Các công thức lượng giác lớp 10, 11 đầy đủ là nội dung quan trọng giúp học sinh có thể triển khai giải các bài tập về lượng giác. Nội dung kiến thức này còn được áp dụng rất nhiều trong các bài thi như học kỳ, thi tốt nghiệp, thi đánh giá năng lực… của các em. The Dewey Schools đã tổng hợp đầy đủ bảng công thức lượng giác ngây trong nội dung dưới đây để học sinh tiện tham khảo, giúp các em có thể dễ dùng học và nhớ. Mời các em cùng theo dõi nhé.

Tổng hợp các công thức lượng giác lớp 10, 11 cơ bản học sinh cần nhớ
Nắm vững các công thức lượng giác lớp 10, 11 từ cơ bản là cơ sở giúp học sinh áp dụng tốt vào việc giải các bài tập có liên quan. Tổng hợp đầy đủ là công thức lượng giác dưới đây, tạo điều kiện thuận lợi cho việc tìm hiểu kiến thức toán học trong nội dung này của các em.
Xem thêm: Tuyển tập kiến thức công thức lượng giác lớp 10 đầy đủ nhất
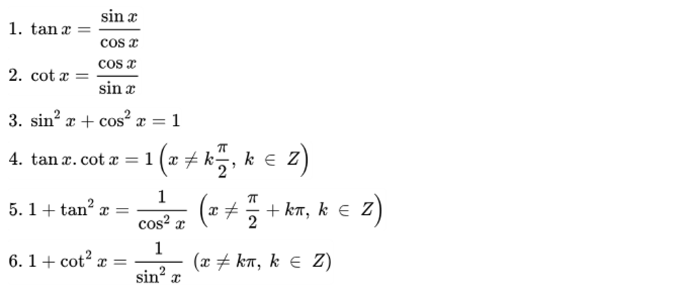
1. 6 công thức lượng giác lớp 10 cơ bản cần nhớ
6 công thức lượng giác lớp 10 cơ bản:

Xem thêm: Tổng hợp kiến thức công thức hạ bậc lượng giác không thể bỏ qua
2. Công thức cộng lượng giác
Các công thức cộng lượng giác 10:

3. Công thức nhân
Công thức nhân đôi

Công thức nhân 3

Công thức nhân 4
Xem thêm: Tổng hợp các kiến thức Đạo hàm đầy đủ từ A – Z
4. Công thức hạ bậc
Công thức lượng giác hạ bậc thực tế được biến đổi từ công thức lượng giác cơ bản:

5. Công thức lượng giác các cung liên kết trên đường tròn
Công thức hai góc đối nhau
- cos (-x) = cos x
- sin (-x) = -sin x
- tan (-x) = -tan x
- cot (-x) = -cot x
Công thức hai góc bù nhau
- sin (π – x) = sin x
- cos (π – x) = -cos x
- tan (π – x) = -tan x
- cot (π – x) = -cot x
Công thức hai góc phụ nhau
- sin (π/2 – x) = cos x
- cos (π/2 – x) = sin x
- tan (π/2 – x) = cot x
- cot (π/2 – x) = tan x
Công thức hai góc hơn kém π
- sin (π + x) = -sin x
- cos (π + x) = -cos x
- tan (π + x) = tan x
- cot (π + x) = cot x
Công thức hai góc hơn kém π/2
- sin (π/2 + x) = cos x
- cos (π/2 + x) = -sin x
- tan (π/2 + x) = -cot x
- cot (π/2 + x) = -tan x
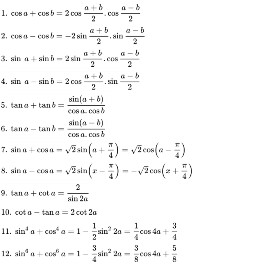
6. Công thức lượng giác biến đổi tổng thành tích lớp 10, 11
Công thức lượng giác biến đổi tổng thành tích lớp 10, 11:

7. Công thức lượng giác biến đổi tích thành tổng trong toán học
Công thức lượng giác biến đổi tích thành tổng trong toán học THPT:

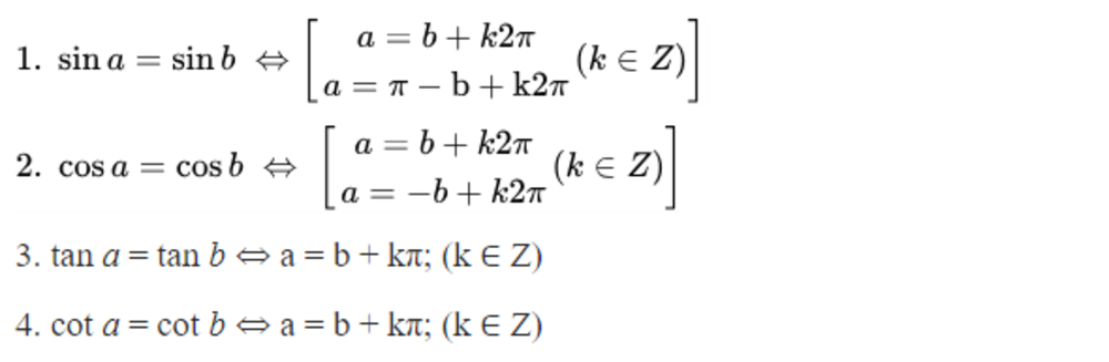
8. Các công thức nghiệm của phương trình lượng giác cơ bản và đặc biệt
Các công thức nghiệm của phương trình lượng giác cơ bản:

Công thức nghiệm của phương trình lượng giác trong trường hợp đặc biệt:
- sin a = 0 ⇔ a = kπ; (k ∈ Z)
- sin a = 1 ⇔ a = π/2 + k2π; (k ∈ Z)
- sin a = -1 ⇔ a = -π/2 + k2π; (k ∈ Z)
- cos a = 0 ⇔ a = π/2 + kπ; (k ∈ Z)
- cos a = 1 ⇔ a = k2π; (k ∈ Z)
- cos a = -1 ⇔ a = π + k2π; (k ∈ Z)
Công thức nghiệm của phương trình lượng giác trường hợp đặc biệt (sưu tầm Internet)
9. Dấu của các giá trị lượng giác
Bảng dấu của các giá trị lượng giác sin, cos, tan, cot:
Góc phần tư số I II III IV sin (x) + + – – cos (x) + – – + tan (x) + – + – cot (x) + – + –
Bảng dấu của các giá trị lượng giác sin, cos, tan, cot
10. Bảng giá trị lượng giác góc đặc biệt
Bảng giá trị lượng giác của 2 góc phụ nhau α + β = 90°
- sin α = cos β
- cos α = sin β
- tan α = cot β
- cot α = tan β
Bảng giá trị lượng giác góc đặc biệt lớp 10, 11:

Công thức lượng giác lớp 11 (kiến thức nâng cao)
Thống kế các công thức lượng giác lớp 11 nâng cao giúp các em học sinh mở rộng kiến thức, làm các bài tập trong bài thi để đạt điểm cao hơn:
1. Các công thức lượng giác đặc biệt (kiến thức nâng cao)
Các công thức lượng giác đặc biệt cần nhớ:

2. Hàm lượng giác ngược
Trong công thức lượng giác lớp 11 (nâng cao) có kiến thức hàm lượng ngược, các em học sinh tham khảo để chuẩn bị tốt cho quá trình luyện thi của mình.

3. Lượng giác hóa số phức (nâng cao)
Kiến thức nâng cao về nội dung kiến thức lượng giác hóa số phức:

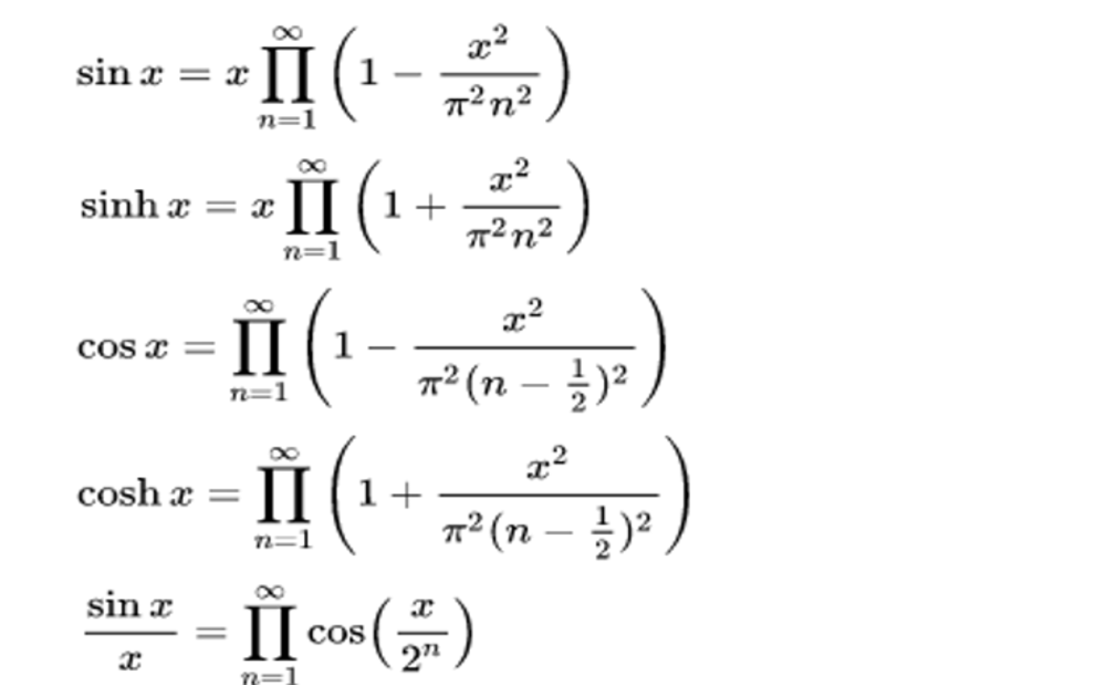
4. Tích vô hạn ứng dụng với hàm lượng giác đặc biệt
Tích vô hạn ứng dụng với hàm lượng giác đặc biệt:

Mách nhỏ phương pháp ghi nhớ nhanh các công thức lượng giác
Học và nhớ các công thức lượng giác là yếu tố quan trọng ảnh hưởng đến hiệu quả giải các bài tập lượng giác của học sinh Trung học phổ thông. Đây cũng là phần kiến thức cốt lõi xuất hiện trong các bài kiểm tra, bài thi quan trọng. Vậy làm thế nào để ghi nhớ nhanh các công thức lượng giác này?
Trong nội dung tiếp theo của bài viết The Dewey Schools sẽ tiết lộ cách để giúp các em học sinh giải quyết vấn đề nhé.
1. Nắm chắc kiến thức công thức lượng giác cơ bản
Để giải quyết 1 bài toán bất kỳ trong chương trình toán THPT cần kết hợp nhiều kiến thức. Tuy nhiên, phần cốt lõi của vấn đề luôn ở kiến thức cơ bản vì vậy các em cần học để nắm chắc các công thức lượng giác cơ bản.
Ví dụ: Công thức của các cung đặc biệt là “cos đối, sin bù, phụ chéo; khác pi tan (cot)” có nghĩa
- Cos của các góc đối là bằng nhau
- Sin các góc bù là bằng nhau
- Sin cos các góc phụ nhau là đối nhau
- Tan và cot các góc khác nhau pi/ 2 là bằng nhau.
Cụ thể:
Hai cung đối nhau (α và – α)
- cos α = cos (- α)
- sin α = – sin (- α)
- tan α = – tan (- α)
- cot α = – cot (- α)
Hai cung bù nhau (α và π – α)
- sin (π – α) = sin α
- cos (π – α) = – cos α
- tan (π – α) = – tan α
- cot (π – α) = – cot α
2. Học thuộc công thức lượng giác thông qua thơ
Cách học công thức lượng giác qua thơ đã được phổ biến qua nhiều thế hệ học sinh. Cách học này giúp các em dễ dàng học thuộc công thức lượng giác nhanh và hiệu quả qua các vần thơ có vần điệu.
- Thơ vui về giá trị lượng giác các cung đặc biệt
Cos đối, sin bù, phụ chéo, khác pi tan
- Thơ học công thức lượng giác biến đổi tích thành tổng
Cos cos nửa cos-cộng
cộng cos-trừ
Sin sin nửa cos-trừ
trừ cos-cộng
Sin cos nửa sin-cộng cộng sin-trừ
- Thơ vui học thuộc công thức lượng giác biến đổi tổng thành tích
Bài thơ số 1:
“Cos + Cos = 2 cos cos
Cos – Cos = – 2 sin sin
Sin + Sin = 2 sin cos
Sin – Sin = 2 sin sin
Tan ta cộng với tan mình
Bằng sin hai đứa
trên cos mình cos ta”
Bài thơ số 2:
“Cos + cos = 2 cos cos
cos trừ cos = trừ 2 sin sin
Sin + sin = 2 sin cos
sin trừ sin = 2 cos sin.
Sin thì sin cos cos sin
Cos thì cos cos sin sin “coi chừng” (dấu trừ).
Tang tổng thì lấy tổng tang
Chia một trừ với tích tang dễ dàng”
- Thơ vui học thuộc công thức lượng giác nhân đôi
Sin gấp đôi
bằng 2 sin cos Cos gấp đôi
bằng bình cos trừ bình sin
Công thức Tang gấp đôi
Tang đôi ta lấy đôi tang (2 tang) Chia 1 trừ lại bình tang, xong liền
Công thức Tan(a+b) = (tan+tanb)/1- tana.tanb
tan một tổng 2 tầng cao rộng trên thượng tầng tan + tan tan dưới hạ tầng số 1 ngang tàng dám trừ một tích tan tan oai hùng
- Thơ vui học thuộc công thức lượng giác nhân ba
Nhân ba một góc bất kỳ
sin thì ba bốn, cos thì bốn ba
dấu trừ đặt giữa 2 ta
lập phương chỗ bốn thế là ok
Tang đôi ta lấy đôi tang (2 tang)
Chia 1 trừ lại bình tang, ra liền
- Thơ vui học công thức lượng giác trong tam giác vuông
Bài thơ số 1:
Sao đi học (sin = đối/ huyền)
Cứ khóc hoài (cos = kề/ huyền)
Thôi đừng khóc (tan = đối/ kề)
Có kẹo đây (cot = kề/ đối)
Bài thơ số 2:
Tìm sin lấy đối chia huyền
Cosin lấy cạnh kề, huyền chia nhau
Còn tang ta tính như sau
Đối trên, kề dưới
chia nhau ra liền
Cotang cũng dễ ăn tiền
Kề trên, đối dưới
chia liền là ra
3. Học công thức lượng giác trong bài toán biến đổi
Một trong những cách học công thức lượng giác hiệu quả không thể không kể đến là giải các bài tập biến đổi lượng giác. Cách học này còn giúp chúng ta hứng thú và tìm ra cách giải toán sáng tạo. Trong quá trình giải bài tập biến đổi lượng giác cần chú ý một số phương pháp biến đổi sau:
- Biến tích thành tổng, tổng thành tích: Sử dụng phương pháp biến đổi tích thành tổng và tổng thành tích để tìm các nhóm giống nhau và rút gọn khi giải bài tập biến đổi lượng giác.
- Hạ bậc: Phương pháp hạ bậc trong lượng giác cần kết hợp các hằng đẳng thức để hạ bậc của hàm lượng giác. Sau đó áp dụng các công thức lượng giác phù hợp để chuyển đổi từ bậc cao xuống bậc thấp giúp việc tính toán dễ dàng hơn.
- Các góc đặc biệt, các cung đặc biệt: Công thức lượng giác của các góc và các cung đặc biệt cần được ghi nhớ thành thạo để áp dụng giải các bài tập lượng giác dạng này. Khi áp dụng các công thức lượng giác vào bài toán biến đổi chúng ta nên đưa về các góc đặc biệt để giải toán nhanh gọn hơn.
Trên đây là tổng hợp các công thức lượng giác lớp 10, 11 đầy đủ nhất từ cơ bản đến nâng cao, mời các em học sinh tham khảo. Chúng ta hãy nắm vững các công thức này để có thể áp dụng thành thạo vào các bài tập lượng giác, từ đó chuẩn bị tốt cho các kỳ thi sắp tới nhé. The Dewey Schools luôn đồng hành hỗ trợ và giải đáp thắc mắc cho các em học sinh khi liên hệ với chúng tôi.