tuyệt đối: Phương pháp chung là xét dấu của biểu thức trong dấu giá trị tuyệt đối để khử dấu giá trị tuyệt đối. Một số dạng đặc biệt:
– Ví dụ: Giải bất phương trình:
8. Chuyên đề toán ôn thi vào 10: Tìm giá trị nhỏ nhất, giá trị lớn nhất của biểu thức
a. Định nghĩa
– Nếu với mọi x thỏa mãn ĐKXĐ của f(x) mà f(x) m (m là hằng số), tồn tại x = xo sao cho f(xo) = m thì ta nói m là giá trị lớn nhất của biểu thức f(x) và kí hiệu max f = m.
– Nếu với mọi x thỏa mãn ĐKXĐ của f(x) mà f(x)
m (m là hằng số), tồn tại x = xo sao cho f(xo) = m thì ta nói m là giá trị nhỏ nhất của biểu thức f(x) và kí hiệu min f = m. ‘
b. Cách tìm GTLN, GTNN của một biểu thức:
– Cách tìm GTLN: Chứng minh f(x) m với mọi x, đồng thời dấu “=” xảy ra khi và chỉ khi x = xo
– Cách tìm GTNN: Chứng minh f(x)
m với mọi x, đồng thời dấu “=” xảy ra khi và chỉ khi x = xo
c. Ví dụ: Tìm giá trị nhỏ nhất của biểu thức P = 5×2 – 20x + 30
9. Chuyên đề toán ôn thi vào 10: Giải toán có nội dung số học
a. Phép chia chết và phép chia có dư
– Định nghĩa: Cho a,b,q ; b
0, ta có a b a = b.q
– Tính chất:
- a b ; b m => a m
- a xy => a x và a y
- a x ; b y => ab xy
- a m ; b m => (ax by) m
- (a b) m và a m thì b m
- ab m mà (a : m) = 1 thì b m
- a x và a y mà (x : y) = 1 thì a xy
b. Số chính phương
– Định nghĩa: Số chính phương là số bằng bình phương của một số nguyên. Ví dụ số 9 là một số chính phương vì 9 = 32.
– Tính chất số chính phương:
- Số chính phương không có tận cùng bằng các chữ số 2; 3; 7; 8.
- Số chính phương chia cho 3, chia cho 4 chỉ có thể dư 0 hoặc 1; chia cho 5 dư 0 hoặc dư 4.
- Số chính phương lẻ chia cho 4, chia cho 8 đều dư 1.
10. Chuyên đề toán ôn thi vào 10: Chứng minh các hệ thức hình học
a. Chứng minh tổng hoặc hiệu hai đoạn thẳng bằng một đoạn thẳng thứ ba:
– Chia đoạn thẳng lớn nhất thành 2 phần, sao cho một phần bằng đoạn thẳng thứ nhất và chứng minh phần còn loại bằng đoạn thẳng thứ 2.
– Dựng tổng của hai đoạn thẳng cho trước rồi chứng minh tổng này bằng đoạn thẳng thứ ba.
b. Chứng minh tổng hoặc hiệu hai góc bằng góc thứ ba
– Ta có thể làm tương tự như chứng minh tổng hoặc hiệu hai đoạn thẳng bằng đoạn thẳng thứ ba.
– Dùng định lí về góc nội tiếp: Góc nội tiếp nhỏ hơn hoặc bằng 90o có số đo bằng nửa số đo của góc ở tâm cùng chắn một cung.
c. Chứng minh hai hệ thức hình học bằng nhau.
– Ta dùng định lí ta-let: Nếu một đường thẳng song song với một cạnh của tam giác và cắt hai cạnh còn lại thì tạo ra những cặp đoạn thẳng tương ứng tỉ lệ.
– Hai tam giác đồng dạng thì các cặp cạnh tương ứng tỉ lệ, các cặp góc tương ứng bằng nhau.
– Dùng hệ thức lượng trong tam giác vuông.
– Dùng tính chất: Đường tròn (O) và một điểm M cố định không nằm trên đường tròn. Qua M kẻ hai đường thẳng. Đường thẳng thứ nhất cắt (O) tại A và B. Đường thẳng thứ hai cắt (O) tại C và D. Ta có MA.MB = MC. MD
– Dùng tính chất: Nếu từ một điểm M ở ngoài đường tròn, vẽ tiếp tuyến MT và cát tuyến MAB thì MT2 = MA.MB
d. Ví dụ: Cho tam giác đều ABC nội tiếp đường tròn (O). Lấy điểm M bất kì trên cung nhỏ BC. Chứng minh rằng MB + MC = MA.
11. Chuyên đề toán ôn thi vào 10: Chứng minh tứ giác nội tiếp và nhiều điểm cùng nằm trên đường tròn
a. Tứ giác nội tiếp:
– Tứ giác có bốn đỉnh nằm trên một đường tròn gọi là tứ giác nội tiếp đường tròn (gọi tắt là tứ giác nội tiếp)
– Tứ giác có bốn đỉnh cách đều một điểm là tứ giác nội tiếp.
– Tứ giác có tổng số đo hai góc đối diện bằng 180o là tứ giác nội tiếp.
– Tứ giác có hai đỉnh kề nhau cùng nhìn cạnh chứa hai đỉnh còn lại dưới một góc bằng nhau là tứ giác nội tiếp.
b. Chứng minh nhiều điểm cùng nằm trên một đường tròn
– Lợi dụng các tam giácvuông có cạnh huyền chung.
– Chứng minh các đỉnh của một đa giác cùng nằm trên một đường tròn.
– Sử dụng cung chứa góc.
– Chứng minh các tứ giác nội tiếp.
Khóa học trực tuyến ôn thi vào 10 mới nhất của nhà trường VUIHOC giúp các em vững bước vào 10. Đăng ký ngay để nhận tài liệu ôn thi được biên soạn bởi thầy cô đến từ trường chuyên TOP 5 toàn quốc.
12. Chuyên đề toán ôn thi vào 10: Chứng minh quan hệ tiếp xúc giữa đường thẳng và đường tròn hoặc hai đường tròn
a. Các cách chứng minh đường thẳng là tiếp tuyến của đường tròn
– Đường thẳng và đương tròn chỉ có một điểm chung.
– Khoảng cách từ tâm đường tròn đến đường thẳng bằng bán kính của đường tròn.
– Đường thẳng vuông góc với bán kính tại điểm đầu của bán kính.
– Cho ABC, nếu tia Ax nằm khác phía với C bờ AB mà thì tia Ax là tiếp tuyến của đường tròn ngoại tiếp tam giác ABC.
b. Các cách chứng minh hai đường tròn tiếp xúc nhau
– Nếu đoạn thẳng nối tâm hai đường tròn bằng tổng của hai bán kính thì hai đường tròn tiếp xúc ngoài.
– Nếu đoạn thẳng nối tâm hai đường tròn bằng hiệu của hai bán kính thì hai đường tòn tiếp xúc trong.
– Nếu hai đường tròn cùng tiếp xúc với một đường thẳng tại một điểm thì hai đường tròn tiếp xúc nhau.
c. Ví dụ: Cho ABC vuông tại A có AH là đường cao. Vẽ hai đường tròn (O) và (O’) có đường kính lần lượt là BH và CH. Các đường tròn trên cắt AB, AC lần lượt tại E và F. Chứng minh rằng:
+ Tứ giác AEHF là hình chữ nhật
+ AE.AB = AC.AF
+ EF là tiếp tuyến chung của hai đường tròn (O) và (O’)
13. Chuyên đề toán ôn thi vào 10: Chứng minh điểm cố định
– Xác định ba loại yếu tố: cố định, không đổi và thay đổi. Phán đoán điểm cố định.
– Để dự đoán điểm cố định, ta vẽ hai vị trí của đường thẳng (thường chọn vị trí đặc biệt) và tìm giao điểm S của chúng.
– Dựa vào giả thuyết để tìm mối quan hệ giữa điểm cố định (dự đoán) và các yếu tố khác của đề bài.
– Trình bày lời giải, chứng tỏ S là điểm cố định ( là giao điểm của hai đường thẳng cố định hoặc nằm trên một tia cố định và cách gốc một khoảng không đổi.
– Ví dụ: Cho đường tròn (O;R) và một đường thẳng d nằm ngoài đường tròn. I là một điểm di động trên d. Đường tròn đường kính IO cắt đường tròn (O;R) tại hai điểm M,N. Chứng minh đường thẳng MN luôn đi qua một điểm cố định.
14. Chuyên đề toán ôn thi vào 10: Các bài tập có nội dung tính toán
a. Các hệ thức lượng trong tam giác vuông
ABC vuông tại A, có AH là đường cao thì:
b. Định lí Ta-let
Cho ABC có MN // BC ( M AB; N AC). Ta có:
c. Tính chất đường phân giác trong tam giác:
ABC có AD là phân giác
d. Tam giác đồng dạng:
e. Ví dụ: Cho một nửa đường tròn đường kính AB = 2R. Gọi M là một điểm bất kì trên nửa đường tròn đó sao cho . Từ M vẽ MH vuông góc với tiếp tuyến tại B của nửa đường tròn.
– Tính các đoạn MA, MB, MH theo R và
– Tính MH theo R và 2
– Chứng minh hệ thức cos2 = 1 – 2sin2 và cos2 = 2cos2 – 1
15. Chuyên đề toán ôn thi vào 10: Quỹ tích và dựng hình
a. Các quỹ tích cơ bản:
– Quỹ tích 1: Quỹ tích những điểm cách đều hai điểm A và B cố định là đường trung trực của đoạn thẳng AB.
– Quỹ tích 2: Quỹ tích những điểm cách đều hai cạnh của một góc là đường phân giác của góc đó.
– Quỹ tích 3: Quỹ tích những điểm cách đều đường thẳng xy cố định một khoảng bằng a cho trước là hai đường thẳng song song với xy và cách xy một khoảng băng a.
– Quỹ tích 4: Quỹ tích những điểm cách đều điểm O cố định một khoảng R cho trước là đường tròn có tâm là O và bán kính R.
– Quỹ tích 5: Quỹ tích những điểm nhìn đoạn thẳng AB cố định dưới một góc không đổi (0 < < 180o) là hai cung chứa góc dựng trên đoạn thẳng AB.
b. Các bước giải một bài toán quỹ tích:
– Muốn chứng minh quỹ tích (tập hợp) các điểm M thỏa mãn tính chất là một hình H nào đó, ta phải chứng minh hai phần:
- Phần thuận: Mọi điểm có tính chất đều thuộc hình H. Giới hạn căn cứ vào các vị trí đặc biệt của M, xem điểm M thuộc cả hình H hay chỉ thuộc một phần của hình H.
- Phần đảo: Mọi điểm thuộc hình H đều có tính chất .
- Kết luận: Quỹ tích (tập hợp) các điểm M có tính chất là hình H.
c. Các bước để giải bài toán dựng hình:
– Phân tích: Giả sử hình đó đã dựng được, trước hết vẽ phác một hình gần giống hình cần dựng trên những nét cơ bản, khi cần thiết phải vẽ thêm những đường liên quan, nghiên cứu tỉ mỉ mối quan hệ phụ thuộc giữa các điều kiện trong hình, dựa vào đó xem những yếu tố nào của hình có thể dựng được ngay, điểm nào còn phải dựng thì phải thỏa mãn hai điều kiện.
– Cách dựng: Nêu thứ tự từng bước dụng hình dựa vào các phép dựng hình cơ bản và các bài toán dựng hình cơ bản. Đồng thời thể hiện các bước dụng đó trên hình vẽ.
– Chứng minh: Dùng lập luận để chứng minh hình dựng được bằng phương pháp đã trình bày là hoàn toàn phù hợp với các điều kiện đã cho của bài toán.
– Biện luận: Phân tích mối quan hệ giữa các điều kiện đã cho và hình đã dựng được. Chỉ rõ trong trường hợp nào bài toán dựng được và dựng được bao nhiêu hình thỏa mãn điều kiện đề bài.
d. Ví dụ: Cho tam giác cân ABC (AB = AC > BC) nội tiếp đường tròn (O) và một điểm M bất kì trên cung nhỏ AC. Tia Bx vuông góc với AM và cắt CM tại D.
– Chứng minh
– Chứng minh rằng tam giác BMD cân
– Chứng minh rằng khi M di động trên cung nhỏ AC thì độ lớn góc BDC không đổi và D thuộc một đường tròn cố định
– Xác định vị trí của M để tứ giác ABMD là hình thoi.
16. Chuyên đề toán ôn thi vào 10: Bài toán cực trị hình học
a. Sử dụng mối quan hệ giữa đường xiên và đường vuông góc
Từ điểm A ở ngoài đường thẳng d kẻ AH vuông góc với d. Với bất kì điểm B trên đường thẳng d ta có AH AB. Dấu “=” xảy ra khi và chỉ khi B trùng với H.
b. Sử dụng quy tắc ba điểm:
Với ba điểm bất kì A, B, C ta luôn có AB AC + CB.
Dấu “=” xảy ra khi và chỉ khi C là một điểm thuộc đoạn thẳng AB.
c. Sử dụng bất đẳng thức trong đường tròn
Trong đường tròn, đường kính là dây cung lớn nhất.
d. Sử dụng bất đẳng thức đại số: với x, y là các số không âm, ta có:
Dấu “=” xảy ra với các bất đẳng thức trên khi x = y.
Trên đây là 16 chuyên đề toán ôn thi vào 10 trọng tâm các em cần ghi nhớ, ôn tập các dạng bài nhuần nhuyễn để có thể dễ dàng giải các câu hỏi trong đề thi toán vào 10. Việc ôn tập kiến thức toán 9 nên thực hành song song với việc luyện đề sẽ giúp các em nhanh chóng ghi nhớ công thức, tính chất toán học.
Để luyện thêm nhiều dạng đề thi toán vào 10, các em có thể tham khảo khóa học ôn thi vào 10 của nhà trường VUIHOC. Tại đây, các em không chỉ được học và ôn thi cùng các thầy cô có kinh nghiệm đến từ các trường chuyên nổi tiếng mà còn được tham gia các buổi thi thử được tổ chức bởi nhà trường VUIHOC, giúp đánh giá điểm số và năng lực của các em sau quá trình ôn luyện.
>> Mời bạn tham khảo thêm:
Tổng hợp đề thi thử toán vào 10 cùng đáp án chi tiết
Những kiến thức ôn thi toán vào 10 trọng tâm cần ghi nhớ