Tài Liệu Học Tập
No Result
View All Result
  • Đề Thi
  • Lớp 12
    • Lịch Sử Lớp 12
    • Địa Lí Lớp 12
    • Ngữ Văn Lớp 12
    • GD KTPL Lớp 12
    • Toán Lớp 12
    • Tiếng Anh Lớp 12
    • Hóa Học Lớp 12
    • Sinh Học Lớp 12
    • Vật Lí Lớp 12
  • Lớp 11
    • Toán Lớp 11
    • Ngữ Văn Lớp 11
    • Tiếng Anh Lớp 11
    • Hóa Học Lớp 11
    • Sinh Học Lớp 11
    • Vật Lí Lớp 11
    • Lịch Sử Lớp 11
    • Địa Lí Lớp 11
    • GDCD Lớp 11
  • Lớp 10
    • Toán Lớp 10
    • Ngữ Văn Lớp 10
    • Tiếng Anh Lớp 10
    • Hóa Học Lớp 10
    • Sinh Học Lớp 10
    • Vật Lí Lớp 10
    • Lịch Sử Lớp 10
    • Địa Lí Lớp 10
    • GDKTPL Lớp 10
    • Công nghệ lớp 10
    • Tin Học Lớp 10
  • Lớp 9
    • Toán Lớp 9
    • Ngữ Văn Lớp 9
    • Tiếng Anh Lớp 9
    • Lịch sử và địa lý lớp 9
    • Khoa Học Tự Nhiên Lớp 9
    • GDCD Lớp 9
  • Lớp 8
    • Toán Lớp 8
    • Ngữ Văn Lớp 8
    • Tiếng Anh Lớp 8
    • Lịch sử và địa lý lớp 8
    • Khoa Học Tự Nhiên Lớp 8
    • GDCD 8
  • Lớp 7
    • Toán Lớp 7
    • Văn Lớp 7
    • Tiếng Anh Lớp 7
    • Lịch Sử Và Địa Lí Lớp 7
    • Khoa Học Tự Nhiên Lớp 7
  • Lớp 6
    • Toán Lớp 6
    • Văn Lớp 6
    • Tiếng Anh lớp 6
    • Lịch Sử và Địa Lí Lớp 6
    • Khoa Học Tự Nhiên lớp 6
  • Lớp 5
    • Toán lớp 5
    • Tiếng Việt Lớp 5
    • Tiếng Anh Lớp 5
    • Lịch Sử và Địa Lí Lớp 5
  • Lớp 4
    • Toán lớp 4
    • Tiếng Việt Lớp 4
    • Tiếng Anh Lớp 4
    • Lịch Sử và Địa Lí Lớp 4
  • Lớp 3
    • Toán lớp 3
    • Tiếng Anh Lớp 3
    • Tiếng Việt Lớp 3
  • Mẹo Hay
  • Tin tức
  • Liên Hệ
Tài Liệu Học Tập
No Result
View All Result
Home Toán tổng hợp

Ôn tập tỉ số lượng giác và cách làm bài tập về tỉ số lượng giác lớp 9

by Tranducdoan
06/02/2026
in Toán tổng hợp
0
Đánh giá bài viết

n

Mục Lục Bài Viết

  1. 1. Kiến thức cần nhớ về tỉ số lượng giác lớp 9
    1. 1.1. Định nghĩa tỉ số lượng giác của góc nhọn
    2. 1.2. Tính chất của tỉ số lượng giác lớp 9
    3. 1.3. So sánh các tỉ số lượng giác
    4. 1.4. Bảng tỉ số lượng giác của các góc đặc biệt
  2. 2. Các dạng bài tập về tỉ số lượng giác lớp 9
    1. 2.1. Dạng 1: Tính toán các tỉ số lượng giác, độ dài các cạnh trong tam giác
    2. 2.2. Dạng 2: So sánh các tỉ số lượng giác, các góc
    3. 2.3. Dạng 3: Rút gọn, tính toán các biểu thức lượng giác
    4. 2.4. Dạng 4: Chứng minh biểu thức, đẳng thức liên quan đến tỉ số lượng giác
  3. 1. Kiến thức cần nhớ về tỉ số lượng giác lớp 9
    1. 1.1. Định nghĩa tỉ số lượng giác của góc nhọn
    2. 1.2. Tính chất của tỉ số lượng giác lớp 9
    3. 1.3. So sánh các tỉ số lượng giác
    4. 1.4. Bảng tỉ số lượng giác của các góc đặc biệt
  4. 2. Các dạng bài tập về tỉ số lượng giác lớp 9
    1. 2.1. Dạng 1: Tính toán các tỉ số lượng giác, độ dài các cạnh trong tam giác
    2. 2.2. Dạng 2: So sánh các tỉ số lượng giác, các góc
    3. 2.3. Dạng 3: Rút gọn, tính toán các biểu thức lượng giác
    4. 2.4. Dạng 4: Chứng minh biểu thức, đẳng thức liên quan đến tỉ số lượng giác

1. Kiến thức cần nhớ về tỉ số lượng giác lớp 9

n

1.1. Định nghĩa tỉ số lượng giác của góc nhọn

n

"Định
Định nghĩa tỉ số lượng giác của góc nhọn

nn

Mẹo nhớ các tỉ số lượng giác của góc nhọn

n

"tỉ

n

[%Included.Dangky%]

n

[%Included.Lớp 9%]

n

1.2. Tính chất của tỉ số lượng giác lớp 9

n

"tỉ

n

Tính chất 1

n

Nếu hai góc phụ nhau (tổng hai góc bằng 90 độ), thì sin góc này bằng côsin góc kia, tang góc này bằng côtang góc kia.

n

Cho tam giác vuông có hai góc nhọn α và β, α + β = 90o

n

Khi đó:

n

"tỉ

n

Tính chất 2

n

Nếu sin α = sin β (hoặc cos α = cos β, hoặc tan α = tan β, hoặc cot α = cot β) thì α = β vì chúng là hai góc tương ứng của hai tam giác đồng dạng.

n

Ví dụ: Nếu cot 30o = cot β thì β = 30o

n

Tính chất 3

n

Nếu α là góc nhọn bất kỳ trong một tam giác vuông, ta có những công thức sau:

n

"tỉ

n

1.3. So sánh các tỉ số lượng giác

n

Cho hai góc nhọn của một tam giác vuông là α, β.

n

a) Nếu α < β thì

  • n
  • sin α < sin β; tan α < tan βn
  • cos α > cos β; cot α > cot βn

b) sin α < tan α; cos α < cot α

n

1.4. Bảng tỉ số lượng giác của các góc đặc biệt

n

"Bảng
Bảng tỉ số lượng giác của các góc đặc biệt

n

Chú ý:Từ nay sin  ta có thể viết là sin A, tương tự với cos Â, tan Â, cot Â.

n

2. Các dạng bài tập về tỉ số lượng giác lớp 9

n

2.1. Dạng 1: Tính toán các tỉ số lượng giác, độ dài các cạnh trong tam giác

n

Phương pháp giải: Sử dụng các tỉ số lượng giác của góc nhọn, định lý Py-ta-go, hệ thức lượng trong tam giác vuông để tính toán các yếu tố cần thiết.

n

Bài tập minh họa

n

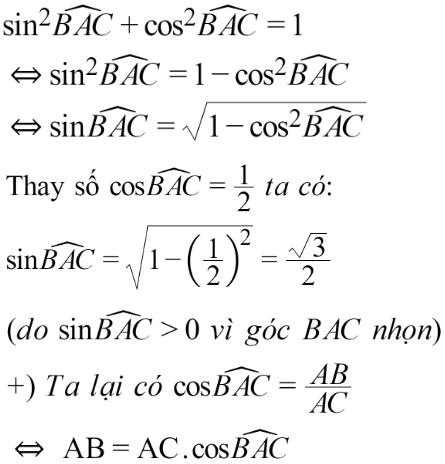
Ví dụ: Cho tam giác ABC vuông tại B. Có AC = 10cm, "bảng. Tính "bảng và độ dài AB, BC.

n

"bảng

n

Hướng dẫn giải

n

"bảng

n

"bảng

n

2.2. Dạng 2: So sánh các tỉ số lượng giác, các góc

n

Phương pháp giải: Đưa các tỉ số lượng giác về cùng loại, áp dụng các tính chất của tỉ số lượng giác của góc nhọn để giải bài toán.

n

Bài tập minh họa

n

Ví dụ: Cho tam giác vuông có hai góc nhọn α, β. Biết sinα = cosβ = 0,5. So sánh hai góc α và β.

n

Hướng dẫn giải

n

"bảng

n

2.3. Dạng 3: Rút gọn, tính toán các biểu thức lượng giác

n

Phương pháp giải: Áp dụng các tính chất của tỉ số lượng giác của góc nhọn để giải bài toán.

n

Bài tập minh họa

n

Ví dụ: Rút gọn và tính toán biểu thức: A = sin 15o – sin 60o + cos 30o – cos 75o + 5

n

Hướng dẫn giải

n

A = sin 15o – sin 60o + cos 30o – cos 75o + 5

n

⇒ A = (sin 15o – cos 75o) + (cos 30o – sin 60o) + 5

n

Áp dụng tính chất tỉ số lượng giác của góc nhọn, ta có:

n

15o + 75o = 90o ⇒ sin 15o = cos 75o

n

30o + 60o = 90o ⇒ cos 30o = sin 60o

n

⇒ sin 15o – cos 75o = 0; cos 30o – sin 60o = 0

n

⇒ A = 0 + 0 + 5 = 5

n

👉 Gợi ý các phần mềm học tập và ôn thi hiệu quả cho học sinh lớp 9

n

2.4. Dạng 4: Chứng minh biểu thức, đẳng thức liên quan đến tỉ số lượng giác

n

Phương pháp giải: Áp dụng các tính chất của tỉ số lượng giác của góc nhọn để giải bài toán.

Chú ý: Đối với bài chứng minh biểu thức không phụ thuộc vào giá trị của góc thì cần phải biến đổi sao cho không còn tồn tại các góc trong biểu thức.

n

Bài tập minh họa

n

Ví dụ: Cho tam giác vuông có hai góc nhọn α, β. Chứng minh rằng: sin4 α – cos4 β = sin2 α – cos2 β

n

Hướng dẫn giải

n

Áp dụng hằng đẳng thức, ta có:

n

Vế trái = sin4 α – cos4 β = (sin2 α – cos2 β)(sin2 α + cos2 β)

n

Áp dụng tính chất tỉ số lượng giác của góc nhọn, ta có:

n

sin2 α + cos2 β = 1

n

⇒ Vế trái = (sin2 α – cos2 β)(sin2 α + cos2 β) = (sin2 α – cos2 β).1 = sin2 α – cos2 β (điều phải chứng minh)

n

Bài tập tự luyện tỉ số lượng giác của góc nhọn

n

Như vậy, bài viết trên đã giới thiệu đầy đủ kiến thức cần nhớ về tỉ số lượng giác lớp 9 và hướng dẫn cách làm các dạng bài tập về tỉ số lượng giác của góc nhọn lớp 9. Nắm chắc nội dung kiến thức trên chắc chắn sẽ giúp ích cho các em học sinh đang trong quá trình ôn luyện toán vào 10.

n

[%Included.TAK12%]

“,”startDateUtc”:”2024-08-04T17:00:00″,”startDate”:”2024-08-05T00:00:00+07:00″,”allowComments”:false,”createdOnUtc”:”2022-07-19T10:04:23.2027963″,”createdOn”:”2022-07-19T17:04:23.2027963+07:00″,”author”:null,”readCount”:0,”newsTags”:[{“name”:”Toán lớp 9″,”seName”:”toan-lop-9″,”id”:1853}],”publishedDate”:”2024-08-05T00:00:00+07:00″,”metaKeywords”:”tỉ số lượng giác lớp 9, bảng lượng giác lớp 9″,”metaDescription”:”Trong nội dung sau đây, TAK12 sẽ cung cấp cho học sinh những kiến thức cơ bản về tỉ số lượng giác và bảng lượng giác lớp 9, đồng thời hướng dẫn các em làm tốt các dạng bài tập về tỉ số lượng giác của góc nhọn lớp 9.”,”metaTitle”:”Ôn tập tỉ số lượng giác lớp 9 và cách làm bài tập về tỉ số lượng giác lớp 9″,”isShowSignInForm”:true,”id”:1564};

Tỉ số lượng giác lớp 9 là chủ điểm kiến thức hình học đặc biệt quan trọng với học sinh lớp 9 ôn thi vào 10. Trong nội dung sau đây, TAK12 sẽ cung cấp cho học sinh những kiến thức cơ bản về tỉ số lượng giác và bảng lượng giác lớp 9, đồng thời hướng dẫn các em làm tốt các bài toán tỉ số lượng giác của góc nhọn.

1. Kiến thức cần nhớ về tỉ số lượng giác lớp 9

1.1. Định nghĩa tỉ số lượng giác của góc nhọn

Định nghĩa tỉ số lượng giác của góc nhọn
Định nghĩa tỉ số lượng giác của góc nhọn

Mẹo nhớ các tỉ số lượng giác của góc nhọn

tỉ số lượng giác lớp 9

[%Included.Dangky%]

[%Included.Lớp 9%]

1.2. Tính chất của tỉ số lượng giác lớp 9

Tính chất 1

Nếu hai góc phụ nhau (tổng hai góc bằng 90 độ), thì sin góc này bằng côsin góc kia, tang góc này bằng côtang góc kia.

Cho tam giác vuông có hai góc nhọn α và β, α + β = 90o

Khi đó:

Tính chất 2

Nếu sin α = sin β (hoặc cos α = cos β, hoặc tan α = tan β, hoặc cot α = cot β) thì α = β vì chúng là hai góc tương ứng của hai tam giác đồng dạng.

Ví dụ: Nếu cot 30o = cot β thì β = 30o

Tính chất 3

Nếu α là góc nhọn bất kỳ trong một tam giác vuông, ta có những công thức sau:

tỉ số lượng giác lớp 9

1.3. So sánh các tỉ số lượng giác

Cho hai góc nhọn của một tam giác vuông là α, β.

a) Nếu α < β thì

  • sin α < sin β; tan α < tan β
  • cos α > cos β; cot α > cot β

b) sin α < tan α; cos α < cot α

1.4. Bảng tỉ số lượng giác của các góc đặc biệt

Bảng tỉ số lượng giác của các góc đặc biệt
Bảng tỉ số lượng giác của các góc đặc biệt

Chú ý:Từ nay sin  ta có thể viết là sin A, tương tự với cos Â, tan Â, cot Â.

2. Các dạng bài tập về tỉ số lượng giác lớp 9

2.1. Dạng 1: Tính toán các tỉ số lượng giác, độ dài các cạnh trong tam giác

Phương pháp giải: Sử dụng các tỉ số lượng giác của góc nhọn, định lý Py-ta-go, hệ thức lượng trong tam giác vuông để tính toán các yếu tố cần thiết.

Bài tập minh họa

Ví dụ: Cho tam giác ABC vuông tại B. Có AC = 10cm, . Tính và độ dài AB, BC.

bảng lượng giác lớp 9

Hướng dẫn giải

bảng lượng giác lớp 9

bảng lượng giác lớp 9

2.2. Dạng 2: So sánh các tỉ số lượng giác, các góc

Phương pháp giải: Đưa các tỉ số lượng giác về cùng loại, áp dụng các tính chất của tỉ số lượng giác của góc nhọn để giải bài toán.

Bài tập minh họa

Ví dụ: Cho tam giác vuông có hai góc nhọn α, β. Biết sinα = cosβ = 0,5. So sánh hai góc α và β.

Hướng dẫn giải

2.3. Dạng 3: Rút gọn, tính toán các biểu thức lượng giác

Phương pháp giải: Áp dụng các tính chất của tỉ số lượng giác của góc nhọn để giải bài toán.

Bài tập minh họa

Ví dụ: Rút gọn và tính toán biểu thức: A = sin 15o – sin 60o + cos 30o – cos 75o + 5

Hướng dẫn giải

A = sin 15o – sin 60o + cos 30o – cos 75o + 5

⇒ A = (sin 15o – cos 75o) + (cos 30o – sin 60o) + 5

Áp dụng tính chất tỉ số lượng giác của góc nhọn, ta có:

15o + 75o = 90o ⇒ sin 15o = cos 75o

30o + 60o = 90o ⇒ cos 30o = sin 60o

⇒ sin 15o – cos 75o = 0; cos 30o – sin 60o = 0

⇒ A = 0 + 0 + 5 = 5

👉 Gợi ý các phần mềm học tập và ôn thi hiệu quả cho học sinh lớp 9

2.4. Dạng 4: Chứng minh biểu thức, đẳng thức liên quan đến tỉ số lượng giác

Phương pháp giải: Áp dụng các tính chất của tỉ số lượng giác của góc nhọn để giải bài toán.

Chú ý: Đối với bài chứng minh biểu thức không phụ thuộc vào giá trị của góc thì cần phải biến đổi sao cho không còn tồn tại các góc trong biểu thức.

Bài tập minh họa

Ví dụ: Cho tam giác vuông có hai góc nhọn α, β. Chứng minh rằng: sin4 α – cos4 β = sin2 α – cos2 β

Hướng dẫn giải

Áp dụng hằng đẳng thức, ta có:

Vế trái = sin4 α – cos4 β = (sin2 α – cos2 β)(sin2 α + cos2 β)

Áp dụng tính chất tỉ số lượng giác của góc nhọn, ta có:

sin2 α + cos2 β = 1

⇒ Vế trái = (sin2 α – cos2 β)(sin2 α + cos2 β) = (sin2 α – cos2 β).1 = sin2 α – cos2 β (điều phải chứng minh)

Bài tập tự luyện tỉ số lượng giác của góc nhọn

Như vậy, bài viết trên đã giới thiệu đầy đủ kiến thức cần nhớ về tỉ số lượng giác lớp 9 và hướng dẫn cách làm các dạng bài tập về tỉ số lượng giác của góc nhọn lớp 9. Nắm chắc nội dung kiến thức trên chắc chắn sẽ giúp ích cho các em học sinh đang trong quá trình ôn luyện toán vào 10.

[%Included.TAK12%]

Previous Post

Công bố đề khảo sát lớp 6 của ba trường ‘hot’ ở TP Thủ Đức

Next Post

Lý thuyết điện trường và cường độ điện trường – Đường sức điện

Tranducdoan

Tranducdoan

Trần Đức Đoàn sinh năm 1999, anh chàng đẹp trai đến từ Thái Bình. Hiện đang theo học và làm việc tại trường cao đẳng FPT Polytechnic

Related Posts

Sáng kiến kinh nghiệm Ứng dụng đồng dư thức trong giải toán Lớp 7

by Tranducdoan
07/02/2026
0
0

PHẦN I: ĐẶT VẤN ĐỀ1. Cơ sở lí luận.Toán học là một bộ môn khoa học rất trừu tượng, được...

Mitutoyo.VN

by Tranducdoan
07/02/2026
0
0

Thông số kỹ thuật: Model CRYSTA-Apex V 544 CRYSTA-Apex V 574 CRYSTA-Apex V 776 CRYSTA-Apex V 7106 Phạm vi đo...

Dạng bài toán chuyển động của vật kèm bài tập có đáp án

by Tranducdoan
06/02/2026
0
0

Phương pháp giải và bài tập dạng toán chuyển động của vậtDạng toán chuyển động của vật thuộc chuyên đề...

Công bố đề khảo sát lớp 6 của ba trường ‘hot’ ở TP Thủ Đức

by Tranducdoan
06/02/2026
0
0

Thí sinh dự khảo sát lớp 6 tại điểm khảo sát Trường THCS Bình Thọ - Ảnh: HOA ÉNTheo đó,...

Load More
Next Post

Lý thuyết điện trường và cường độ điện trường - Đường sức điện

  • Trending
  • Comments
  • Latest
File đề thi thử lịch sử thpt quốc gia 2024 2025 có đáp án

80 File đề thi thử lịch sử thpt quốc gia 2026 2025 có đáp án

16/12/2025
Viết bài văn kể lại câu chuyện về một nhân vật lịch sử mà em đã đọc đã nghe lớp 4 ngắn gọn

Kể lại câu chuyện về một nhân vật lịch sử lớp 4 ngắn gọn

27/03/2025
viet-bai-van-ke-ve-cau-chuyen-ma-em-yeu-thich-ngan-gon

Viết bài văn kể lại một câu chuyện ngắn gọn nhất 16 mẫu

16/11/2024
De Thi Cuoi Hoc Ki 1 Ngu Van 12 Nam 2021 2022 So Gddt Bac Giang Page 0001 Min

Đề thi học kì 1 lớp 12 môn văn năm học 2021-2022 tỉnh Bắc Giang

0
De Thi Cuoi Ki 1 Mon Van 9 Huyen Cu Chi 2022

Đề thi văn cuối kì 1 lớp 9 huyện Củ Chi năm học 2022 2023

0
Dự án tốt nghiệp FPT Polytechnic ngành Digital Marketing

Dự án tốt nghiệp FPT Polytechnic ngành Digital Marketing

0

Bộ Phận Truy Thâu Thuế Của IRS Đang Giúp Người Đóng Thuế Như Thế Nào Trong Đại Dịch

07/02/2026

Sáng kiến kinh nghiệm Ứng dụng đồng dư thức trong giải toán Lớp 7

07/02/2026

Từ vựng 12 màu sắc bằng tiếng Anh cơ bản và cách sử dụng phù hợp

07/02/2026
Xoilac TV trực tiếp bóng đá đọc sách online Socolive trực tiếp Ca Khia TV trực tiếp XoilacTV go 88
Tài Liệu Học Tập

Copyright © 2022 Tài Liệu Học Tập.

Chuyên Mục

  • Đề Thi
  • Lớp 12
  • Lớp 11
  • Lớp 10
  • Lớp 9
  • Lớp 8
  • Lớp 7
  • Lớp 6
  • Lớp 5
  • Lớp 4
  • Lớp 3
  • Mẹo Hay
  • Tin tức
  • Liên Hệ

Tham Gia Group Tài Liệu Học Tập

No Result
View All Result
  • Đề Thi
  • Lớp 12
    • Lịch Sử Lớp 12
    • Địa Lí Lớp 12
    • Ngữ Văn Lớp 12
    • GD KTPL Lớp 12
    • Toán Lớp 12
    • Tiếng Anh Lớp 12
    • Hóa Học Lớp 12
    • Sinh Học Lớp 12
    • Vật Lí Lớp 12
  • Lớp 11
    • Toán Lớp 11
    • Ngữ Văn Lớp 11
    • Tiếng Anh Lớp 11
    • Hóa Học Lớp 11
    • Sinh Học Lớp 11
    • Vật Lí Lớp 11
    • Lịch Sử Lớp 11
    • Địa Lí Lớp 11
    • GDCD Lớp 11
  • Lớp 10
    • Toán Lớp 10
    • Ngữ Văn Lớp 10
    • Tiếng Anh Lớp 10
    • Hóa Học Lớp 10
    • Sinh Học Lớp 10
    • Vật Lí Lớp 10
    • Lịch Sử Lớp 10
    • Địa Lí Lớp 10
    • GDKTPL Lớp 10
    • Công nghệ lớp 10
    • Tin Học Lớp 10
  • Lớp 9
    • Toán Lớp 9
    • Ngữ Văn Lớp 9
    • Tiếng Anh Lớp 9
    • Lịch sử và địa lý lớp 9
    • Khoa Học Tự Nhiên Lớp 9
    • GDCD Lớp 9
  • Lớp 8
    • Toán Lớp 8
    • Ngữ Văn Lớp 8
    • Tiếng Anh Lớp 8
    • Lịch sử và địa lý lớp 8
    • Khoa Học Tự Nhiên Lớp 8
    • GDCD 8
  • Lớp 7
    • Toán Lớp 7
    • Văn Lớp 7
    • Tiếng Anh Lớp 7
    • Lịch Sử Và Địa Lí Lớp 7
    • Khoa Học Tự Nhiên Lớp 7
  • Lớp 6
    • Toán Lớp 6
    • Văn Lớp 6
    • Tiếng Anh lớp 6
    • Lịch Sử và Địa Lí Lớp 6
    • Khoa Học Tự Nhiên lớp 6
  • Lớp 5
    • Toán lớp 5
    • Tiếng Việt Lớp 5
    • Tiếng Anh Lớp 5
    • Lịch Sử và Địa Lí Lớp 5
  • Lớp 4
    • Toán lớp 4
    • Tiếng Việt Lớp 4
    • Tiếng Anh Lớp 4
    • Lịch Sử và Địa Lí Lớp 4
  • Lớp 3
    • Toán lớp 3
    • Tiếng Anh Lớp 3
    • Tiếng Việt Lớp 3
  • Mẹo Hay
  • Tin tức
  • Liên Hệ

Copyright © 2022 Tài Liệu Học Tập.